第4页
- 第1页
- 第2页
- 第3页
- 第4页
- 第5页
- 第6页
- 第7页
- 第8页
- 第9页
- 第10页
- 第11页
- 第12页
- 第13页
- 第14页
- 第15页
- 第16页
- 第17页
- 第18页
- 第19页
- 第20页
- 第21页
- 第22页
- 第23页
- 第24页
- 第25页
- 第26页
- 第27页
- 第28页
- 第29页
- 第30页
- 第31页
- 第32页
- 第33页
- 第34页
- 第35页
- 第36页
- 第37页
- 第38页
- 第39页
- 第40页
- 第41页
- 第42页
- 第43页
- 第44页
- 第45页
- 第46页
- 第47页
- 第48页
- 第49页
- 第50页
- 第51页
- 第52页
- 第53页
- 第54页
- 第55页
- 第56页
- 第57页
- 第58页
- 第59页
- 第60页
- 第61页
- 第62页
1. 将二次函数 $ y=-x^{2}-4x+2 $ 化为 $ y=a(x+m)^{2}+k $ 的形式,则(
A.$ a=-1,m=-2,k=6 $
B.$ a=-1,m=2,k=6 $
C.$ a=1,m=-2,k=-6 $
D.$ a=-1,m=2,k=-6 $
B
)A.$ a=-1,m=-2,k=6 $
B.$ a=-1,m=2,k=6 $
C.$ a=1,m=-2,k=-6 $
D.$ a=-1,m=2,k=-6 $
答案:
1.B
2. 如果要得到 $ y=x^{2}-6x+7 $ 的图象,需将 $ y=x^{2} $ 的图象(
A.先向左平移 3 个单位,再向上平移 2 个单位
B.先向右平移 3 个单位,再向下平移 2 个单位
C.先向右平移 3 个单位,再向上平移 2 个单位
D.先向左平移 3 个单位,再向下平移 2 个单位
B
)A.先向左平移 3 个单位,再向上平移 2 个单位
B.先向右平移 3 个单位,再向下平移 2 个单位
C.先向右平移 3 个单位,再向上平移 2 个单位
D.先向左平移 3 个单位,再向下平移 2 个单位
答案:
2.B
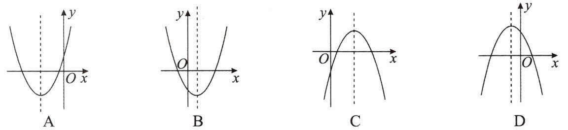
3. 已知二次函数 $ y=ax^{2}+bx-c(a≠0) $,其中 $ b>0,c>0 $,则该函数的图象可能为(

C
)
答案:
3.C
4. 二次函数 $ y=ax^{2}+bx+c $ 的 $ x $ 与 $ y $ 的部分对应值如下表:

则当 $ x=3 $ 时,$ y $ 的值是(
A.3
B.m
C.7
D.n
则当 $ x=3 $ 时,$ y $ 的值是(
A
)A.3
B.m
C.7
D.n
答案:
4.A
5. 抛物线 $ y=-2x^{2}-4x+3 $ 的开口
向下
,对称轴为直线$x=-1$
,顶点坐标为($-1,5$)
,顶点是抛物线上的最高
点.
答案:
5.向下 直线$x=-1$ ($-1,5$) 高
6. 求出抛物线的开口方向、对称轴、顶点坐标.
(1)$ y=x^{2}+2x-3 $(配方法).
(2)$ y=\frac{1}{2}x^{2}-x+3 $(公式法).
(1)$ y=x^{2}+2x-3 $(配方法).
(2)$ y=\frac{1}{2}x^{2}-x+3 $(公式法).
答案:
6.解:
(1)$y=x^{2}+2x - 3=(x + 1)^{2}-4$,$\therefore$抛物线开口向上,对称轴为直线$x=-1$,顶点坐标为$(-1,-4)$。
(2)$-\frac{b}{2a}=1$,$\frac{4ac - b^{2}}{4a}=\frac{5}{2}$,$\therefore$抛物线开口向上,对称轴为直线$x=1$,顶点坐标为$(1,\frac{5}{2})$。
(1)$y=x^{2}+2x - 3=(x + 1)^{2}-4$,$\therefore$抛物线开口向上,对称轴为直线$x=-1$,顶点坐标为$(-1,-4)$。
(2)$-\frac{b}{2a}=1$,$\frac{4ac - b^{2}}{4a}=\frac{5}{2}$,$\therefore$抛物线开口向上,对称轴为直线$x=1$,顶点坐标为$(1,\frac{5}{2})$。
查看更多完整答案,请扫码查看