2025年步步高精准讲练物理选择性必修第二册
注:目前有些书本章节名称可能整理的还不是很完善,但都是按照顺序排列的,请同学们按照顺序仔细查找。练习册 2025年步步高精准讲练物理选择性必修第二册 答案主要是用来给同学们做完题方便对答案用的,请勿直接抄袭。
第69页
- 第1页
- 第2页
- 第3页
- 第4页
- 第5页
- 第6页
- 第7页
- 第8页
- 第9页
- 第10页
- 第11页
- 第12页
- 第13页
- 第14页
- 第15页
- 第16页
- 第17页
- 第18页
- 第19页
- 第20页
- 第21页
- 第22页
- 第23页
- 第24页
- 第25页
- 第26页
- 第27页
- 第28页
- 第29页
- 第30页
- 第31页
- 第32页
- 第33页
- 第34页
- 第35页
- 第36页
- 第37页
- 第38页
- 第39页
- 第40页
- 第41页
- 第42页
- 第43页
- 第44页
- 第45页
- 第46页
- 第47页
- 第48页
- 第49页
- 第50页
- 第51页
- 第52页
- 第53页
- 第54页
- 第55页
- 第56页
- 第57页
- 第58页
- 第59页
- 第60页
- 第61页
- 第62页
- 第63页
- 第64页
- 第65页
- 第66页
- 第67页
- 第68页
- 第69页
- 第70页
- 第71页
- 第72页
- 第73页
- 第74页
- 第75页
- 第76页
- 第77页
- 第78页
- 第79页
- 第80页
某交流电压的瞬时值表达式$u = 6\sqrt{2}\sin(100\pi t) V$,把标有“$6\ V\ 2\ W$”的小灯泡泡接在此电源上会不会被烧坏?把击穿电压为$6\ V$的电容器接在此电源上会不会被击穿?
1.对于小灯泡:
交流电压有效值:$U = \frac{6\sqrt{2}}{\sqrt{2}} = 6V$,
小灯泡额定电压为$6V$,等于交流电压有效值,所以小灯泡不会被烧坏。
2.对于电容器:
交流电压最大值:$U_{m} = 6\sqrt{2}V \approx 8.49V$,
电容器击穿电压为$6V$,$U_{m} > 6V$,所以电容器会被击穿。
结论:小灯泡不会被烧坏,电容器会被击穿。
1.对于小灯泡:
交流电压有效值:$U = \frac{6\sqrt{2}}{\sqrt{2}} = 6V$,
小灯泡额定电压为$6V$,等于交流电压有效值,所以小灯泡不会被烧坏。
2.对于电容器:
交流电压最大值:$U_{m} = 6\sqrt{2}V \approx 8.49V$,
电容器击穿电压为$6V$,$U_{m} > 6V$,所以电容器会被击穿。
结论:小灯泡不会被烧坏,电容器会被击穿。
答案:
1.对于小灯泡:
交流电压有效值:$U = \frac{6\sqrt{2}}{\sqrt{2}} = 6V$,
小灯泡额定电压为$6V$,等于交流电压有效值,所以小灯泡不会被烧坏。
2.对于电容器:
交流电压最大值:$U_{m} = 6\sqrt{2}V \approx 8.49V$,
电容器击穿电压为$6V$,$U_{m} > 6V$,所以电容器会被击穿。
结论:小灯泡不会被烧坏,电容器会被击穿。
交流电压有效值:$U = \frac{6\sqrt{2}}{\sqrt{2}} = 6V$,
小灯泡额定电压为$6V$,等于交流电压有效值,所以小灯泡不会被烧坏。
2.对于电容器:
交流电压最大值:$U_{m} = 6\sqrt{2}V \approx 8.49V$,
电容器击穿电压为$6V$,$U_{m} > 6V$,所以电容器会被击穿。
结论:小灯泡不会被烧坏,电容器会被击穿。
【例2】 (2024·浙江三锋联盟高二期中)某电路中的交变电流在一个周期内的$i - t$图像如图所示,其中图线的$bc$段为正弦曲线的四分之一,则该交变电流的有效值为 (

A.$\frac{\sqrt{51}}{6} A$
B.$\frac{2\sqrt{51}}{3} A$
C.$\frac{\sqrt{51}}{3} A$
D.$\frac{5\sqrt{51}}{6} A$
A
)A.$\frac{\sqrt{51}}{6} A$
B.$\frac{2\sqrt{51}}{3} A$
C.$\frac{\sqrt{51}}{3} A$
D.$\frac{5\sqrt{51}}{6} A$
答案:
A [设该交变电流的有效值为I,则有$I^{2}RT = (\frac{\sqrt{2}}{2})^{2}R·\frac{T}{6} +(\sqrt{2})^{2}R·\frac{T}{2}+(\frac{\sqrt{2}}{\sqrt{2}})^{2}R·\frac{T}{3}$,解得$I=\frac{\sqrt{51}}{6}\ A$,故选A。]
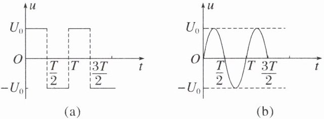
针对训练 (来自鲁科教材)阻值相等的甲、乙两电阻分别接到图(a)和(b)所示的方波交变电压、正弦式交变电压电路中,两种电压的周期和峰值都相等。求两电阻的电功率之比。

2 : 1
答案:
2 : 1 解析 题图(a)所示为方波交变电压,由有效值定义可知$\frac{U_{0}^{2}}{R}·\frac{T}{2}+\frac{U_{0}^{2}}{R}·\frac{T}{2}=\frac{U_{a}^{2}}{R}T$,解得有效值为$U_{a}=U_{0}$,题图(b)所示为正弦式交变电压,其有效值为$U_{b}=\frac{U_{0}}{\sqrt{2}}$,则两电阻的电功率之比为$P_{甲}:P_{乙}=\frac{U_{0}^{2}}{R}:\frac{(\frac{U_{0}}{\sqrt{2}})^{2}}{R}=2:1$。
查看更多完整答案,请扫码查看