第6页
- 第2页
- 第3页
- 第4页
- 第5页
- 第6页
- 第7页
- 第8页
- 第9页
- 第10页
- 第11页
- 第12页
- 第13页
- 第14页
- 第15页
- 第16页
- 第17页
- 第18页
- 第19页
- 第20页
- 第21页
- 第22页
- 第23页
- 第24页
- 第25页
- 第26页
- 第27页
- 第28页
- 第29页
- 第30页
- 第31页
- 第32页
- 第33页
- 第34页
- 第35页
- 第36页
- 第37页
- 第38页
- 第39页
- 第40页
- 第41页
- 第42页
- 第43页
- 第44页
- 第45页
- 第46页
- 第47页
- 第48页
- 第49页
- 第50页
- 第51页
- 第52页
- 第53页
- 第54页
- 第55页
- 第56页
- 第57页
- 第58页
- 第59页
- 第60页
- 第61页
- 第62页
- 第63页
- 第64页
- 第65页
- 第66页
- 第67页
- 第68页
- 第69页
- 第70页
- 第71页
- 第72页
- 第73页
- 第74页
- 第75页
- 第76页
- 第77页
- 第78页
- 第79页
- 第80页
- 第81页
- 第82页
- 第83页
- 第84页
- 第85页
- 第86页
- 第87页
- 第88页
- 第89页
- 第90页
- 第91页
- 第92页
- 第93页
- 第94页
- 第95页
- 第96页
- 第97页
- 第98页
- 第99页
- 第100页
- 第101页
- 第102页
- 第103页
- 第104页
- 第105页
- 第106页
1. (教材P9练习T1变式)填空:
(1) $ x^{2}+4x+$
(2) $ x^{2}-12x+$
(3) $ x^{2}+3x+\frac{9}{4}=(x+$
(4) $ x^{2}-\frac{2}{5}x+$
(1) $ x^{2}+4x+$
4
$ =(x+$2
$ )^{2} $.(2) $ x^{2}-12x+$
36
$ =(x-$6
$ )^{2} $.(3) $ x^{2}+3x+\frac{9}{4}=(x+$
$\frac{3}{2}$
$ )^{2} $.(4) $ x^{2}-\frac{2}{5}x+$
$\frac{1}{25}$
$ =(x-$$\frac{1}{5}$
$ )^{2} $.
答案:
1.
(1)4 2
(2)36 6
(3)$\frac{3}{2}$
(4)$\frac{1}{25}$ $\frac{1}{5}$
(1)4 2
(2)36 6
(3)$\frac{3}{2}$
(4)$\frac{1}{25}$ $\frac{1}{5}$
2. 将多项式$ x^{2}-4x-5 $配方成$ (x-h)^{2}+k $的形式为
$(x-2)^2-9$
.
答案:
2.$(x-2)^2-9$
3. (2024·南昌期中)用配方法解方程$ x^{2}-4x=6 $时,应该把方程两边同时(
A.加2
B.减2
C.加4
D.减4
C
)A.加2
B.减2
C.加4
D.减4
答案:
3.C
4. 一元二次方程$ x^{2}-8x-2=0 $配方后可变形为(
A.$ (x-4)^{2}=18 $
B.$ (x-4)^{2}=14 $
C.$ (x-8)^{2}=64 $
D.$ (x-4)^{2}=1 $
A
)A.$ (x-4)^{2}=18 $
B.$ (x-4)^{2}=14 $
C.$ (x-8)^{2}=64 $
D.$ (x-4)^{2}=1 $
答案:
4.A
5. 若一元二次方程$ x^{2}+px+q=0 $配方后的结果为$ (x-2)^{2}=1 $,则(
A.$ p=4,q=3 $
B.$ p=0,q=-5 $
C.$ p=-4,q=3 $
D.$ p=-4,q=4 $
C
)A.$ p=4,q=3 $
B.$ p=0,q=-5 $
C.$ p=-4,q=3 $
D.$ p=-4,q=4 $
答案:
5.C
6. 用配方法解方程:
(1) $ x^{2}-2x-1=0 $.
(2) $ x^{2}+6x-1=0 $.
(1) $ x^{2}-2x-1=0 $.
(2) $ x^{2}+6x-1=0 $.
答案:
6.解:
(1)$x^2-2x=1$,$x^2-2x+1=2$,即$(x-1)^2=2$.$\therefore x-1=\pm \sqrt{2}$.$\therefore x_1=1+\sqrt{2}$,$x_2=1-\sqrt{2}$.
(2)$x^2+6x=1$,$x^2+6x+9=10$,即$(x+3)^2=10$.$\therefore x+3=\pm \sqrt{10}$.$\therefore x_1=-3+\sqrt{10}$,$x_2=-3-\sqrt{10}$.
(1)$x^2-2x=1$,$x^2-2x+1=2$,即$(x-1)^2=2$.$\therefore x-1=\pm \sqrt{2}$.$\therefore x_1=1+\sqrt{2}$,$x_2=1-\sqrt{2}$.
