第53页
- 第1页
- 第2页
- 第3页
- 第4页
- 第5页
- 第6页
- 第7页
- 第8页
- 第9页
- 第10页
- 第11页
- 第12页
- 第13页
- 第14页
- 第15页
- 第16页
- 第17页
- 第18页
- 第19页
- 第20页
- 第21页
- 第22页
- 第23页
- 第24页
- 第25页
- 第26页
- 第27页
- 第28页
- 第29页
- 第30页
- 第31页
- 第32页
- 第33页
- 第34页
- 第35页
- 第36页
- 第37页
- 第38页
- 第39页
- 第40页
- 第41页
- 第42页
- 第43页
- 第44页
- 第45页
- 第46页
- 第47页
- 第48页
- 第49页
- 第50页
- 第51页
- 第52页
- 第53页
- 第54页
- 第55页
- 第56页
- 第57页
- 第58页
- 第59页
- 第60页
- 第61页
- 第62页
- 第63页
- 第64页
- 第65页
- 第66页
- 第67页
- 第68页
- 第69页
- 第70页
- 第71页
- 第72页
- 第73页
- 第74页
- 第75页
- 第76页
- 第77页
- 第78页
- 第79页
- 第80页
- 第81页
- 第82页
- 第83页
- 第84页
- 第85页
- 第86页
- 第87页
- 第88页
- 第89页
- 第90页
- 第91页
- 第92页
- 第93页
- 第94页
- 第95页
- 第96页
- 第97页
- 第98页
1. 某校一名老师准备在假期带领学生去北京旅游,甲旅行社说:“如果老师买全票,其他人全部半价优惠.”乙旅行社说:“所有人按全票价的六折优惠.”已知全票价为2400元,设学生人数为x,甲旅行社的收费为$y_{甲}$元,乙旅行社的收费为$y_{乙}$元,则两家旅行社的收费关于学生人数x的函数关系式分别为:$y_{甲}=$
2400+1200x
,$y_{乙}=$1440x+1440
.
答案:
2400+1200x 1440x+1440
2. 某单位要制作一批宣传材料,甲公司提出:每份材料收费20元,另收3000的设计费;乙公司提出:每份材料收费30,不收设计费.若要制作x份宣传材料.
(1) 请用含x代数式分别表示甲乙两家公司制作宣传材料的费用;
(2) x取何值时,两家公司收费一样多?
(1) 请用含x代数式分别表示甲乙两家公司制作宣传材料的费用;
(2) x取何值时,两家公司收费一样多?
答案:
(1)解:设甲公司制作宣传材料的费用为$y_{甲}($元),乙公司制作宣传材料的费用为$y_{乙}($元),制作宣传材料的份数为x(份),依题意得$,y_{甲}=20x+3000;y_{乙}=30x. (2)$当$y_{甲}=y_{乙}$时,即20x+3000=30x,解得x=300;答:当x=300时,选择两公司收费一样多.
(1)解:设甲公司制作宣传材料的费用为$y_{甲}($元),乙公司制作宣传材料的费用为$y_{乙}($元),制作宣传材料的份数为x(份),依题意得$,y_{甲}=20x+3000;y_{乙}=30x. (2)$当$y_{甲}=y_{乙}$时,即20x+3000=30x,解得x=300;答:当x=300时,选择两公司收费一样多.
3. 电信公司宽带上网费用收取方式有两种,当每日上网时间$x\leqslant3$小时,费用y为2.4元;每日上网时间$x\geqslant3$小时,收费y执行统一标准,如每日上网时间x为5小时,费用y为5.4元,求出当每日上网时间$x\geqslant3$时,该函数的关系式为(
A.$y= -1.5x-2.1$
B.$y= 1.5x+2.1$
C.$y= 1.5x-2.1$
D.$y= -1.5x+2.1$
C
)A.$y= -1.5x-2.1$
B.$y= 1.5x+2.1$
C.$y= 1.5x-2.1$
D.$y= -1.5x+2.1$
答案:
C
4. “黄金1号”玉米种子的价格为5元/kg,如果一次购买2kg以上的种子,超过2kg部分的种子的价格打8折,若购买种子数量为xkg,付款金额为y元.当$0\leqslant x\leqslant2$时,y与x的函数关系式为
y=5x
;当$x>2$时y与x的函数关系式为y=4x+2
.
答案:
y=5x y=4x+2
5. 为了增强居民的节约用水意识,某市制定了新的水费标准:每户每月用水量不超过5吨的部分,自来水公司按每吨2元收费;超过5吨的部分,按每吨2.6元收费,设某用户月用水量x吨,自来水公司应收水费y元.
(1) 当$x>5$时,写出y(元)与x(吨)之间的函数关系式;
(2) 该用户今年5月份的用水量为8吨,则自来水公司应收水费多少元?
(1) 当$x>5$时,写出y(元)与x(吨)之间的函数关系式;
(2) 该用户今年5月份的用水量为8吨,则自来水公司应收水费多少元?
答案:
(1)解:当x>5时,y=10+2.6(x-5)=2.6x-3.
(2)
∵x=8>5,
∴y=2.6×8-3=17.8.
∴自来水公司应收水费为17.8元.
(1)解:当x>5时,y=10+2.6(x-5)=2.6x-3.
(2)
∵x=8>5,
∴y=2.6×8-3=17.8.
∴自来水公司应收水费为17.8元.
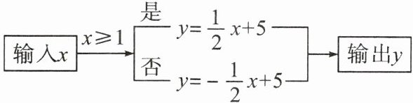
6. 根据如图所示的程序计算函数y的值,若输入x的值为$\frac{4}{3}$,则输出y的值为(

A.$\frac{17}{3}$
B.$\frac{13}{3}$
C.$\frac{10}{3}$
D.$\frac{5}{3}$
A
)A.$\frac{17}{3}$
B.$\frac{13}{3}$
C.$\frac{10}{3}$
D.$\frac{5}{3}$
答案:
A
7. 《人民日报》点赞湖北宜昌“智慧停车平台”.作为“全国智慧城市”试点,我市通过“互联网”、“大数据”等新科技,打造“智慧停车平台”,着力化解城市“停车难”问题.市内某智慧公共停车场的收费标准是:停车不超过30分钟,不收费;超过30分钟,不超过60分钟,计1小时,收费3元;超过1小时后,超过1小时的部分按每小时2元收费(不足1小时,按1小时计).
(1) 填空:若市民张先生某次在该停车场停车2小时10分钟,应交停车费
(2) 当x取整数且$x\geqslant1$时,求该停车场停车费y(单位:元)关于停车计时x(单位:小时)的函数关系式.
(1) 填空:若市民张先生某次在该停车场停车2小时10分钟,应交停车费
7
元.若李先生也在该停车场停车,支付停车费11元,则停车场按5
小时(填整数)计时收费.(2) 当x取整数且$x\geqslant1$时,求该停车场停车费y(单位:元)关于停车计时x(单位:小时)的函数关系式.
解:当x取整数且x≥1时,该停车场停车费y(单位:元)关于停车计时x(单位:小时)的函数关系式为y=3+2(x-1),即y=2x+1.
答案:
(1)7 5
(2)解:当x取整数且x≥1时,该停车场停车费y(单位:元)关于停车计时x(单位:小时)的函数关系式为y=3+2(x-1),即y=2x+1.
(1)7 5
(2)解:当x取整数且x≥1时,该停车场停车费y(单位:元)关于停车计时x(单位:小时)的函数关系式为y=3+2(x-1),即y=2x+1.
查看更多完整答案,请扫码查看