2025年全优方案夯实与提高九年级数学全一册人教版
注:目前有些书本章节名称可能整理的还不是很完善,但都是按照顺序排列的,请同学们按照顺序仔细查找。练习册 2025年全优方案夯实与提高九年级数学全一册人教版 答案主要是用来给同学们做完题方便对答案用的,请勿直接抄袭。
第55页
- 第1页
- 第2页
- 第3页
- 第4页
- 第5页
- 第6页
- 第7页
- 第8页
- 第9页
- 第10页
- 第11页
- 第12页
- 第13页
- 第14页
- 第15页
- 第16页
- 第17页
- 第18页
- 第19页
- 第20页
- 第21页
- 第22页
- 第23页
- 第24页
- 第25页
- 第26页
- 第27页
- 第28页
- 第29页
- 第30页
- 第31页
- 第32页
- 第33页
- 第34页
- 第35页
- 第36页
- 第37页
- 第38页
- 第39页
- 第40页
- 第41页
- 第42页
- 第43页
- 第44页
- 第45页
- 第46页
- 第47页
- 第48页
- 第49页
- 第50页
- 第51页
- 第52页
- 第53页
- 第54页
- 第55页
- 第56页
- 第57页
- 第58页
- 第59页
- 第60页
- 第61页
- 第62页
- 第63页
- 第64页
- 第65页
- 第66页
- 第67页
- 第68页
- 第69页
- 第70页
- 第71页
- 第72页
- 第73页
- 第74页
- 第75页
- 第76页
- 第77页
- 第78页
- 第79页
- 第80页
- 第81页
- 第82页
- 第83页
- 第84页
- 第85页
- 第86页
- 第87页
- 第88页
- 第89页
- 第90页
- 第91页
- 第92页
- 第93页
- 第94页
- 第95页
- 第96页
- 第97页
- 第98页
- 第99页
- 第100页
- 第101页
- 第102页
- 第103页
- 第104页
- 第105页
- 第106页
- 第107页
- 第108页
- 第109页
- 第110页
- 第111页
- 第112页
- 第113页
- 第114页
- 第115页
- 第116页
- 第117页
- 第118页
- 第119页
- 第120页
- 第121页
- 第122页
- 第123页
- 第124页
- 第125页
- 第126页
- 第127页
- 第128页
- 第129页
- 第130页
- 第131页
- 第132页
- 第133页
- 第134页
- 第135页
- 第136页
- 第137页
- 第138页
- 第139页
- 第140页
- 第141页
- 第142页
- 第143页
- 第144页
- 第145页
- 第146页
- 第147页
- 第148页
13. 【铜仁】已知抛物线 $ y = a(x - h)^{2}+k $ 与 $ x $ 轴有两个交点 $ A(-1,0) $,$ B(3,0) $,抛物线 $ y = a(x - h - m)^{2}+k $ 与 $ x $ 轴的一个交点是 $ (4,0) $,则 $ m $ 的值是(
A.$ 5 $
B.$ - 1 $
C.$ 5 $ 或 $ 1 $
D.$ - 5 $ 或 $ - 1 $
C
)。A.$ 5 $
B.$ - 1 $
C.$ 5 $ 或 $ 1 $
D.$ - 5 $ 或 $ - 1 $
答案:
C
14. 【荆门】如图,抛物线 $ y = ax^{2}+bx + c(a \neq 0) $ 与 $ x $ 轴交于点 $ A $,$ B $,顶点为 $ C $,对称轴为直线 $ x = 1 $,给出下列结论:①$ abc < 0 $;②若点 $ C $ 的坐标为 $ (1,2) $,则 $ \triangle ABC $ 的面积可以等于 $ 2 $;③$ M(x_{1},y_{1}) $,$ N(x_{2},y_{2}) $ 是抛物线上两点 $ (x_{1} < x_{2}) $,若 $ x_{1}+x_{2} > 2 $,则 $ y_{1} < y_{2} $;④若抛物线经过点 $ (3,-1) $,则方程 $ ax^{2}+bx + c + 1 = 0 $ 的两根为 $ - 1 $,$ 3 $。其中正确结论的序号为

①④
。
答案:
①④
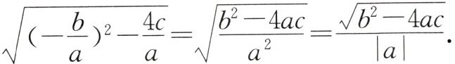
15. 若 $ x_{1} $,$ x_{2} $ 是一元二次方程 $ ax^{2}+bx + c(a \neq 0) $ 的两个根,则 $ x_{1} $,$ x_{2} $ 和系数 $ a $,$ b $,$ c $ 有如下关系:$ x_{1}+x_{2}= -\frac{b}{a} $,$ x_{1}x_{2}= \frac{c}{a} $。把它称为一元二次方程根与系数关系定理。若设二次函数 $ y = ax^{2}+bx + c(a \neq 0) $ 的图象与 $ x $ 轴的两个交点为 $ A(x_{1},0) $,$ B(x_{2},0) $。利用根与系数关系定理可以得到 $ A $,$ B $ 两个交点间的距离为:$ AB = |x_{1}-x_{2}|= \sqrt{(x_{1}+x_{2})^{2}-4x_{1}x_{2}}= \sqrt{(-\frac{b}{a})^{2}-\frac{4c}{a}}= \sqrt{\frac{b^{2}-4ac}{a^{2}}}= \frac{\sqrt{b^{2}-4ac}}{|a|} $。

