第9页
- 第1页
- 第2页
- 第3页
- 第4页
- 第5页
- 第6页
- 第7页
- 第8页
- 第9页
- 第10页
- 第11页
- 第12页
- 第13页
- 第14页
- 第15页
- 第16页
- 第17页
- 第18页
- 第19页
- 第20页
- 第21页
- 第22页
- 第23页
- 第24页
- 第25页
- 第26页
- 第27页
- 第28页
- 第29页
- 第30页
- 第31页
- 第32页
- 第33页
- 第34页
- 第35页
- 第36页
- 第37页
- 第38页
- 第39页
- 第40页
- 第41页
- 第42页
- 第43页
- 第44页
- 第45页
- 第46页
- 第47页
- 第48页
- 第49页
- 第50页
- 第51页
- 第52页
- 第53页
- 第54页
- 第55页
- 第56页
- 第57页
- 第58页
- 第59页
- 第60页
- 第61页
- 第62页
- 第63页
- 第64页
- 第65页
- 第66页
- 第67页
- 第68页
- 第69页
- 第70页
- 第71页
- 第72页
- 第73页
- 第74页
- 第75页
- 第76页
- 第77页
- 第78页
- 第79页
- 第80页
- 第81页
- 第82页
- 第83页
- 第84页
- 第85页
- 第86页
- 第87页
- 第88页
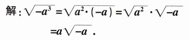
化简:$ \sqrt{-a^{3}} $.

(1)错因:
(2)纠错:
(1)错因:
未讨论a的取值,直接应用$\sqrt{a^{2}}=a$化简,出现错误
.(2)纠错:
根据二次根式有意义的条件得$-a^{3}≥0,\therefore a≤0.$∴原式=$\sqrt{a^{2}}\cdot\sqrt{-a}=|a|\sqrt{-a}=-a\sqrt{-a}$
.
答案:
(1)未讨论a的取值,直接应用$\sqrt{a^{2}}=a$化简,出现错误
(2)根据二次根式有意义的条件得$-a^{3}≥0,\therefore a≤0.$
∴原式=$\sqrt{a^{2}}\cdot\sqrt{-a}=|a|\sqrt{-a}=-a\sqrt{-a}$
(1)未讨论a的取值,直接应用$\sqrt{a^{2}}=a$化简,出现错误
(2)根据二次根式有意义的条件得$-a^{3}≥0,\therefore a≤0.$
∴原式=$\sqrt{a^{2}}\cdot\sqrt{-a}=|a|\sqrt{-a}=-a\sqrt{-a}$
1. $\frac{\sqrt{4}}{\sqrt{9}}=$
即$\frac{\sqrt{4}}{\sqrt{9}}$
$\frac{2}{3}$
,$\sqrt{\frac{4}{9}}=$$\frac{2}{3}$
.即$\frac{\sqrt{4}}{\sqrt{9}}$
=
$\sqrt{\frac{4}{9}}$.
答案:
$\frac{2}{3}$ $\frac{2}{3}$ =
2. $\frac{\sqrt{49}}{\sqrt{100}}=$
即$\frac{\sqrt{49}}{\sqrt{100}}$
试用含有字母$a,b$的式子表示上述规律:$\frac{\sqrt{a}}{\sqrt{b}}=$
即两个算术平方根的商,等于它们被开方数的
$\frac{7}{10}$
,$\sqrt{\frac{49}{100}}=$$\frac{7}{10}$
.即$\frac{\sqrt{49}}{\sqrt{100}}$
=
$\sqrt{\frac{49}{100}}$.试用含有字母$a,b$的式子表示上述规律:$\frac{\sqrt{a}}{\sqrt{b}}=$
$\sqrt{\frac{a}{b}}$
($a\geq0$
,$b>0$
)①即两个算术平方根的商,等于它们被开方数的
商的算术平方根
.
答案:
$\frac{7}{10}$ $\frac{7}{10}$ = $\sqrt{\frac{a}{b}}$ $a\geq0$ $b>0$ 商的算术平方根
二、商的算术平方根
将等式①左右两边的式子互换,得$\sqrt{\frac{a}{b}} = $
即商的算术平方根等于被除式的算术平方根
将等式①左右两边的式子互换,得$\sqrt{\frac{a}{b}} = $
$\frac{\sqrt{a}}{\sqrt{b}}$
($a \geq 0,b > 0$)即商的算术平方根等于被除式的算术平方根
除以
除式的算术平方根.
