第74页
- 第1页
- 第2页
- 第3页
- 第4页
- 第5页
- 第6页
- 第7页
- 第8页
- 第9页
- 第10页
- 第11页
- 第12页
- 第13页
- 第14页
- 第15页
- 第16页
- 第17页
- 第18页
- 第19页
- 第20页
- 第21页
- 第22页
- 第23页
- 第24页
- 第25页
- 第26页
- 第27页
- 第28页
- 第29页
- 第30页
- 第31页
- 第32页
- 第33页
- 第34页
- 第35页
- 第36页
- 第37页
- 第38页
- 第39页
- 第40页
- 第41页
- 第42页
- 第43页
- 第44页
- 第45页
- 第46页
- 第47页
- 第48页
- 第49页
- 第50页
- 第51页
- 第52页
- 第53页
- 第54页
- 第55页
- 第56页
- 第57页
- 第58页
- 第59页
- 第60页
- 第61页
- 第62页
- 第63页
- 第64页
- 第65页
- 第66页
- 第67页
- 第68页
- 第69页
- 第70页
- 第71页
- 第72页
- 第73页
- 第74页
- 第75页
- 第76页
- 第77页
- 第78页
- 第79页
- 第80页
- 第81页
- 第82页
- 第83页
- 第84页
- 第85页
- 第86页
- 第87页
- 第88页
- 第89页
- 第90页
- 第91页
- 第92页
- 第93页
- 第94页
- 第95页
- 第96页
- 第97页
- 第98页
- 第99页
- 第100页
- 第101页
- 第102页
- 第103页
- 第104页
- 第105页
- 第106页
- 第107页
- 第108页
- 第109页
- 第110页
- 第111页
- 第112页
- 第113页
- 第114页
- 第115页
- 第116页
- 第117页
- 第118页
- 第119页
- 第120页
- 第121页
- 第122页
- 第123页
- 第124页
- 第125页
- 第126页
- 第127页
- 第128页
- 第129页
- 第130页
- 第131页
- 第132页
- 第133页
- 第134页
- 第135页
- 第136页
- 第137页
- 第138页
- 第139页
- 第140页
- 第141页
- 第142页
- 第143页
- 第144页
- 第145页
- 第146页
- 第147页
- 第148页
- 第149页
- 第150页
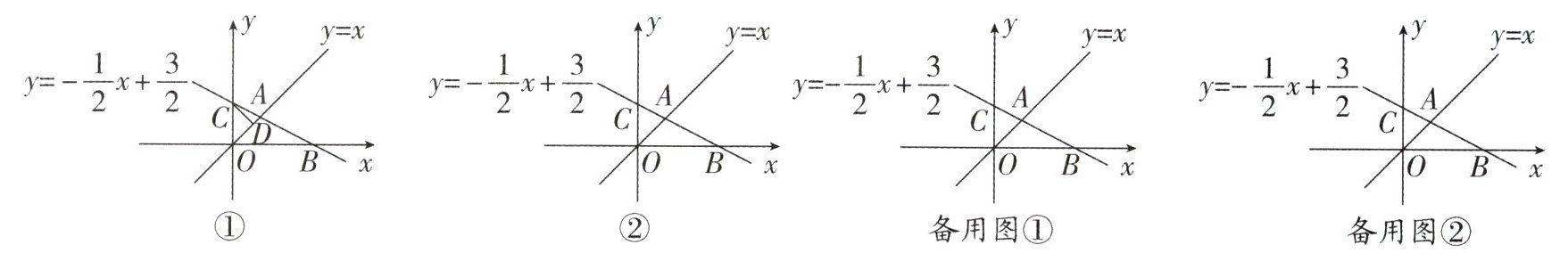
例 2 一次函数与存在性问题:如图①,在平面直角坐标系 $ xOy $ 中,直线 $ y = -\frac{1}{2}x + \frac{3}{2} $ 与 $ y = x $ 相交于点 $ A $,与 $ x $ 轴交于点 $ B $,与 $ y $ 轴交于点 $ C $。
(1) 求点 $ A,B,C $ 的坐标。
(2) 如图①,若点 $ D $ 是线段 $ OA $ 上的点,且 $ \triangle COD $ 的面积为 $ \frac{1}{2} $,求直线 $ CD $ 的函数表达式。
(3) 在直线 $ OA $ 上,是否存在一点 $ E $,使得 $ \triangle EOB $ 是以 $ OB $ 为底边的等腰三角形?如果存在,直接写出所有符合条件的点 $ E $ 的坐标;如果不存在,请说明理由。
(4) 在平面直角坐标系 $ xOy $ 中,是否存在一点 $ F $,使得以 $ O,A,B,F $ 为顶点的四边形是平行四边形?如果存在,请直接写出所有符合条件的点 $ F $ 的坐标;如果不存在,请说明理由。
