第50页
- 第1页
- 第2页
- 第3页
- 第4页
- 第5页
- 第6页
- 第7页
- 第8页
- 第9页
- 第10页
- 第11页
- 第12页
- 第13页
- 第14页
- 第15页
- 第16页
- 第17页
- 第18页
- 第19页
- 第20页
- 第21页
- 第22页
- 第23页
- 第24页
- 第25页
- 第26页
- 第27页
- 第28页
- 第29页
- 第30页
- 第31页
- 第32页
- 第33页
- 第34页
- 第35页
- 第36页
- 第37页
- 第38页
- 第39页
- 第40页
- 第41页
- 第42页
- 第43页
- 第44页
- 第45页
- 第46页
- 第47页
- 第48页
- 第49页
- 第50页
- 第51页
- 第52页
- 第53页
- 第54页
- 第55页
- 第56页
- 第57页
- 第58页
- 第59页
- 第60页
- 第61页
- 第62页
- 第63页
- 第64页
- 第65页
- 第66页
- 第67页
- 第68页
- 第69页
- 第70页
- 第71页
- 第72页
- 第73页
- 第74页
- 第75页
- 第76页
- 第77页
- 第78页
- 第79页
- 第80页
- 第81页
- 第82页
- 第83页
- 第84页
- 第85页
- 第86页
- 第87页
- 第88页
- 第89页
- 第90页
- 第91页
- 第92页
- 第93页
- 第94页
- 第95页
- 第96页
- 第97页
- 第98页
- 第99页
- 第100页
- 第101页
- 第102页
- 第103页
- 第104页
- 第105页
- 第106页
- 第107页
- 第108页
- 第109页
- 第110页
- 第111页
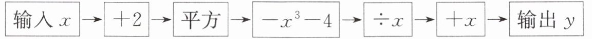
18. 按下列程序计算,把计算结果填写在对应的表格内:

(1) 填写表格:

(2) 根据计算结果的变化趋势估计输出值$y$的范围;
(3) 请将题中计算程序用代数式表达出来,并给予化简。
(1) 填写表格:
(2) 根据计算结果的变化趋势估计输出值$y$的范围;
(3) 请将题中计算程序用代数式表达出来,并给予化简。
(1)$-4$ 5 $\frac{11}{4}$ (2)$y\leqslant5$ (3)$[(x+2)^{2}-x^{3}-4]÷ x+x=-x^{2}+2x+4$
答案:
(1)$-4$ 5 $\frac{11}{4}$ (2)$y\leqslant5$ (3)$[(x+2)^{2}-x^{3}-4]÷ x+x=-x^{2}+2x+4$
1. 下列各等式中,从左到右属于因式分解变形的是【
A.$(y + 2)(y - 2) = y^{2} - 4$
B.$1 - 4a^{2} = (1 + 4a)(1 - 4a)$
C.$a^{2} - 3a + 2 = a(a - 3) + 2$
D.$a^{2}x - a = a(ax - 1)$
D
】A.$(y + 2)(y - 2) = y^{2} - 4$
B.$1 - 4a^{2} = (1 + 4a)(1 - 4a)$
C.$a^{2} - 3a + 2 = a(a - 3) + 2$
D.$a^{2}x - a = a(ax - 1)$
答案:
D
2. 下列多项式的因式分解中,正确的是【
A.$12xyz - 9x^{2}y^{2} = 3xyz(4 - 3xyz)$
B.$3a^{2}y - 3ay + 6y = 3y(a^{2} - a + 2)$
C.$-x^{2} + xy - xz = -x(x^{2} + y - z)$
D.$a^{2}b + 5ab - b = b(a^{2} + 5a)$
B
】A.$12xyz - 9x^{2}y^{2} = 3xyz(4 - 3xyz)$
B.$3a^{2}y - 3ay + 6y = 3y(a^{2} - a + 2)$
C.$-x^{2} + xy - xz = -x(x^{2} + y - z)$
D.$a^{2}b + 5ab - b = b(a^{2} + 5a)$
答案:
B
查看更多完整答案,请扫码查看