2025年步步高精准讲练物理选择性必修第二册
注:目前有些书本章节名称可能整理的还不是很完善,但都是按照顺序排列的,请同学们按照顺序仔细查找。练习册 2025年步步高精准讲练物理选择性必修第二册 答案主要是用来给同学们做完题方便对答案用的,请勿直接抄袭。
第37页
- 第1页
- 第2页
- 第3页
- 第4页
- 第5页
- 第6页
- 第7页
- 第8页
- 第9页
- 第10页
- 第11页
- 第12页
- 第13页
- 第14页
- 第15页
- 第16页
- 第17页
- 第18页
- 第19页
- 第20页
- 第21页
- 第22页
- 第23页
- 第24页
- 第25页
- 第26页
- 第27页
- 第28页
- 第29页
- 第30页
- 第31页
- 第32页
- 第33页
- 第34页
- 第35页
- 第36页
- 第37页
- 第38页
- 第39页
- 第40页
- 第41页
- 第42页
- 第43页
- 第44页
- 第45页
- 第46页
- 第47页
- 第48页
- 第49页
- 第50页
- 第51页
- 第52页
- 第53页
- 第54页
- 第55页
- 第56页
- 第57页
- 第58页
- 第59页
- 第60页
- 第61页
- 第62页
- 第63页
- 第64页
- 第65页
- 第66页
- 第67页
- 第68页
- 第69页
- 第70页
- 第71页
- 第72页
- 第73页
- 第74页
- 第75页
- 第76页
- 第77页
- 第78页
- 第79页
- 第80页
如图,当 b 环中电流减小时,a 环面积有“增大”还是“缩小”的趋势?

缩小
答案:
1. 分析原磁通量:b环电流产生磁场,穿过a环的净磁通量方向与b环内磁场同向(内部磁场强于外部反向磁场)。
2. 磁通量变化:b环电流减小,原磁场减弱,穿过a环的净磁通量减小。
3. 楞次定律应用:a环需阻碍净磁通量减小。净磁通量=内部磁通量-外部反向磁通量,缩小a环面积会减少外部反向磁通量,从而阻碍净磁通量减小。
结论:a环面积有缩小的趋势。
缩小
2. 磁通量变化:b环电流减小,原磁场减弱,穿过a环的净磁通量减小。
3. 楞次定律应用:a环需阻碍净磁通量减小。净磁通量=内部磁通量-外部反向磁通量,缩小a环面积会减少外部反向磁通量,从而阻碍净磁通量减小。
结论:a环面积有缩小的趋势。
缩小
【例 1】(2024·浙江省高二期末)如图所示,质量为$ m $的铜质闭合线圈静置于粗糙水平桌面上。当一个竖直放置的条形磁体贴近线圈,沿线圈中线由左至右从线圈正上方等高、匀速经过时,线圈始终保持不动,重力加速度为$ g。$则关于线圈在此过程中受到的支持力$ F_N $和摩擦力$ F_f $的情况,以下判断正确的是(

$A.F_N $先大于$ mg,$后小于$ mg$
$B.F_N $一直大于$ mg$
$C.F_f $先向左,后向右
D.线圈中的电流方向始终不变
A
) $A.F_N $先大于$ mg,$后小于$ mg$
$B.F_N $一直大于$ mg$
$C.F_f $先向左,后向右
D.线圈中的电流方向始终不变
答案:
例1 A [根据“来拒去留”,磁体靠近线圈时受到斜向上的斥力,由牛顿第三定律知,线圈受到斜向下的斥力,故线圈受到的支持力$F_N$大于重力$mg$,磁体远离线圈时,线圈受到斜向上的引力,支持力$F_N$小于重力$mg$,故A正确,B错误;每个过程中磁体对线圈的作用力都有向右的分量,即线圈一直有向右运动趋势,摩擦力的方向始终向左,C错误;由于线圈中的磁通量先变大后变小,方向不变,故磁体靠近和远离线圈时,线圈中电流方向相反,D错误。]
如图所示,水平固定的长直导线与矩形导线框 abcd 在同一竖直平面,导线框的 ab 边与导线平行,导线中通有向右的恒定电流 I,现将导线框由静止释放,导线框在竖直下落过程中没有翻转,不计空气阻力。下列对导线框下落过程的分析,正确的是(

