2025年与名师对话高中新教材同步导练案化学C选择性必修1
注:目前有些书本章节名称可能整理的还不是很完善,但都是按照顺序排列的,请同学们按照顺序仔细查找。练习册 2025年与名师对话高中新教材同步导练案化学C选择性必修1 答案主要是用来给同学们做完题方便对答案用的,请勿直接抄袭。
第29页
- 第1页
- 第2页
- 第3页
- 第4页
- 第5页
- 第6页
- 第7页
- 第8页
- 第9页
- 第10页
- 第11页
- 第12页
- 第13页
- 第14页
- 第15页
- 第16页
- 第17页
- 第18页
- 第19页
- 第20页
- 第21页
- 第22页
- 第23页
- 第24页
- 第25页
- 第26页
- 第27页
- 第28页
- 第29页
- 第30页
- 第31页
- 第32页
- 第33页
- 第34页
- 第35页
- 第36页
- 第37页
- 第38页
- 第39页
- 第40页
- 第41页
- 第42页
- 第43页
- 第44页
- 第45页
- 第46页
- 第47页
- 第48页
- 第49页
- 第50页
- 第51页
- 第52页
- 第53页
- 第54页
- 第55页
- 第56页
- 第57页
- 第58页
- 第59页
- 第60页
- 第61页
- 第62页
- 第63页
- 第64页
- 第65页
- 第66页
- 第67页
- 第68页
- 第69页
- 第70页
- 第71页
- 第72页
- 第73页
- 第74页
- 第75页
- 第76页
- 第77页
- 第78页
- 第79页
- 第80页
一、化学平衡常数
1.化学平衡常数表达式
对于一般的可逆反应:$m\mathrm{A}(g)+n\mathrm{B}(g)\rightleftharpoons p\mathrm{C}(g)+q\mathrm{D}(g)$的平衡常数表达式为_____________=K,在任意时刻的浓度商$(Q)$表达式为____________=Q。
2.影响因素:平衡常数是表明化学反应限度的一个_____,通常情况下只受____影响。当反应中有关物质的浓度商____平衡常数时,表明反应达到限度,即达到化学平衡状态。
3.意义:通常,$K$越大,说明平衡体系中生成物所占的比例越大,正反应进行的程度_____,即该反应进行得越______,平衡时反应物的转化率___;反之,$K$越小,该反应进行得越不完全,平衡时反应物的转化率____。一般来说,当K > ____时,该反应就进行得基本完全了。
1.化学平衡常数表达式
对于一般的可逆反应:$m\mathrm{A}(g)+n\mathrm{B}(g)\rightleftharpoons p\mathrm{C}(g)+q\mathrm{D}(g)$的平衡常数表达式为_____________=K,在任意时刻的浓度商$(Q)$表达式为____________=Q。
2.影响因素:平衡常数是表明化学反应限度的一个_____,通常情况下只受____影响。当反应中有关物质的浓度商____平衡常数时,表明反应达到限度,即达到化学平衡状态。
3.意义:通常,$K$越大,说明平衡体系中生成物所占的比例越大,正反应进行的程度_____,即该反应进行得越______,平衡时反应物的转化率___;反之,$K$越小,该反应进行得越不完全,平衡时反应物的转化率____。一般来说,当K > ____时,该反应就进行得基本完全了。
答案:
一、1.$\frac{c^{p}(C)\cdot c^{q}(D)}{c^{m}(A)\cdot c^{n}(B)}$ $\frac{c^{p}(C)\cdot c^{q}(D)}{c^{m}(A)\cdot c^{n}(B)}$
2. 特征值 温度 等于
3. 越大 完全 越大 越小 $10^{5}$
2. 特征值 温度 等于
3. 越大 完全 越大 越小 $10^{5}$
[判一判]
(1)浓度、温度变化时,平衡常数都会改变( )
(2)$K$值越大,表明可逆反应正向进行的程度越大( )
(3)$K$值越大,该可逆反应的速率越快( )
(4)在化学方程式一定的情况下,$K$只受温度影响( )
(5)$K$值越大,反应越容易进行( )
(1)浓度、温度变化时,平衡常数都会改变( )
(2)$K$值越大,表明可逆反应正向进行的程度越大( )
(3)$K$值越大,该可逆反应的速率越快( )
(4)在化学方程式一定的情况下,$K$只受温度影响( )
(5)$K$值越大,反应越容易进行( )
答案:
(1)×
(2)√
(3)×
(4)√
(5)×
(1)×
(2)√
(3)×
(4)√
(5)×
二、化学平衡的有关计算
“三段式”法进行化学平衡的有关计算
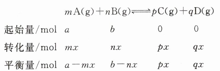
可按下列步骤建立模式,确定关系式进行计算。如可逆反应:$m\mathrm{A}(g)+n\mathrm{B}(g)\rightleftharpoons p\mathrm{C}(g)+q\mathrm{D}(g)$,在体积为$V\ L$的恒容密闭容器中,反应物$\mathrm{A}$、$\mathrm{B}$的初始加入量分别为$a\ mol$、$b\ mol$,达到化学平衡时,设$\mathrm{A}$物质转化的物质的量为$mx\ mol$。
(1)模式

对于反应物:$n(\mathrm{平}) = $
对于生成物:$n(\mathrm{平}) = $
则有:①平衡常数$K=\frac{(\frac{px}{V})^{p}\cdot(\frac{qx}{V})^{q}}{(\frac{a - mx}{V})^{m}\cdot(\frac{b - nx}{V})^{n}}$
