第83页
- 第1页
- 第2页
- 第3页
- 第4页
- 第5页
- 第6页
- 第7页
- 第8页
- 第9页
- 第10页
- 第11页
- 第12页
- 第13页
- 第14页
- 第15页
- 第16页
- 第17页
- 第18页
- 第19页
- 第20页
- 第21页
- 第22页
- 第23页
- 第24页
- 第25页
- 第26页
- 第27页
- 第28页
- 第29页
- 第30页
- 第31页
- 第32页
- 第33页
- 第34页
- 第35页
- 第36页
- 第37页
- 第38页
- 第39页
- 第40页
- 第41页
- 第42页
- 第43页
- 第44页
- 第45页
- 第46页
- 第47页
- 第48页
- 第49页
- 第50页
- 第51页
- 第52页
- 第53页
- 第54页
- 第55页
- 第56页
- 第57页
- 第58页
- 第59页
- 第60页
- 第61页
- 第62页
- 第63页
- 第64页
- 第65页
- 第66页
- 第67页
- 第68页
- 第69页
- 第70页
- 第71页
- 第72页
- 第73页
- 第74页
- 第75页
- 第76页
- 第77页
- 第78页
- 第79页
- 第80页
- 第81页
- 第82页
- 第83页
- 第84页
- 第85页
- 第86页
- 第87页
- 第88页
- 第89页
- 第90页
- 第91页
- 第92页
- 第93页
- 第94页
- 第95页
- 第96页
- 第97页
- 第98页
1. 以一个二元一次方程的解为坐标的点组成的图象与相应的一次函数的图象相同,是同一条
直线
。
答案:
直线
2. 从图形的角度看,确定两条直线交点的坐标,相当于求相应的二元一次方程组的
解
;解一个二元一次方程组相当于确定相应两条直线交点的坐标
。
答案:
解 坐标
(1)请在如图的平面直角坐标系中作出$y = 2x + 1$,$y = 3x$的图象;
(2)利用你所画的图象,直接写出方程组$\begin{cases}y = 2x + 1\\y = 3x\end{cases} $的解。

(2)利用你所画的图象,直接写出方程组$\begin{cases}y = 2x + 1\\y = 3x\end{cases} $的解。
答案:
解:
(1)函数$y = 2x + 1经过点(0,1)$,$(-\frac{1}{2},0)$;
函数$y = 3x经过点(0,0)$,$(1,3)$,图象如图所示。
(2)根据图象可得方程组的解为$\begin{cases}x = 1\\y = 3\end{cases} $。
解:
(1)函数$y = 2x + 1经过点(0,1)$,$(-\frac{1}{2},0)$;
函数$y = 3x经过点(0,0)$,$(1,3)$,图象如图所示。
(2)根据图象可得方程组的解为$\begin{cases}x = 1\\y = 3\end{cases} $。
知识点1 二元一次方程与一次函数的关系
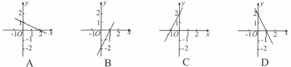
1. 下列图象中,以方程$y - 2x - 2 = 0$的解为坐标的点组成的图象是(

1. 下列图象中,以方程$y - 2x - 2 = 0$的解为坐标的点组成的图象是(
C
)
答案:
C
2. 直线$y = 2x + b与x轴的交点坐标是(2,0)$,则关于$x的方程2x + b = 0的解是x = $
2
。
答案:
2
3. (原创题)如图为一次函数$y = kx + b$的图象,结合图象回答下列问题:

(1)方程$kx + b = 0$的解是
(2)方程$kx + b = 2$的解是
(3)方程$kx + b = -2$的解是
(1)方程$kx + b = 0$的解是
x=1
;(2)方程$kx + b = 2$的解是
x=2
;(3)方程$kx + b = -2$的解是
x=0
。
答案:
(1)x=1
(2)x=2
(3)x=0
(1)x=1
(2)x=2
(3)x=0
知识点2 二元一次方程组与一次函数的关系
4. (梧州市中考)如图,在平面直角坐标系中,直线$y = 2x + b与直线y = -3x + 6相交于点A$,则关于$x$,$y的二元一次方程组\begin{cases}y = 2x + b\\y = -3x + 6\end{cases} $的解是(

A.$\begin{cases}x = 2\\y = 0\end{cases} $
B.$\begin{cases}x = 1\\y = 3\end{cases} $
C.$\begin{cases}x = -1\\y = 9\end{cases} $
D.$\begin{cases}x = 3\\y = 1\end{cases} $
4. (梧州市中考)如图,在平面直角坐标系中,直线$y = 2x + b与直线y = -3x + 6相交于点A$,则关于$x$,$y的二元一次方程组\begin{cases}y = 2x + b\\y = -3x + 6\end{cases} $的解是(
B
)A.$\begin{cases}x = 2\\y = 0\end{cases} $
B.$\begin{cases}x = 1\\y = 3\end{cases} $
C.$\begin{cases}x = -1\\y = 9\end{cases} $
D.$\begin{cases}x = 3\\y = 1\end{cases} $
答案:
B
5. 已知二元一次方程组$\begin{cases}x - y = -4\\x + 2y = 2\end{cases} 的解为\begin{cases}x = -2\\y = 2\end{cases} $,则在同一平面直角坐标系中,函数$y = x + 4与y = -\frac{1}{2}x + 1$的图象的交点坐标为
(-2,2)
。
答案:
(-2,2)
6. 已知一次函数$y = -\frac{1}{2}x + b的图象与y轴交于点A$,与$x轴交于点B$,与正比例函数$y = 2x的图象交于点C(1,a)$。
(1)求$a$,$b$的值;
(2)方程组$\begin{cases}2x - y = 0\frac{1}{2}x + y = b\end{cases} $的解为

(1)求$a$,$b$的值;
(2)方程组$\begin{cases}2x - y = 0\frac{1}{2}x + y = b\end{cases} $的解为
$\left\{\begin{array}{l}x=1,\\ y=2\end{array}\right.$
。(1)解:由题知,点C(1,a)在y=2x的图象上,所以a=1×2=2,所以点C的坐标为(1,2).因为点C(1,2)在$y=-\dfrac{1}{2}x+b$的图象上,所以$2=-\dfrac{1}{2}+b,$所以b=2.5.
答案:
(1)解:由题知,点C(1,a)在y=2x的图象上,所以a=1×2=2,所以点C的坐标为(1,2).因为点C(1,2)在y=-\dfrac{1}{2}x+b的图象上,所以2=-\dfrac{1}{2}+b,所以b=2.5.
(2)$\left\{\begin{array}{l}x=1,\\ y=2\end{array}\right.$
(1)解:由题知,点C(1,a)在y=2x的图象上,所以a=1×2=2,所以点C的坐标为(1,2).因为点C(1,2)在y=-\dfrac{1}{2}x+b的图象上,所以2=-\dfrac{1}{2}+b,所以b=2.5.
(2)$\left\{\begin{array}{l}x=1,\\ y=2\end{array}\right.$
查看更多完整答案,请扫码查看