2025年步步高精准讲练物理选择性必修第二册
注:目前有些书本章节名称可能整理的还不是很完善,但都是按照顺序排列的,请同学们按照顺序仔细查找。练习册 2025年步步高精准讲练物理选择性必修第二册 答案主要是用来给同学们做完题方便对答案用的,请勿直接抄袭。
第35页
- 第1页
- 第2页
- 第3页
- 第4页
- 第5页
- 第6页
- 第7页
- 第8页
- 第9页
- 第10页
- 第11页
- 第12页
- 第13页
- 第14页
- 第15页
- 第16页
- 第17页
- 第18页
- 第19页
- 第20页
- 第21页
- 第22页
- 第23页
- 第24页
- 第25页
- 第26页
- 第27页
- 第28页
- 第29页
- 第30页
- 第31页
- 第32页
- 第33页
- 第34页
- 第35页
- 第36页
- 第37页
- 第38页
- 第39页
- 第40页
- 第41页
- 第42页
- 第43页
- 第44页
- 第45页
- 第46页
- 第47页
- 第48页
- 第49页
- 第50页
- 第51页
- 第52页
- 第53页
- 第54页
- 第55页
- 第56页
- 第57页
- 第58页
- 第59页
- 第60页
- 第61页
- 第62页
- 第63页
- 第64页
- 第65页
- 第66页
- 第67页
- 第68页
- 第69页
- 第70页
- 第71页
- 第72页
- 第73页
- 第74页
- 第75页
- 第76页
- 第77页
- 第78页
- 第79页
- 第80页
例3
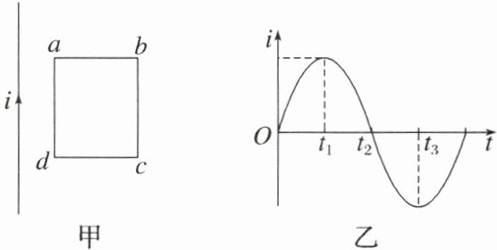
(2024·宁波金兰联盟高二期中)水平桌面上固定一根绝缘长直导线,矩形导线框abcd靠近长直导线固定在桌面上,如图甲所示。当长直导线中的电流按图乙的规律变化时(图甲所示电流方向为其正方向),则(

A.$0~t_{1}$,线框内电流的方向为$abcda$
B.$t_{1}~t_{2}$,线框内电流的方向为$abcda$
C.$t_{2}~t_{3}$,线框所受安培力方向一直向左
D.$t_{1}~t_{3}$,线框所受安培力方向一直向右
拓展
若直导线中通有沿纸面向上的恒定电流I,试分析以下几种情况下线框abcd中的电流方向。
(1)线框abcd沿平行于导线方向向上平动时;
(2)线框abcd向右平动时;
(3)线框abcd由右向左匀速通过直导线的过程中。
(2024·宁波金兰联盟高二期中)水平桌面上固定一根绝缘长直导线,矩形导线框abcd靠近长直导线固定在桌面上,如图甲所示。当长直导线中的电流按图乙的规律变化时(图甲所示电流方向为其正方向),则(
B
)A.$0~t_{1}$,线框内电流的方向为$abcda$
B.$t_{1}~t_{2}$,线框内电流的方向为$abcda$
C.$t_{2}~t_{3}$,线框所受安培力方向一直向左
D.$t_{1}~t_{3}$,线框所受安培力方向一直向右
拓展
若直导线中通有沿纸面向上的恒定电流I,试分析以下几种情况下线框abcd中的电流方向。
(1)线框abcd沿平行于导线方向向上平动时;
(2)线框abcd向右平动时;
(3)线框abcd由右向左匀速通过直导线的过程中。
(1)穿过线框的磁通量不变,线框中无感应电流。(2)穿过线框的磁通量向里减小,故感应电流方向为abcda。(3)先adcba,后abcda,再adcba。
答案:
B [0~t₁,穿过线框的磁通量向里增加,根据楞次定律可知,线框内电流的方向为adcba,选项A错误;t₁~t₂,穿过线框的磁通量向里减小,根据楞次定律可知,线框内电流的方向为abcda,选项B正确;t₂~t₃,穿过线框的磁通量向外增加,根据楞次定律可知,线框内电流的方向为abcda,根据左手定则,ad所受安培力向右,bc所受安培力向左,因ad边所受安培力大于bc边所受的安培力,可知线框所受安培力方向一直向右,选项C错误;t₁~t₃,线框所受安培力方向先向左后向右,选项D错误。]
@@
(1)穿过线框的磁通量不变,线框中无感应电流。
(2)穿过线框的磁通量向里减小,故感应电流方向为abcda。
(3)先adcba,后abcda,再adcba。
@@
(1)穿过线框的磁通量不变,线框中无感应电流。
(2)穿过线框的磁通量向里减小,故感应电流方向为abcda。
(3)先adcba,后abcda,再adcba。
三、右手定则的理解和应用
如图所示,当闭合回路中的部分导体切割磁感线时,会引起磁通量的变化,从而使回路中产生感应电流。