参考以上定理和结论,解答下列问题:
设二次函数 $ y = ax^{2}+bx + c(a > 0) $ 的图象与 $ x $ 轴的两个交点为 $ A(x_{1},0) $,$ B(x_{2},0) $,抛物线的顶点为 $ C $,显然 $ \triangle ABC $ 为等腰三角形。
(1)当 $ \triangle ABC $ 为直角三角形时,求 $ b^{2}-4ac $ 的值。

(2)当 $ \triangle ABC $ 为等边三角形时,求 $ b^{2}-4ac $ 的值。
参考以上定理和结论,解答下列问题:
设二次函数 $ y = ax^{2}+bx + c(a > 0) $ 的图象与 $ x $ 轴的两个交点为 $ A(x_{1},0) $,$ B(x_{2},0) $,抛物线的顶点为 $ C $,显然 $ \triangle ABC $ 为等腰三角形。
(1)当 $ \triangle ABC $ 为直角三角形时,求 $ b^{2}-4ac $ 的值。
(2)当 $ \triangle ABC $ 为等边三角形时,求 $ b^{2}-4ac $ 的值。
答案:
(1)过点C作$CE\perp AB$于点E,当$\triangle ABC$为直角三角形时,$AB=2CE$.
∵抛物线与x轴有两个交点,
∴$\Delta=b^{2}-4ac > 0$,则$|b^{2}-4ac|=b^{2}-4ac$.
∵$a > 0$,
∴$AB=\frac{\sqrt{b^{2}-4ac}}{|a|}=\frac{\sqrt{b^{2}-4ac}}{a}$.又
∵$CE=\left| \frac{4ac-b^{2}}{4a} \right|=\frac{b^{2}-4ac}{4a}$,
∴$\frac{\sqrt{b^{2}-4ac}}{a}=2×\frac{b^{2}-4ac}{4a}$.
∴$\frac{b^{2}-4ac}{a^{2}}=\frac{(b^{2}-4ac)^{2}}{4a^{2}}$.
∵$b^{2}-4ac > 0$,
∴$b^{2}-4ac=4$.
(2)当$\triangle ABC$为等边三角形时,由
(1)可知$CE=\frac{\sqrt{3}}{2}AB$,
∴$\frac{b^{2}-4ac}{4a}=\frac{\sqrt{3}}{2}×\frac{\sqrt{b^{2}-4ac}}{a}$.
∴$\frac{(b^{2}-4ac)^{2}}{16a^{2}}=\frac{3(b^{2}-4ac)}{4a^{2}}$.
∵$b^{2}-4ac > 0$,
∴$b^{2}-4ac=12$.
(1)过点C作$CE\perp AB$于点E,当$\triangle ABC$为直角三角形时,$AB=2CE$.
∵抛物线与x轴有两个交点,
∴$\Delta=b^{2}-4ac > 0$,则$|b^{2}-4ac|=b^{2}-4ac$.
∵$a > 0$,
∴$AB=\frac{\sqrt{b^{2}-4ac}}{|a|}=\frac{\sqrt{b^{2}-4ac}}{a}$.又
∵$CE=\left| \frac{4ac-b^{2}}{4a} \right|=\frac{b^{2}-4ac}{4a}$,
∴$\frac{\sqrt{b^{2}-4ac}}{a}=2×\frac{b^{2}-4ac}{4a}$.
∴$\frac{b^{2}-4ac}{a^{2}}=\frac{(b^{2}-4ac)^{2}}{4a^{2}}$.
∵$b^{2}-4ac > 0$,
∴$b^{2}-4ac=4$.
(2)当$\triangle ABC$为等边三角形时,由
(1)可知$CE=\frac{\sqrt{3}}{2}AB$,
∴$\frac{b^{2}-4ac}{4a}=\frac{\sqrt{3}}{2}×\frac{\sqrt{b^{2}-4ac}}{a}$.
∴$\frac{(b^{2}-4ac)^{2}}{16a^{2}}=\frac{3(b^{2}-4ac)}{4a^{2}}$.
∵$b^{2}-4ac > 0$,
∴$b^{2}-4ac=12$.
查看更多完整答案,请扫码查看