②平衡时$\mathrm{A}$的物质的量浓度:$c(\mathrm{A}) = $。
③平衡时$\mathrm{A}$的转化率:$\alpha=\frac{mx}{a}\times100\%$,$\mathrm{A}$、$\mathrm{B}$的转化率之比为$\alpha(\mathrm{A}):\alpha(\mathrm{B})=\frac{mx}{a}:\frac{nx}{b}$。
④平衡时$\mathrm{A}$的体积分数:$\varphi(\mathrm{A})=\frac{a - mx}{a + b+(p + q - m - n)x}\times100\%$。
⑤平衡时和开始时的压强之比:$\frac{p(\mathrm{平})}{p(\mathrm{始})}=\frac{a + b+(p + q - m - n)x}{a + b}$。
⑥混合气体的密度:$\rho(\mathrm{混})=\frac{a\cdot M(\mathrm{A})+b\cdot M(\mathrm{B})}{V}g\cdot L^{-1}$。
⑦平衡时混合气体的平均摩尔质量:$\overline{M}=\frac{a\cdot M(\mathrm{A})+b\cdot M(\mathrm{B})}{a + b+(p + q - m - n)x}g\cdot mol^{-1}$。
⑧生成物产率$=\frac{该物质实际产量}{该物质理论产量}\times100\%$。
(2)基本步骤
①确定反应物和生成物的初始加入量。
②确定反应过程的转化量(一般设某物质的转化量为$x$)。
③确定平衡量。
“三段式”法进行化学平衡的有关计算
可按下列步骤建立模式,确定关系式进行计算。如可逆反应:$m\mathrm{A}(g)+n\mathrm{B}(g)\rightleftharpoons p\mathrm{C}(g)+q\mathrm{D}(g)$,在体积为$V\ L$的恒容密闭容器中,反应物$\mathrm{A}$、$\mathrm{B}$的初始加入量分别为$a\ mol$、$b\ mol$,达到化学平衡时,设$\mathrm{A}$物质转化的物质的量为$mx\ mol$。
(1)模式
对于反应物:$n(\mathrm{平}) = $
对于生成物:$n(\mathrm{平}) = $
则有:①平衡常数$K=\frac{(\frac{px}{V})^{p}\cdot(\frac{qx}{V})^{q}}{(\frac{a - mx}{V})^{m}\cdot(\frac{b - nx}{V})^{n}}$
②平衡时$\mathrm{A}$的物质的量浓度:$c(\mathrm{A}) = $。
③平衡时$\mathrm{A}$的转化率:$\alpha=\frac{mx}{a}\times100\%$,$\mathrm{A}$、$\mathrm{B}$的转化率之比为$\alpha(\mathrm{A}):\alpha(\mathrm{B})=\frac{mx}{a}:\frac{nx}{b}$。
④平衡时$\mathrm{A}$的体积分数:$\varphi(\mathrm{A})=\frac{a - mx}{a + b+(p + q - m - n)x}\times100\%$。
⑤平衡时和开始时的压强之比:$\frac{p(\mathrm{平})}{p(\mathrm{始})}=\frac{a + b+(p + q - m - n)x}{a + b}$。
⑥混合气体的密度:$\rho(\mathrm{混})=\frac{a\cdot M(\mathrm{A})+b\cdot M(\mathrm{B})}{V}g\cdot L^{-1}$。
⑦平衡时混合气体的平均摩尔质量:$\overline{M}=\frac{a\cdot M(\mathrm{A})+b\cdot M(\mathrm{B})}{a + b+(p + q - m - n)x}g\cdot mol^{-1}$。
⑧生成物产率$=\frac{该物质实际产量}{该物质理论产量}\times100\%$。
(2)基本步骤
①确定反应物和生成物的初始加入量。
②确定反应过程的转化量(一般设某物质的转化量为$x$)。
③确定平衡量。
答案:
(1)$n(始)-n(转)$ $n(始)+n(转)$ ②$\frac{a - mx}{V}\ mol\cdot L^{-1}$
(1)$n(始)-n(转)$ $n(始)+n(转)$ ②$\frac{a - mx}{V}\ mol\cdot L^{-1}$
1.下列关于化学平衡常数的说法中正确的是( )
A.在任何条件下,化学平衡常数都是一个定值
B.根据化学平衡常数$K$可以推断一个可逆反应进行的限度
C.化学平衡常数$K$与温度、反应物浓度、体系的压强都有关
D.当改变反应物的浓度时,化学平衡常数一定会发生改变
A.在任何条件下,化学平衡常数都是一个定值
B.根据化学平衡常数$K$可以推断一个可逆反应进行的限度
C.化学平衡常数$K$与温度、反应物浓度、体系的压强都有关
D.当改变反应物的浓度时,化学平衡常数一定会发生改变
答案:
B $K$与温度有关,温度不同时化学平衡常数不同,故A错误;根据化学平衡常数$K$可以推断一个可逆反应进行的程度,$K$越大,正向进行的趋势越大,故B正确;化学平衡常数$K$只与温度有关,与反应物浓度、体系的压强无关,故C错误;当改变反应物的浓度时,如果温度不变,则化学平衡常数不变,故D错误。
查看更多完整答案,请扫码查看