(1)请用楞次定律判断感应电流的方向;
(2)感应电流I的方向、原磁场B的方向、导体运动的速度v的方向三者之间满足什么关系(阅读课本并伸开右手做一做)?
(1)
(2)
如图所示,当闭合回路中的部分导体切割磁感线时,会引起磁通量的变化,从而使回路中产生感应电流。
(1)请用楞次定律判断感应电流的方向;
(2)感应电流I的方向、原磁场B的方向、导体运动的速度v的方向三者之间满足什么关系(阅读课本并伸开右手做一做)?
(1)
从b到a
(2)
伸开右手,使拇指与其余四个手指垂直,并且都与手掌在同一个平面内;让磁感线从掌心进入,并使拇指指向导线运动的方向,这时四指所指的方向就是感应电流的方向
答案:
(1)从b到a (2)伸开右手,使拇指与其余四个手指垂直,并且都与手掌在同一个平面内;让磁感线从掌心进入,并使拇指指向导线运动的方向,这时四指所指的方向就是感应电流的方向
1. 右手定则:伸开
2. 两点说明:(1)大拇指所指的方向是导体相对磁场切割磁感线的运动方向,既可以是导体运动而磁场未动,也可以是导体未动而磁场运动,还可以是两者以不同速度同时运动。
(2)四指指向电流方向,切割磁感线的导体相当于
右手
,使拇指与其余四个手指垂直,并且都与手掌在同一个平面内;让磁感线从掌心进入,并使拇指
指向导线运动的方向,这时四指
所指的方向就是感应电流的方向。2. 两点说明:(1)大拇指所指的方向是导体相对磁场切割磁感线的运动方向,既可以是导体运动而磁场未动,也可以是导体未动而磁场运动,还可以是两者以不同速度同时运动。
(2)四指指向电流方向,切割磁感线的导体相当于
电源
。
答案:
1. 右手 拇指 四指 2. (2)电源
例4
(2024·金华市高二期末)如图所示,匀强磁场与圆形导体环平面垂直,导体ef与环接触良好,当ef向右匀速运动时(

A.圆环中磁通量不变,环上无感应电流产生
B.整个环中有顺时针方向的电流
C.整个环中有逆时针方向的电流
D.环的右侧有逆时针方向的电流,环的左侧有顺时针方向的电流
(2024·金华市高二期末)如图所示,匀强磁场与圆形导体环平面垂直,导体ef与环接触良好,当ef向右匀速运动时(
D
)A.圆环中磁通量不变,环上无感应电流产生
B.整个环中有顺时针方向的电流
C.整个环中有逆时针方向的电流
D.环的右侧有逆时针方向的电流,环的左侧有顺时针方向的电流
答案:
D [由右手定则知ef上的电
流由e→f,故环的右侧的电流方向
为逆时针,左侧的电流方向为顺时
针,D正确。]
流由e→f,故环的右侧的电流方向
为逆时针,左侧的电流方向为顺时
针,D正确。]
查看更多完整答案,请扫码查看