第41页
- 第1页
- 第2页
- 第3页
- 第4页
- 第5页
- 第6页
- 第7页
- 第8页
- 第9页
- 第10页
- 第11页
- 第12页
- 第13页
- 第14页
- 第15页
- 第16页
- 第17页
- 第18页
- 第19页
- 第20页
- 第21页
- 第22页
- 第23页
- 第24页
- 第25页
- 第26页
- 第27页
- 第28页
- 第29页
- 第30页
- 第31页
- 第32页
- 第33页
- 第34页
- 第35页
- 第36页
- 第37页
- 第38页
- 第39页
- 第40页
- 第41页
- 第42页
- 第43页
- 第44页
- 第45页
- 第46页
- 第47页
- 第48页
- 第49页
- 第50页
- 第51页
- 第52页
- 第53页
- 第54页
- 第55页
- 第56页
- 第57页
- 第58页
- 第59页
- 第60页
- 第61页
- 第62页
- 第63页
- 第64页
- 第65页
- 第66页
- 第67页
- 第68页
- 第69页
- 第70页
- 第71页
- 第72页
- 第73页
- 第74页
- 第75页
- 第76页
- 第77页
- 第78页
- 第79页
- 第80页
- 第81页
- 第82页
- 第83页
- 第84页
- 第85页
- 第86页
- 第87页
- 第88页
- 第89页
- 第90页
- 第91页
- 第92页
- 第93页
- 第94页
- 第95页
- 第96页
- 第97页
- 第98页
- 第99页
- 第100页
- 第101页
- 第102页
- 第103页
- 第104页
- 第105页
- 第106页
- 第107页
- 第108页
- 第109页
- 第110页
- 第111页
- 第112页
- 第113页
- 第114页
- 第115页
- 第116页
- 第117页
- 第118页
- 第119页
- 第120页
- 第121页
- 第122页
- 第123页
- 第124页
- 第125页
- 第126页
- 第127页
- 第128页
- 第129页
- 第130页
- 第131页
- 第132页
- 第133页
- 第134页
- 第135页
- 第136页
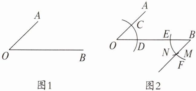
2. 数学课上,老师提出了如下问题:如图1,已知∠AOB,求作∠FBE,使得∠FBE = ∠AOB。

小明解答如图2所示。
老师说:“小明作法正确。”
请回答:
(1)小明作图是依据“
(2)他所画的痕迹弧MN是以点
小明解答如图2所示。
老师说:“小明作法正确。”
请回答:
(1)小明作图是依据“
SSS(或边边边)
”判定三角形全等;(2)他所画的痕迹弧MN是以点
E
为圆心,CD的长
为半径的弧。
答案:
(1)SSS(或边边边)
(2)E CD的长
(1)SSS(或边边边)
(2)E CD的长
3. 如图,已知∠1和∠2(∠1 > ∠2),求作∠3,使∠3 = ∠1 - ∠2(不写作法,但要保留作图痕迹,并标出所作的角)。

答案:
[解]
[解]
4. 如图,在小安的一张地图上,有A,B,C三个城市,地图上城市C被墨迹污染了,只知道∠BAC = ∠α,∠ABC = ∠β,请你用尺规帮他在图中确定城市C的具体位置。

答案:
[解]如图,点C为求作的点.
[解]如图,点C为求作的点.
5. 如图,已知一个三角形有两条边分别是a和b,一个内角为40°。按要求作图,并在所作图中标出已知角的度数和已知边的长度,不要求写作法,但要保留作图痕迹。

(1)用直尺和圆规作出一个满足条件的三角形。
(2)你是否还能作出一个既满足题目条件,又与(1)所画的三角形不全等的三角形?若能,请作出这样的三角形;若不能,请说明理由。
(1)用直尺和圆规作出一个满足条件的三角形。
(2)你是否还能作出一个既满足题目条件,又与(1)所画的三角形不全等的三角形?若能,请作出这样的三角形;若不能,请说明理由。
答案:
[解]
(1)如图,△ABC为所求作的三角形(答案不唯一).
(2)能.如图所示,△DEF即为所求(答案不唯一).
[解]
(1)如图,△ABC为所求作的三角形(答案不唯一).
(2)能.如图所示,△DEF即为所求(答案不唯一).
查看更多完整答案,请扫码查看