2025年步步高精准讲练物理选择性必修第二册
注:目前有些书本章节名称可能整理的还不是很完善,但都是按照顺序排列的,请同学们按照顺序仔细查找。练习册 2025年步步高精准讲练物理选择性必修第二册 答案主要是用来给同学们做完题方便对答案用的,请勿直接抄袭。
第67页
- 第1页
- 第2页
- 第3页
- 第4页
- 第5页
- 第6页
- 第7页
- 第8页
- 第9页
- 第10页
- 第11页
- 第12页
- 第13页
- 第14页
- 第15页
- 第16页
- 第17页
- 第18页
- 第19页
- 第20页
- 第21页
- 第22页
- 第23页
- 第24页
- 第25页
- 第26页
- 第27页
- 第28页
- 第29页
- 第30页
- 第31页
- 第32页
- 第33页
- 第34页
- 第35页
- 第36页
- 第37页
- 第38页
- 第39页
- 第40页
- 第41页
- 第42页
- 第43页
- 第44页
- 第45页
- 第46页
- 第47页
- 第48页
- 第49页
- 第50页
- 第51页
- 第52页
- 第53页
- 第54页
- 第55页
- 第56页
- 第57页
- 第58页
- 第59页
- 第60页
- 第61页
- 第62页
- 第63页
- 第64页
- 第65页
- 第66页
- 第67页
- 第68页
- 第69页
- 第70页
- 第71页
- 第72页
- 第73页
- 第74页
- 第75页
- 第76页
- 第77页
- 第78页
- 第79页
- 第80页
例4
一矩形线圈在匀强磁场中绕垂直于磁感线的轴匀速转动。穿过线圈的磁通量随时间变化的图像如图甲所示,则以下说法中正确的是(

A.t = 0时刻,线圈平面与中性面垂直
B.t = 0.01 s时刻,Φ的变化率最大
C.t = 0.02 s时刻,交变电流的电动势达到最大
D.该线圈产生的交变电流的电动势随时间变化的图像如图乙
一矩形线圈在匀强磁场中绕垂直于磁感线的轴匀速转动。穿过线圈的磁通量随时间变化的图像如图甲所示,则以下说法中正确的是(
B
)A.t = 0时刻,线圈平面与中性面垂直
B.t = 0.01 s时刻,Φ的变化率最大
C.t = 0.02 s时刻,交变电流的电动势达到最大
D.该线圈产生的交变电流的电动势随时间变化的图像如图乙
答案:
例4 B [$t = 0$时刻,穿过线圈的磁通量最大,则线圈平面位于中性面位置,A错误;$t = 0.01 s$时刻,$\Phi - t$图像斜率的绝对值最大,则$\Phi$的变化率最大,B正确;$t = 0.02 s$时刻,穿过线圈的磁通量最大,感应电动势为 0,C错误;穿过线圈的磁通量最大时,感应电动势为 0,穿过线圈的磁通量为 0 即磁通量变化率最大时,感应电动势最大,题图乙不符,D 错误。]
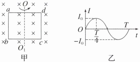
为了研究交流电的产生过程,小张同学设计了如下方案:将单匝矩形线圈放在匀强磁场中,线圈绕转轴OO₁按图示方向匀速转动(ab向纸外,cd向纸内),并从图甲所示位置开始计时,此时产生的交变电流如图乙所示。下列说法正确的是(

A.根据图乙可知T/4时,穿过线圈的磁通量最大
B.根据图乙可知T/4时,线圈的磁通量变化率最大
C.若仅把甲图中的转轴OO₁改为转轴ab,并从图甲所示位置开始计时,则产生的交流电与图乙所示不同
D.若仅把甲图中的单匝矩形线圈改为两匝矩形线圈,并从图甲所示位置开始计时,则产生交流电与图乙所示不同
B
)A.根据图乙可知T/4时,穿过线圈的磁通量最大
B.根据图乙可知T/4时,线圈的磁通量变化率最大
C.若仅把甲图中的转轴OO₁改为转轴ab,并从图甲所示位置开始计时,则产生的交流电与图乙所示不同
D.若仅把甲图中的单匝矩形线圈改为两匝矩形线圈,并从图甲所示位置开始计时,则产生交流电与图乙所示不同
答案:
针对训练 B [根据题图乙可知$\frac{T}{4}$时,线圈的感应电流最大,线圈的磁通量变化率最大,磁通量最小,为 0,A错误,B正确;若仅把题图甲中的转轴$OO_1$改为转轴$ab$,并从题图甲所示的位置开始计时,磁通量的变化情况一样,产生的交流电与题图乙所示相同,C错误;若仅把题图甲中的单匝矩形线圈改为两匝矩形线圈,并从题图甲所示位置开始时,则产生的感应电动势最大值变为原来的两倍,但是线圈电阻也变为原来的两倍,则交流电的图像与题图乙所示仍一致,D错误。]
四、交流发电机
1. 工作原理:法拉第电磁感应定律。
2. 主要构造:
3. 分类
(1) 旋转电枢式发电机:
(2) 旋转磁极式发电机:
4. 发电机的能量转换
发电机转子一般由蒸汽轮机、水轮机等带动,将机械能转化为电能,输送给外电路。
1. 工作原理:法拉第电磁感应定律。
2. 主要构造:
电枢
和磁极
。3. 分类
(1) 旋转电枢式发电机:
电枢
转动,磁极
不动。(2) 旋转磁极式发电机:
磁极
转动,电枢
不动。4. 发电机的能量转换
发电机转子一般由蒸汽轮机、水轮机等带动,将机械能转化为电能,输送给外电路。
答案:
2. 电枢;磁极
3.
(1) 电枢;磁极
(2) 磁极;电枢
3.
(1) 电枢;磁极
(2) 磁极;电枢
例5
关于交流发电机和直流电动机,下列说法正确的是(
A.电动机是利用电磁感应现象制成的,工作时把机械能转化为电能
B.电动机是利用磁场对电流的作用制成的,工作时把电能转化为机械能
C.发电机是利用电磁感应现象制成的,工作时把电能转化为机械能
D.发电机是利用磁场对电流的作用制成的,工作时把机械能转化为电能
关于交流发电机和直流电动机,下列说法正确的是(
B
)A.电动机是利用电磁感应现象制成的,工作时把机械能转化为电能
B.电动机是利用磁场对电流的作用制成的,工作时把电能转化为机械能
C.发电机是利用电磁感应现象制成的,工作时把电能转化为机械能
D.发电机是利用磁场对电流的作用制成的,工作时把机械能转化为电能
答案:
例5 B [电动机是利用磁场对电流的作用制成的,工作时把电能转化为机械能,故A错误,B正确;发电机是利用电磁感应现象制成的,工作时把机械能转化为电能,故C、D 错误。]
查看更多完整答案,请扫码查看