2025年新课程示径学案作业设计九年级物理全一册苏科版
注:目前有些书本章节名称可能整理的还不是很完善,但都是按照顺序排列的,请同学们按照顺序仔细查找。练习册 2025年新课程示径学案作业设计九年级物理全一册苏科版 答案主要是用来给同学们做完题方便对答案用的,请勿直接抄袭。
第72页
- 第1页
- 第2页
- 第3页
- 第4页
- 第5页
- 第6页
- 第7页
- 第8页
- 第9页
- 第10页
- 第11页
- 第12页
- 第13页
- 第14页
- 第15页
- 第16页
- 第17页
- 第18页
- 第19页
- 第20页
- 第21页
- 第22页
- 第23页
- 第24页
- 第25页
- 第26页
- 第27页
- 第28页
- 第29页
- 第30页
- 第31页
- 第32页
- 第33页
- 第34页
- 第35页
- 第36页
- 第37页
- 第38页
- 第39页
- 第40页
- 第41页
- 第42页
- 第43页
- 第44页
- 第45页
- 第46页
- 第47页
- 第48页
- 第49页
- 第50页
- 第51页
- 第52页
- 第53页
- 第54页
- 第55页
- 第56页
- 第57页
- 第58页
- 第59页
- 第60页
- 第61页
- 第62页
- 第63页
- 第64页
- 第65页
- 第66页
- 第67页
- 第68页
- 第69页
- 第70页
- 第71页
- 第72页
- 第73页
- 第74页
- 第75页
- 第76页
- 第77页
- 第78页
- 第79页
- 第80页
- 第81页
- 第82页
- 第83页
- 第84页
- 第85页
- 第86页
- 第87页
- 第88页
- 第89页
- 第90页
- 第91页
- 第92页
- 第93页
- 第94页
- 第95页
- 第96页
- 第97页
- 第98页
- 第99页
- 第100页
- 第101页
- 第102页
- 第103页
- 第104页
- 第105页
- 第106页
- 第107页
- 第108页
- 第109页
- 第110页
- 第111页
- 第112页
例 2 A、B 两个用电器分别接入图甲电路中,经测量,用电器 A、B 的电流与电压关系如图乙所示,写出从图乙中可以获得的信息:
(1)用电器 A 的电阻是
(2)用电器 B 的电阻随电压的增大而
活动二 图像判别
(1)用电器 A 的电阻是
10
Ω.(2)用电器 B 的电阻随电压的增大而
增大
(选填“增大”“减小”或“不变”).活动二 图像判别
答案:
(1)10;
(2)增大
(1)10;
(2)增大
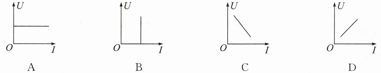
例 3 在如图所示的电路中,电源电压不变$,R_1$为定值电阻$,R_2$为滑动变阻器.闭合开关 S,移动滑片 P,多次记录电压表的示数 U 和对应电流表的示数 I,则下列绘出的 U - I 关系图像正确的是(


A
)
答案:
A
例 4 在如图所示的电路中,电源电压不变$,R_1$为热敏电阻,其阻值随温度的升高而减小,闭合开关 S,当监控区的温度升高时,电压表示数 U 与电流表示数 I 的关系图像是(


活动三 图像应用
C
)活动三 图像应用
答案:
C
例 5 如图甲所示,电源电压保持不变$,R_1 = 10Ω.$当闭合开关 S,滑动变阻器的滑片 P 从 A 端移到 B 端,两电表的示数变化关系用如图乙中线段 CD 所示.求:
(1)电源电压;
(2)滑片 P 滑到 AB 中点时电压表的示数.

(1)电源电压;
(2)滑片 P 滑到 AB 中点时电压表的示数.
答案:
(1)电源电压为$6V$;
(2)滑片P滑到AB中点时电压表的示数为$3V$。
(1)电源电压为$6V$;
(2)滑片P滑到AB中点时电压表的示数为$3V$。
查看更多完整答案,请扫码查看