1. 若 $ x > y $,则下列不等式中正确的是(
A.$ 2x > 2y $
B.$ x - 4 < y - 4 $
C.$ -\dfrac{1}{2}x > -\dfrac{1}{2}y $
D.$ 2x + 1 < 2y + 1 $
A
)。A.$ 2x > 2y $
B.$ x - 4 < y - 4 $
C.$ -\dfrac{1}{2}x > -\dfrac{1}{2}y $
D.$ 2x + 1 < 2y + 1 $
答案:
A
2. 若不等式的解集在数轴上的表示如图所示,则该不等式的解集为(

A.$ x < 2 $
B.$ x \leq 2 $
C.$ x > 2 $
D.$ x \geq 2 $
B
)。A.$ x < 2 $
B.$ x \leq 2 $
C.$ x > 2 $
D.$ x \geq 2 $
答案:
B
3. 下列不等关系中,正确的是(
A.$ a $ 不是负数:$ a > 0 $
B.$ x $ 不大于 $ 5 $:$ x > 5 $
C.$ x $ 与 $ 1 $ 的和是非负数:$ x + 1 > 0 $
D.$ m $ 与 $ 4 $ 的差是负数:$ m - 4 < 0 $
D
)。A.$ a $ 不是负数:$ a > 0 $
B.$ x $ 不大于 $ 5 $:$ x > 5 $
C.$ x $ 与 $ 1 $ 的和是非负数:$ x + 1 > 0 $
D.$ m $ 与 $ 4 $ 的差是负数:$ m - 4 < 0 $
答案:
D
4. 若 $ (a + 1)x > a + 1 $ 的解集为 $ x < 1 $,则 $ a $ 的取值范围是(
A.$ a < 0 $
B.$ a > -1 $
C.$ a < -1 $
D.$ a \leq -1 $
C
)。A.$ a < 0 $
B.$ a > -1 $
C.$ a < -1 $
D.$ a \leq -1 $
答案:
C
5. 不等式组 $ \begin{cases} 2x - 4 < 0, \\ x + 1 \geq 0 \end{cases} $ 的解集在数轴上表示正确的是(

B
)。
答案:
B
6. 对于任意实数 $ p $,$ q $,定义一种运算:$ p@q = p - q + pq $。例如:$ 2@3 = 2 - 3 + 2 × 3 $。请根据上述定义解决问题:若关于 $ x $ 的不等式组 $ \begin{cases} 2@x < 4, \\ x@2 \geq m \end{cases} $ 有 $ 3 $ 个整数解,则 $ m $ 的取值范围为(
A.$ -8 \leq m < -5 $
B.$ -8 < m \leq -5 $
C.$ -8 \leq m \leq -5 $
D.$ -8 < m < -5 $
B
)。A.$ -8 \leq m < -5 $
B.$ -8 < m \leq -5 $
C.$ -8 \leq m \leq -5 $
D.$ -8 < m < -5 $
答案:
B
7. 已知不等式 $ -3x \leq -6 $,两边同时除以“$ -3 $”,得
x≥2
。
答案:
x≥2
8. 不等式 $ 6 - 3x \geq 0 $ 的自然数解是
0,1,2
。
答案:
0,1,2
9. 在直角坐标系中,点 $ P(m + 3, m - 1) $ 在第四象限,则 $ m $ 的取值范围是
-3<m<1
。
答案:
-3<m<1
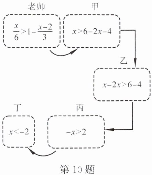
10. 甲、乙、丙、丁四名学生合作完成解一元一次不等式,规则如下:每人只能看到前一人给的式子,并进行一步计算,再将结果传递给下一个人,最后完成化简,过程如图所示:

在这个合作中,出现错误的是
在这个合作中,出现错误的是
甲和乙
。
答案:
甲和乙
查看更多完整答案,请扫码查看