A.导线框中产生了顺时针方向的感应电流
B.导线框的面积有收缩的趋势
C.导线框下落的加速度有时可能大于重力加速度 g
D.若导线中的电流 I 方向向左,则线框所受安培力的合力方向向下
A
)A.导线框中产生了顺时针方向的感应电流
B.导线框的面积有收缩的趋势
C.导线框下落的加速度有时可能大于重力加速度 g
D.若导线中的电流 I 方向向左,则线框所受安培力的合力方向向下
答案:
针对训练 A [根据安培定则可知,导线下方的磁场垂直纸面向里,离导线越远的地方,磁感应强度越小,导线框在竖直下落过程中,穿过导线框的磁通量变小,根据楞次定律可知导线框中产生了顺时针方向的感应电流,根据“增缩减扩”可知导线框的面积有扩张的趋势,故A正确,B错误;导线框下落时,由“来拒去留”可知,安培力合力方向向上,总是阻碍相对运动,与电流方向无关,故D错误;导线框下落过程中,安培力合力向上,重力大于安培力合力,所以导线框下落的加速度小于重力加速度$g$,故C错误。]
拓展 1
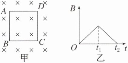
如图甲所示,有一闭合线圈 ABCD,磁场方向垂直于线圈平面向里(为正方向),磁感应强度 B 随时间 t 的变化如图乙所示,0~t1 时间内 AB 边受到的安培力方向

如图甲所示,有一闭合线圈 ABCD,磁场方向垂直于线圈平面向里(为正方向),磁感应强度 B 随时间 t 的变化如图乙所示,0~t1 时间内 AB 边受到的安培力方向
向右
,t1~t2 时间内 AB 边受到的安培力方向向左
(均选填“向左”或“向右”)。
答案:
拓展1 向右 向左
拓展 2
如图所示,闭合线圈 ABCD 进入磁场的过程中,CD 边受到的安培力方向

如图所示,闭合线圈 ABCD 进入磁场的过程中,CD 边受到的安培力方向
向左
,穿出磁场的过程中,AB 边受到的安培力方向向左
(均选填“向左”或“向右”)。
答案:
拓展2 向左 向左
【例 2】如图所示,两个相同的轻质铝环套在一根水平光滑的绝缘杆上,当一条形磁体向左运动靠近两环时,两环的运动情况是(

A.同时向左运动,间距变大
B.同时向左运动,间距变小
C.同时向右运动,间距变小
D.同时向右运动,间距变大
B
)A.同时向左运动,间距变大
B.同时向左运动,间距变小
C.同时向右运动,间距变小
D.同时向右运动,间距变大
答案:
例2 B [磁体向左运动,穿过两环的磁通量都增加,根据楞次定律,感应电流的磁场将阻碍原磁通量增加,所以两者都向左运动,两环产生的感应电流方向相同,依据安培定则和左手定则可以判断两个环之间是相互吸引的,所以A、C、D错误,B正确。]
【例 3】(多选)如图所示,用弹性材料绕制的通电螺线管 N 置于闭合金属圆环 M 的轴线上,通过 N 的电流方向为从左向右。当 N 中的电流突然减小时,则(

A.环 M 有缩小的趋势
B.环 M 的扩张的趋势
C.螺线管 N 有缩短的趋势
D.螺线管 N 有伸长的趋势
AD
)A.环 M 有缩小的趋势
B.环 M 的扩张的趋势
C.螺线管 N 有缩短的趋势
D.螺线管 N 有伸长的趋势
答案:
例3 AD [当N中通过的电流突然减小时,电流产生的磁场减弱,故穿过M的磁通量减小,为阻碍磁通量减小,根据楞次定律可知,环M应向磁通量增大的方向形变。由于M环中有两种方向的磁场:螺线管N外的磁感线方向与螺线管内的磁感线方向相反,N螺线管外的磁感线要将N螺线管内的磁通量抵消一些,当M的面积减小时,穿过M的磁通量会增大,所以可知环M应有减小的趋势;当N中电流突然减小时,N内各匝线圈之间的作用力减小;由于同向电流相互吸引,所以螺线管N有伸长的趋势,故选A、D。]
查看更多完整答案,请扫码查看