答案:
$\frac{\sqrt{a}}{\sqrt{b}}$ 除以
三、分母有理化
将分母中的根号
将分母中的根号
化去
的过程.
答案:
化去
四、最简二次根式
满足下面两个条件的二次根式叫最简二次根式.
1. 被开方数中不含
2. 被开方数中所有因数(或因式)的幂的指数都
满足下面两个条件的二次根式叫最简二次根式.
1. 被开方数中不含
分母
.2. 被开方数中所有因数(或因式)的幂的指数都
小于2
.
答案:
1.分母 2.小于2
小题快练
(打“√”或“×”)
1. $\sqrt{\frac{-4}{-9}} = \frac{\sqrt{-4}}{\sqrt{-9}}$.(
2. $\sqrt{\frac{3}{2}} = \frac{1}{2}\sqrt{3}$.(
3. $\sqrt{4a^{2} + 9b^{2}}$是最简二次根式.(
4. $\sqrt{0.5}$是最简二次根式.(
(打“√”或“×”)
1. $\sqrt{\frac{-4}{-9}} = \frac{\sqrt{-4}}{\sqrt{-9}}$.(
×
)2. $\sqrt{\frac{3}{2}} = \frac{1}{2}\sqrt{3}$.(
×
)3. $\sqrt{4a^{2} + 9b^{2}}$是最简二次根式.(
√
)4. $\sqrt{0.5}$是最简二次根式.(
×
)
答案:
1.× 2.× 3.√ 4.×
【示范题 1】计算:(1)$\frac{\sqrt{72}}{\sqrt{6}}$=
(2)$\sqrt{1\frac{1}{2}} ÷ \sqrt{\frac{1}{6}}$=
【思路点拨】(1)直接运用$\frac{\sqrt{a}}{\sqrt{b}} = \sqrt{\frac{a}{b}}$($a \geq 0,b > 0$)进行计算.
(2)先把带分数化成假分数,再运用除法法则计算.
$2\sqrt{3}$
.(2)$\sqrt{1\frac{1}{2}} ÷ \sqrt{\frac{1}{6}}$=
$3$
.【思路点拨】(1)直接运用$\frac{\sqrt{a}}{\sqrt{b}} = \sqrt{\frac{a}{b}}$($a \geq 0,b > 0$)进行计算.
(2)先把带分数化成假分数,再运用除法法则计算.
答案:
(1)
$\frac{\sqrt{a}}{\sqrt{b}}=\sqrt{\frac{a}{b}}$($a\geq0,b > 0$),则$\frac{\sqrt{72}}{\sqrt{6}}=\sqrt{\frac{72}{6}}=\sqrt{12}=\sqrt{4×3}=2\sqrt{3}$。
(2)
$1\frac{1}{2}=\frac{3}{2}$,$\sqrt{1\frac{1}{2}}÷\sqrt{\frac{1}{6}}=\sqrt{\frac{3}{2}}÷\sqrt{\frac{1}{6}}=\sqrt{\frac{3}{2}÷\frac{1}{6}}=\sqrt{\frac{3}{2}×6}=\sqrt{9}=3$。
综上,答案依次为:
(1)$2\sqrt{3}$;
(2)$3$。
(1)
$\frac{\sqrt{a}}{\sqrt{b}}=\sqrt{\frac{a}{b}}$($a\geq0,b > 0$),则$\frac{\sqrt{72}}{\sqrt{6}}=\sqrt{\frac{72}{6}}=\sqrt{12}=\sqrt{4×3}=2\sqrt{3}$。
(2)
$1\frac{1}{2}=\frac{3}{2}$,$\sqrt{1\frac{1}{2}}÷\sqrt{\frac{1}{6}}=\sqrt{\frac{3}{2}}÷\sqrt{\frac{1}{6}}=\sqrt{\frac{3}{2}÷\frac{1}{6}}=\sqrt{\frac{3}{2}×6}=\sqrt{9}=3$。
综上,答案依次为:
(1)$2\sqrt{3}$;
(2)$3$。
查看更多完整答案,请扫码查看