第6页
- 第1页
- 第2页
- 第3页
- 第4页
- 第5页
- 第6页
- 第7页
- 第8页
- 第9页
- 第10页
- 第11页
- 第12页
- 第13页
- 第14页
- 第15页
- 第16页
- 第17页
- 第18页
- 第19页
- 第20页
- 第21页
- 第22页
- 第23页
- 第24页
- 第25页
- 第26页
- 第27页
- 第28页
- 第29页
- 第30页
- 第31页
- 第32页
- 第33页
- 第34页
- 第35页
- 第36页
- 第37页
- 第38页
- 第39页
- 第40页
- 第41页
- 第42页
- 第43页
- 第44页
- 第45页
- 第46页
- 第47页
- 第48页
- 第49页
- 第50页
- 第51页
- 第52页
- 第53页
- 第54页
- 第55页
- 第56页
- 第57页
- 第58页
- 第59页
- 第60页
- 第61页
- 第62页
- 第63页
- 第64页
- 第65页
- 第66页
- 第67页
- 第68页
- 第69页
- 第70页
- 第71页
- 第72页
- 第73页
- 第74页
- 第75页
- 第76页
- 第77页
- 第78页
- 第79页
- 第80页
- 第81页
- 第82页
- 第83页
- 第84页
- 第85页
- 第86页
- 第87页
- 第88页
1. 下列运算正确的是 (
A. x - 2 x = x
B. ( x y ) ^ { 2 } = x y ^ { 2 }
$C. ( - \sqrt{2} ) ^ { 2 } = 4 $
$D. \sqrt{2} × \sqrt{3} = \sqrt{6} $
D
)A. x - 2 x = x
B. ( x y ) ^ { 2 } = x y ^ { 2 }
$C. ( - \sqrt{2} ) ^ { 2 } = 4 $
$D. \sqrt{2} × \sqrt{3} = \sqrt{6} $
答案:
D
2. 等式$ \sqrt{x + 1} \cdot \sqrt{x - 1} = \sqrt{x ^ { 2 } - 1} $成立的条件是 (
$A. x \geq 1 B. x \geq - 1 $
$C. - 1 \leq x \leq 1 $
$D. 全体实数$
A
)$A. x \geq 1 B. x \geq - 1 $
$C. - 1 \leq x \leq 1 $
$D. 全体实数$
答案:
A
3. 把 $$ - 3 \sqrt{\frac{a}{3}} ( a \geq 0 ) $$ 根号外的因式移到根号内所得结果为 (
$A. - \sqrt{a} $
$B. \sqrt{- a} $
$C. - 3 \sqrt{a} $
$D. - \sqrt{3 a} $
D
)$A. - \sqrt{a} $
$B. \sqrt{- a} $
$C. - 3 \sqrt{a} $
$D. - \sqrt{3 a} $
答案:
D
4. 计算 $$ \sqrt{8} × \sqrt{\frac{1}{2}} + ( \sqrt{2} ) ^ { 0 } $$ 的结果为 (
$A. 2 + \sqrt{2} $
$B. \sqrt{2} + 1 $
C.3
D.5
C
)$A. 2 + \sqrt{2} $
$B. \sqrt{2} + 1 $
C.3
D.5
答案:
C
5. 计算 $$ x \cdot \sqrt{2 x} \cdot 5 \sqrt{6 x y} ( x \geq 0 , y \geq 0 ) $$ 等于 (
$A. 10 x ^ { 2 } \sqrt{3 y} $
B. 60 x ^ { 3 } y
$C. 5 x ^ { 2 } \sqrt{12 y} $
$D. 5 x \sqrt{12 y} $
A
)$A. 10 x ^ { 2 } \sqrt{3 y} $
B. 60 x ^ { 3 } y
$C. 5 x ^ { 2 } \sqrt{12 y} $
$D. 5 x \sqrt{12 y} $
答案:
A
6. $\sqrt{\frac{1}{2}} × \sqrt{162} = $
9
.
答案:
9
7. 计算:$ \sqrt{a} \cdot \sqrt{a b} ( a \geq 0 , b \geq 0 ) = $
$a\sqrt{b}$
.
答案:
$a\sqrt{b}$
8. $$ \sqrt{\frac{b}{a}} \cdot \sqrt{\frac{a}{c}} \cdot \sqrt{\frac{c}{b}} ( a , b , c $$ 同时大于 0 或 $$ a , b , c $$ 同时小于 0 ) 的值为
1
.
答案:
1
9. 先化简,再求值: ( x + 1 ) ^ { 2 } - x ( x + 2 y ) - 2 x , 其中$ x = \sqrt{3} + 1 , y = \sqrt{3} - 1 . $
答案:
解析$(x+1)^{2}-x(x+2y)-2x$$=x^{2}+2x+1-x^{2}-2xy-2x=1-2xy$.当$x=\sqrt{3}+1$,$y=\sqrt{3}-1$时,原式$=1-2(\sqrt{3}+1)(\sqrt{3}-1)$$=1-2[(\sqrt{3})^{2}-1^{2}]$$=1-2×(3-1)=1-4=-3$
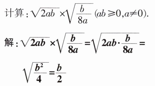
计算:$ \sqrt{2 a b} × \sqrt{\frac{b}{8 a}} ( a b \geq 0 , a \neq 0 ) $. $解:$$ \sqrt{2 a b} × \sqrt{\frac{b}{8 a}} = \sqrt{2 a b \cdot \frac{b}{8 a}} = \sqrt{\frac{b ^ { 2 }}{4}} = \frac{b}{2} $

(1) 错因:
(2) 纠错:
(1) 错因:
由题意知a,b同号,但b不一定为正 数学配套综合练习 九
.(2) 纠错:
当$b\geqslant 0$时,原式$=\frac{b}{2}$;当$b<0$时,原式$=-\frac{b}{2}$
.
答案:
(1)由题意知a,b同号,但b不一定为正 数学配套综合练习 九
(2)当$b\geqslant 0$时,原式$=\frac{b}{2}$;当$b<0$时,原式$=-\frac{b}{2}$
(1)由题意知a,b同号,但b不一定为正 数学配套综合练习 九
(2)当$b\geqslant 0$时,原式$=\frac{b}{2}$;当$b<0$时,原式$=-\frac{b}{2}$
查看更多完整答案,请扫码查看