2025年时习之暑假衔接八年级数学人教版
注:目前有些书本章节名称可能整理的还不是很完善,但都是按照顺序排列的,请同学们按照顺序仔细查找。练习册 2025年时习之暑假衔接八年级数学人教版 答案主要是用来给同学们做完题方便对答案用的,请勿直接抄袭。
1. 方程$(x - 1)(x + 2) = 0$的两根分别为 ( )
A.$x_1 = -1$,$x_2 = 2$
B.$x_1 = 1$,$x_2 = 2$
C.$x_1 = -1$,$x_2 = -2$
D.$x_1 = 1$,$x_2 = -2$
A.$x_1 = -1$,$x_2 = 2$
B.$x_1 = 1$,$x_2 = 2$
C.$x_1 = -1$,$x_2 = -2$
D.$x_1 = 1$,$x_2 = -2$
答案:
D
2. 一元二次方程$x^2 + 3x = 0$的解是 ( )
A.$x = -3$
B.$x_1 = 0$,$x_2 = 3$
C.$x_1 = 0$,$x_2 = -3$
D.$x = 3$
A.$x = -3$
B.$x_1 = 0$,$x_2 = 3$
C.$x_1 = 0$,$x_2 = -3$
D.$x = 3$
答案:
C
3. 方程$x(x + 1) = x + 1$的解是 ( )
A.1
B.0
C.-1或0
D.1或-1
A.1
B.0
C.-1或0
D.1或-1
答案:
D
4. 一元二次方程$3x^2 - 2x = 0$的解是______。
答案:
x₁=0,x₂=2/3
5. 已知关于$x的方程3(x - 1)(x - m) = 0$的两个根是1和2,则$m$的值是______。
答案:
2
6. 若$(x^2 + y^2 + 2)(x^2 + y^2 - 3) = 0$,则$x^2 + y^2 = $______。
答案:
3
7. 用适当的方法解下列方程:
(1)$x^2 - 3\sqrt{2}x = 0$;
(2)$4x^2 + 8x = -4$;
(3)$9x^2 - 144 = 0$;
(4)$(2x + 3)^2 - 2x - 3 = 0$。
(1)$x^2 - 3\sqrt{2}x = 0$;
(2)$4x^2 + 8x = -4$;
(3)$9x^2 - 144 = 0$;
(4)$(2x + 3)^2 - 2x - 3 = 0$。
答案:
解:
(1)因式分解,得x(x-3√2)=0,解得x₁=0,x₂=3√2.
(2)移项,得4x²+8x+4=0,
∴4(x+1)²=0.
∴x₁=x₂=-1.
(3)原方程可化为9(x²-16)=0,
∴9(x+4)(x-4)=0.
∴x+4=0或x-4=0.
∴x₁=-4,x₂=4.
(4)原方程可化为(2x+3)²-(2x+3)=0.分解因式,得(2x+3)(2x+3-1)=0,
∴2(2x+3)(x+1)=0.解得x₁=-3/2,x₂=-1.
(1)因式分解,得x(x-3√2)=0,解得x₁=0,x₂=3√2.
(2)移项,得4x²+8x+4=0,
∴4(x+1)²=0.
∴x₁=x₂=-1.
(3)原方程可化为9(x²-16)=0,
∴9(x+4)(x-4)=0.
∴x+4=0或x-4=0.
∴x₁=-4,x₂=4.
(4)原方程可化为(2x+3)²-(2x+3)=0.分解因式,得(2x+3)(2x+3-1)=0,
∴2(2x+3)(x+1)=0.解得x₁=-3/2,x₂=-1.
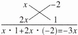
8. 将代数式$2x^2 - 3x - 2$因式分解,可以按下列步骤进行:
①竖分二次项与常数项(如图):$2x^2 = x\cdot 2x$,$-2 = (-2)× 1$;

②交叉相乘,检验中项(交叉相乘后的结果相加,其结果等于一次项):$x\cdot 1 + 2x\cdot (-2) = -3x$;
③横向写出两因式:$2x^2 - 3x - 2 = (x - 2)(2x + 1)$。
我们把这种用十字交叉相乘分解因式的方法叫作十字相乘法。
请利用上述方法解方程:$x^2 - x - 6 = 0$。
①竖分二次项与常数项(如图):$2x^2 = x\cdot 2x$,$-2 = (-2)× 1$;
②交叉相乘,检验中项(交叉相乘后的结果相加,其结果等于一次项):$x\cdot 1 + 2x\cdot (-2) = -3x$;
③横向写出两因式:$2x^2 - 3x - 2 = (x - 2)(2x + 1)$。
我们把这种用十字交叉相乘分解因式的方法叫作十字相乘法。
请利用上述方法解方程:$x^2 - x - 6 = 0$。
答案:
解:由题知x²=x·x,-6=2×(-3),则x²-x-6=(x+2)(x-3).
∴原方程可化为(x+2)(x-3)=0.解得x₁=-2,x₂=3.
∴原方程可化为(x+2)(x-3)=0.解得x₁=-2,x₂=3.
查看更多完整答案,请扫码查看