第5页
- 第1页
- 第2页
- 第3页
- 第4页
- 第5页
- 第6页
- 第7页
- 第8页
- 第9页
- 第10页
- 第11页
- 第12页
- 第13页
- 第14页
- 第15页
- 第16页
- 第17页
- 第18页
- 第19页
- 第20页
- 第21页
- 第22页
- 第23页
- 第24页
- 第25页
- 第26页
- 第27页
- 第28页
- 第29页
- 第30页
- 第31页
- 第32页
- 第33页
- 第34页
- 第35页
- 第36页
- 第37页
- 第38页
- 第39页
- 第40页
- 第41页
- 第42页
- 第43页
- 第44页
- 第45页
- 第46页
- 第47页
- 第48页
- 第49页
- 第50页
- 第51页
- 第52页
- 第53页
- 第54页
- 第55页
- 第56页
- 第57页
- 第58页
- 第59页
- 第60页
- 第61页
- 第62页
- 第63页
- 第64页
- 第65页
- 第66页
- 第67页
- 第68页
- 第69页
- 第70页
- 第71页
- 第72页
- 第73页
- 第74页
- 第75页
- 第76页
- 第77页
- 第78页
- 第79页
- 第80页
- 第81页
- 第82页
- 第83页
- 第84页
- 第85页
8. “有理数运动会”已经拉开序幕,每位有理数运动员要通过自己专属的检录通道,才能参加运动项目. 请你作为志愿者带领以下有理数有秩序地进行检录(只填序号):
①$\dfrac{1}{2024}$,②$+0.007$,③$-\dfrac{2}{3}$,④ 0,⑤ 0.3,⑥ 10,⑦$-44$,⑧$+101$.

①$\dfrac{1}{2024}$,②$+0.007$,③$-\dfrac{2}{3}$,④ 0,⑤ 0.3,⑥ 10,⑦$-44$,⑧$+101$.
答案:
④⑥⑧;①②⑤;⑦;③
9. 在如图所示的$3×3$方格中,填入相应的数,使它符合下列语句的要求:
(1)5 的正上方是最小的正整数;
(2)5 的正下方是最大的一位数;
(3)5 的左边是一个比 5 小的奇数;
(4)各个方格中的数字各不相同;
(5)各行、各列、每条对角线的数之和都相等.

(1)5 的正上方是最小的正整数;
(2)5 的正下方是最大的一位数;
(3)5 的左边是一个比 5 小的奇数;
(4)各个方格中的数字各不相同;
(5)各行、各列、每条对角线的数之和都相等.
答案:
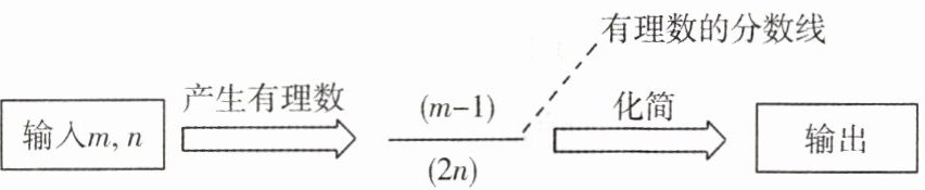
10. 数学陈老师设计了一个得到一类有理数的程序(如图所示),试根据该设计解答下面的问题:

(1)当输入$m = 2$,$n = 3$时,输出的结果为
当输入$m = 7$,$n = 4$时,输出的结果为
(2)当输入$m = 3\dfrac{1}{2}$时,输出的结果为$\dfrac{5}{6}$,则输入的$n$为
当输入$n = 12$时,输出的结果为$\dfrac{5}{6}$,则输入的$m$为
(3)若输出的结果为$\dfrac{2}{3}$时,输入的$m$,$n$为正整数,且满足$1\leqslant m\leqslant20$,$1\leqslant n\leqslant10$,求所有符合要求的数对$m$,$n$.
(1)当输入$m = 2$,$n = 3$时,输出的结果为
$\frac{1}{6}$
;当输入$m = 7$,$n = 4$时,输出的结果为
$\frac{3}{4}$
.(2)当输入$m = 3\dfrac{1}{2}$时,输出的结果为$\dfrac{5}{6}$,则输入的$n$为
$\frac{3}{2}$
;当输入$n = 12$时,输出的结果为$\dfrac{5}{6}$,则输入的$m$为
21
.(3)若输出的结果为$\dfrac{2}{3}$时,输入的$m$,$n$为正整数,且满足$1\leqslant m\leqslant20$,$1\leqslant n\leqslant10$,求所有符合要求的数对$m$,$n$.
(3)解:依题意得$\frac{m-1}{2n}=\frac{2}{3}$,所以2n必为6的倍数.又因为1≤m≤20,1≤n≤10,所以2≤2n≤20.所以2n=6或2n=12或2n=18,所以n=3或n=6或n=9.当n=3时,m=5;当n=6时,m=9;当n=9时,m=13.所以m,n共有3对值,分别为:m=13,n=9或m=9,n=6或m=5,n=3.
答案:
(1)$\frac{1}{6}$ $\frac{3}{4}$
(2)$\frac{3}{2}$ 21
(3)解:依题意得$\frac{m-1}{2n}=\frac{2}{3}$,所以2n必为6的倍数.又因为1≤m≤20,1≤n≤10,所以2≤2n≤20.所以2n=6或2n=12或2n=18,所以n=3或n=6或n=9.当n=3时,m=5;当n=6时,m=9;当n=9时,m=13.所以m,n共有3对值,分别为:m=13,n=9或m=9,n=6或m=5,n=3.
(1)$\frac{1}{6}$ $\frac{3}{4}$
(2)$\frac{3}{2}$ 21
(3)解:依题意得$\frac{m-1}{2n}=\frac{2}{3}$,所以2n必为6的倍数.又因为1≤m≤20,1≤n≤10,所以2≤2n≤20.所以2n=6或2n=12或2n=18,所以n=3或n=6或n=9.当n=3时,m=5;当n=6时,m=9;当n=9时,m=13.所以m,n共有3对值,分别为:m=13,n=9或m=9,n=6或m=5,n=3.
查看更多完整答案,请扫码查看