(2)$x^2+6x=1$,$x^2+6x+9=10$,即$(x+3)^2=10$.$\therefore x+3=\pm \sqrt{10}$.$\therefore x_1=-3+\sqrt{10}$,$x_2=-3-\sqrt{10}$.
7. 用配方法解一元二次方程$ 3x^{2}-12x-1=0 $,配方正确的是(
A.$ 3(x-2)^{2}=5 $
B.$ (3x-2)^{2}=13 $
C.$ (x-2)^{2}=5 $
D.$ (x-2)^{2}=\frac{13}{3} $
D
)A.$ 3(x-2)^{2}=5 $
B.$ (3x-2)^{2}=13 $
C.$ (x-2)^{2}=5 $
D.$ (x-2)^{2}=\frac{13}{3} $
答案:
7.D
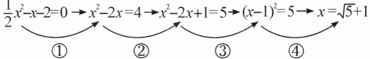
8. 下列用配方法解方程$ \frac{1}{2}x^{2}-x-2=0 $的四个步骤中,出现错误的是(
$\frac{1}{2}x^{2}-x-2=0\xrightarrow{①}x^{2}-2x=4\xrightarrow{②}x^{2}-2x+1=5\xrightarrow{③}(x-1)^{2}=5\xrightarrow{④}x=\sqrt{5}+1$

A.①
B.②
C.③
D.④
D
)$\frac{1}{2}x^{2}-x-2=0\xrightarrow{①}x^{2}-2x=4\xrightarrow{②}x^{2}-2x+1=5\xrightarrow{③}(x-1)^{2}=5\xrightarrow{④}x=\sqrt{5}+1$
A.①
B.②
C.③
D.④
答案:
8.D
9. 用配方法解方程:
(1) $ 2x^{2}-4x=-1 $.
(2) $ 4x^{2}+4x-3=0 $.
(1) $ 2x^{2}-4x=-1 $.
(2) $ 4x^{2}+4x-3=0 $.
答案:
9.解:
(1)$x^2-2x=-\frac{1}{2}$,$x^2-2x+1=-\frac{1}{2}+1$,即$(x-1)^2=\frac{1}{2}$.$\therefore x-1=\pm \frac{\sqrt{2}}{2}$.$\therefore x_1=1+\frac{\sqrt{2}}{2}$,$x_2=1-\frac{\sqrt{2}}{2}$.
(2)$x^2+x=\frac{3}{4}$,$x^2+x+\left(\frac{1}{2}\right)^2=\frac{3}{4}+\left(\frac{1}{2}\right)^2$,即$\left(x+\frac{1}{2}\right)^2=1$.$\therefore x+\frac{1}{2}=\pm 1$.$\therefore x_1=\frac{1}{2}$,$x_2=-\frac{3}{2}$.
(1)$x^2-2x=-\frac{1}{2}$,$x^2-2x+1=-\frac{1}{2}+1$,即$(x-1)^2=\frac{1}{2}$.$\therefore x-1=\pm \frac{\sqrt{2}}{2}$.$\therefore x_1=1+\frac{\sqrt{2}}{2}$,$x_2=1-\frac{\sqrt{2}}{2}$.
(2)$x^2+x=\frac{3}{4}$,$x^2+x+\left(\frac{1}{2}\right)^2=\frac{3}{4}+\left(\frac{1}{2}\right)^2$,即$\left(x+\frac{1}{2}\right)^2=1$.$\therefore x+\frac{1}{2}=\pm 1$.$\therefore x_1=\frac{1}{2}$,$x_2=-\frac{3}{2}$.
10. 阅读下列解答过程,在横线上填入恰当的内容.
解方程:$ 2x^{2}+8x-18=0 $.
解:移项,得$ 2x^{2}+8x=18 $.①
两边同时除以2,得$ x^{2}+4x=9 $.②
配方,得$ x^{2}+4x+4=9 $,③
即$ (x+2)^{2}=9 $.
$\therefore x+2=\pm3$.④
$\therefore x_{1}=-5,x_{2}=1$.⑤
上述过程中有没有错误?若有,错在步骤(填序号),原因是.
请写出正确的解答过程.
解方程:$ 2x^{2}+8x-18=0 $.
解:移项,得$ 2x^{2}+8x=18 $.①
两边同时除以2,得$ x^{2}+4x=9 $.②
配方,得$ x^{2}+4x+4=9 $,③
即$ (x+2)^{2}=9 $.
$\therefore x+2=\pm3$.④
$\therefore x_{1}=-5,x_{2}=1$.⑤
上述过程中有没有错误?若有,错在步骤(填序号),原因是.
请写出正确的解答过程.
答案:
10.解:③ 配方时,只在方程的左边加上一次项系数一半的平方,而在右边忘记加 移项,得$2x^2+8x=18$.两边同时除以2,得$x^2+4x=9$.配方,得$x^2+4x+4=9+4$,即$(x+2)^2=13$.$\therefore x+2=\pm \sqrt{13}$.$\therefore x_1=-2+\sqrt{13}$,$x_2=-2-\sqrt{13}$.
查看更多完整答案,请扫码查看