点拨 (1) 联立方程组求解;(2) 求出点 $ D $ 的坐标,即可求得直线 $ CD $ 的函数表达式;(3) 取 $ OB $ 的中点 $ H $,过点 $ H $ 作 $ HE \perp x $ 轴,交直线 $ y = x $ 于点 $ E $;(4) 设 $ F(m,n) $,分三种情况讨论:①以 $ AF,OB $ 为对角线;②以 $ AB,OF $ 为对角线;③以 $ AO,BF $ 为对角线。

(1) 求点 $ A,B,C $ 的坐标。
(2) 如图①,若点 $ D $ 是线段 $ OA $ 上的点,且 $ \triangle COD $ 的面积为 $ \frac{1}{2} $,求直线 $ CD $ 的函数表达式。
(3) 在直线 $ OA $ 上,是否存在一点 $ E $,使得 $ \triangle EOB $ 是以 $ OB $ 为底边的等腰三角形?如果存在,直接写出所有符合条件的点 $ E $ 的坐标;如果不存在,请说明理由。
(4) 在平面直角坐标系 $ xOy $ 中,是否存在一点 $ F $,使得以 $ O,A,B,F $ 为顶点的四边形是平行四边形?如果存在,请直接写出所有符合条件的点 $ F $ 的坐标;如果不存在,请说明理由。
点拨 (1) 联立方程组求解;(2) 求出点 $ D $ 的坐标,即可求得直线 $ CD $ 的函数表达式;(3) 取 $ OB $ 的中点 $ H $,过点 $ H $ 作 $ HE \perp x $ 轴,交直线 $ y = x $ 于点 $ E $;(4) 设 $ F(m,n) $,分三种情况讨论:①以 $ AF,OB $ 为对角线;②以 $ AB,OF $ 为对角线;③以 $ AO,BF $ 为对角线。
答案:
(1)
∵直线y=−$\frac{1}{2}$x+$\frac{3}{2}$与y=x相交于点A,
∴联立得{y=−$\frac{1}{2}$x+$\frac{3}{2}$,y=x,解得{x=1,y=1,}
∴点A的坐标为(1,1),由y=0,得−$\frac{1}{2}$x+$\frac{3}{2}$=0,解得x=3,
∴点B的坐标为(3,0),由x=0,得y=$\frac{3}{2}$,
∴点C的坐标为(0,$\frac{3}{2}$),
∴点A,B,C的坐标分别为(1,1),(3,0),(0,$\frac{3}{2}$).
(2)如图①,点D在y=x上,设点D坐标为(m,m)(0<m<1),由△COD的面积为$\frac{1}{2}$可得$\frac{1}{2}$×OC×m=$\frac{1}{2}$,即$\frac{1}{2}$×$\frac{3}{2}$×m=$\frac{1}{2}$,解得m=$\frac{2}{3}$,
∴点D的坐标为($\frac{2}{3}$,$\frac{2}{3}$),设直线CD的函数表达式为y=kx+b,则{b=$\frac{3}{2}$,$\frac{2}{3}$k+b=$\frac{2}{3}$,解得{k=−$\frac{5}{4}$,b=$\frac{3}{2}$},
∴直线CD的函数表达式为y=−$\frac{5}{4}$x+$\frac{3}{2}$.
(3)存在一点E,使得△EOB是以OB为底边的等腰三角形,点E的坐标为($\frac{3}{2}$,$\frac{3}{2}$). 解析:取OB的中点H,过点H 作HE⊥x轴,交直线y=x于点E,如图②.
∵B(3,0),O(0,0),H为OB中点,
∴H($\frac{3}{2}$,0),
∴直线EH为x=$\frac{3}{2}$,由{x=$\frac{3}{2}$,y=x,得{x=$\frac{3}{2}$,y=$\frac{3}{2}$},
∴△EOB是以OB为底边的等腰三角形,E点坐标为($\frac{3}{2}$,$\frac{3}{2}$).
