2025年步步高精准讲练物理选择性必修第二册
注:目前有些书本章节名称可能整理的还不是很完善,但都是按照顺序排列的,请同学们按照顺序仔细查找。练习册 2025年步步高精准讲练物理选择性必修第二册 答案主要是用来给同学们做完题方便对答案用的,请勿直接抄袭。
第78页
- 第1页
- 第2页
- 第3页
- 第4页
- 第5页
- 第6页
- 第7页
- 第8页
- 第9页
- 第10页
- 第11页
- 第12页
- 第13页
- 第14页
- 第15页
- 第16页
- 第17页
- 第18页
- 第19页
- 第20页
- 第21页
- 第22页
- 第23页
- 第24页
- 第25页
- 第26页
- 第27页
- 第28页
- 第29页
- 第30页
- 第31页
- 第32页
- 第33页
- 第34页
- 第35页
- 第36页
- 第37页
- 第38页
- 第39页
- 第40页
- 第41页
- 第42页
- 第43页
- 第44页
- 第45页
- 第46页
- 第47页
- 第48页
- 第49页
- 第50页
- 第51页
- 第52页
- 第53页
- 第54页
- 第55页
- 第56页
- 第57页
- 第58页
- 第59页
- 第60页
- 第61页
- 第62页
- 第63页
- 第64页
- 第65页
- 第66页
- 第67页
- 第68页
- 第69页
- 第70页
- 第71页
- 第72页
- 第73页
- 第74页
- 第75页
- 第76页
- 第77页
- 第78页
- 第79页
- 第80页
【例 2】(多选)
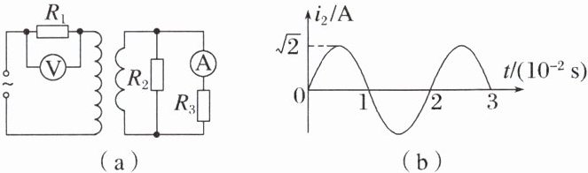
在如图(a)所示的交流电路中,电源电压的有效值为 220 V,理想变压器原、副线圈的匝数比为$10:1$,$R_{1}$、$R_{2}$、$R_{3}$均为固定电阻,$R_{2}=10\ \Omega$,$R_{3}=20\ \Omega$,各电表均为理想电表。已知电阻$R_{2}$中电流$i_{2}$随时间$t$变化的正弦曲线如图(b)所示。下列说法正确的是

A.所用交流电的频率为 50 Hz
B.电压表的示数为 100 V
C.电流表的示数为 1.0 A
D.变压器传输的电功率为 15.0 W
在如图(a)所示的交流电路中,电源电压的有效值为 220 V,理想变压器原、副线圈的匝数比为$10:1$,$R_{1}$、$R_{2}$、$R_{3}$均为固定电阻,$R_{2}=10\ \Omega$,$R_{3}=20\ \Omega$,各电表均为理想电表。已知电阻$R_{2}$中电流$i_{2}$随时间$t$变化的正弦曲线如图(b)所示。下列说法正确的是
AD
A.所用交流电的频率为 50 Hz
B.电压表的示数为 100 V
C.电流表的示数为 1.0 A
D.变压器传输的电功率为 15.0 W
答案:
AD [根据$i_2-t$图像可知$T=0.02s$,则所用交流电的频率$f=\frac{1}{T}=50Hz$,故A正确;副线圈两端电压$U_2=I_2R_2=\frac{\sqrt{2}}{\sqrt{2}}×10V=10V$,由$\frac{U_1}{U_2}=\frac{n_1}{n_2}$得原线圈两端电压$U_1=100V$,电压表的示数$U=220V-100V=120V$,故B错误;电流表的示数$I=\frac{U_2}{R_3}=\frac{10}{20}A=0.5A$,故C错误;变压器传输的电功率$P=I_2^2R_2+I^2R_3=15.0W$,故D正确。]
【例 3】(2024·浙江浙南名校高二期末)
如图所示,正弦交流电源输出电压有效值恒为$U$,通过电阻$R_{0}$连接理想变压器给用电器$R$供电,当用电器电阻$R$等于$4R_{0}$时,用电器电功率最大,则变压器的匝数比为

A.$1:2$
B.$2:1$
C.$1:4$
D.$4:1$
如图所示,正弦交流电源输出电压有效值恒为$U$,通过电阻$R_{0}$连接理想变压器给用电器$R$供电,当用电器电阻$R$等于$4R_{0}$时,用电器电功率最大,则变压器的匝数比为
$\frac{1}{2}$
A.$1:2$
B.$2:1$
C.$1:4$
D.$4:1$
答案:
A [外电阻等于内阻时外电路具有最大输出功率。变压器和用电器电阻$R$组成的等效电阻为$R_等=(\frac{n_1}{n_2})^2R$,可将$R_0$等效为电源内阻,当用电器电阻$R$等于$4R_0$时,用电器电功率最大,则$(\frac{n_1}{n_2})^2×4R_0=R_0$,解得$\frac{n_1}{n_2}=\frac{1}{2}$,故选A。]
查看更多完整答案,请扫码查看