(4)存在一点F,使得以O,A,B,F为顶点的四边形是平行四边形,点F的坐标为(2,−1)或(4,1)或(−2,1).解析:设F(m,n),而A(1,1),B(3,0),O(0,0),需要分类讨论:以AF,OB为对角线,则AF中点即为OB中点,如图③,
∴{m+1=3+0,n+1=0+0,解得{m=2,n=−1},
∴F(2,−1);以AB,OF为对角线,则AB的中点即为OF的中点,如图④,
∴{1+3=m+0,1+0=n+0,解得{m=4,n=1},
∴F(4,1);以AO,BF为对角线,则AO的中点即为BF的中点,如图⑤,
∴{1+0=m+3,1+0=n+0,解得{m=−2,n=1},
∴F(−2,1).综上所述,点F的坐标为(2,−1)或(4,1)或(−2,1).
(1)
∵直线y=−$\frac{1}{2}$x+$\frac{3}{2}$与y=x相交于点A,
∴联立得{y=−$\frac{1}{2}$x+$\frac{3}{2}$,y=x,解得{x=1,y=1,}
∴点A的坐标为(1,1),由y=0,得−$\frac{1}{2}$x+$\frac{3}{2}$=0,解得x=3,
∴点B的坐标为(3,0),由x=0,得y=$\frac{3}{2}$,
∴点C的坐标为(0,$\frac{3}{2}$),
∴点A,B,C的坐标分别为(1,1),(3,0),(0,$\frac{3}{2}$).
(2)如图①,点D在y=x上,设点D坐标为(m,m)(0<m<1),由△COD的面积为$\frac{1}{2}$可得$\frac{1}{2}$×OC×m=$\frac{1}{2}$,即$\frac{1}{2}$×$\frac{3}{2}$×m=$\frac{1}{2}$,解得m=$\frac{2}{3}$,
∴点D的坐标为($\frac{2}{3}$,$\frac{2}{3}$),设直线CD的函数表达式为y=kx+b,则{b=$\frac{3}{2}$,$\frac{2}{3}$k+b=$\frac{2}{3}$,解得{k=−$\frac{5}{4}$,b=$\frac{3}{2}$},
∴直线CD的函数表达式为y=−$\frac{5}{4}$x+$\frac{3}{2}$.
(3)存在一点E,使得△EOB是以OB为底边的等腰三角形,点E的坐标为($\frac{3}{2}$,$\frac{3}{2}$). 解析:取OB的中点H,过点H 作HE⊥x轴,交直线y=x于点E,如图②.
∵B(3,0),O(0,0),H为OB中点,
∴H($\frac{3}{2}$,0),
∴直线EH为x=$\frac{3}{2}$,由{x=$\frac{3}{2}$,y=x,得{x=$\frac{3}{2}$,y=$\frac{3}{2}$},
∴△EOB是以OB为底边的等腰三角形,E点坐标为($\frac{3}{2}$,$\frac{3}{2}$).
(4)存在一点F,使得以O,A,B,F为顶点的四边形是平行四边形,点F的坐标为(2,−1)或(4,1)或(−2,1).解析:设F(m,n),而A(1,1),B(3,0),O(0,0),需要分类讨论:以AF,OB为对角线,则AF中点即为OB中点,如图③,
∴{m+1=3+0,n+1=0+0,解得{m=2,n=−1},
∴F(2,−1);以AB,OF为对角线,则AB的中点即为OF的中点,如图④,
∴{1+3=m+0,1+0=n+0,解得{m=4,n=1},
∴F(4,1);以AO,BF为对角线,则AO的中点即为BF的中点,如图⑤,
∴{1+0=m+3,1+0=n+0,解得{m=−2,n=1},
∴F(−2,1).综上所述,点F的坐标为(2,−1)或(4,1)或(−2,1).
变式 2 如图,直线 $ y = -\frac{3}{4}x + 6 $ 分别与 $ x $ 轴、$ y $ 轴交于点 $ A,B $,点 $ C $ 在线段 $ OA $ 上,线段 $ OB $ 沿 $ BC $ 翻折,点 $ O $ 落在 $ AB $ 边上的点 $ D $ 处,以下结论:① $ AB = 10 $;②直线 $ BC $ 的表达式为 $ y = -2x + 6 $;③点 $ D(4.6,2.4) $;④若线段 $ BC $ 上存在一点 $ P $,使得以点 $ P,O,C,D $ 为顶点的四边形为菱形,则点 $ P $ 的坐标是 $ (1.5,2.4) $。其中正确的结论是(

A.①②
B.①②③
C.①③④
D.①②④
A
)A.①②
B.①②③
C.①③④
D.①②④
答案:
A
查看更多完整答案,请扫码查看