2025年时习之暑假衔接八年级数学人教版
注:目前有些书本章节名称可能整理的还不是很完善,但都是按照顺序排列的,请同学们按照顺序仔细查找。练习册 2025年时习之暑假衔接八年级数学人教版 答案主要是用来给同学们做完题方便对答案用的,请勿直接抄袭。
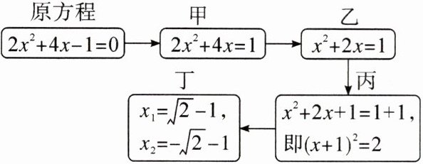
3.某数学兴趣小组四人以接龙的方式用配方法解一元二次方程,每人负责完成一个步骤.如图所示,老师看后,发现有一位同学所负责的步骤是错误的,则这位同学是( )

A.甲
B.乙
C.丙
D.丁
A.甲
B.乙
C.丙
D.丁
答案:
B
4.用适当的数或代数式填空:
(1)$x^{2}-6x+$______$=(x-$______$)^{2}$;
(2)$x^{2}+\frac{4}{3}x+\frac{4}{9}= (x+$______$)^{2}$.
(1)$x^{2}-6x+$______$=(x-$______$)^{2}$;
(2)$x^{2}+\frac{4}{3}x+\frac{4}{9}= (x+$______$)^{2}$.
答案:
(1)9 3
(2)2/3
(1)9 3
(2)2/3
5.将一元二次方程$x^{2}-6x+m= 0化成(x-n)^{2}= 4$的形式,则$m-n= $______.
答案:
2
6.用配方法解下列一元二次方程:
(1)$x^{2}-2x= 5$;
(2)$2x^{2}-8x+3= 0$.
(1)$x^{2}-2x= 5$;
(2)$2x^{2}-8x+3= 0$.
答案:
(1)x₁=1+√6,x₂=1-√6.
(2)x₁=2+√10/2,x₂=2-√10/2.
(1)x₁=1+√6,x₂=1-√6.
(2)x₁=2+√10/2,x₂=2-√10/2.
7.阅读材料,回答下列问题:
利用我们学过的完全平方公式及不等式知识能解决代数式最小值、最大值问题.
[初步思考]观察下列式子:
$x^{2}+4x+2= (x^{2}+4x+4-4)+2= (x+2)^{2}-4+2= (x+2)^{2}-2$.
$\because (x+2)^{2}\geqslant 0$,
$\therefore x^{2}+4x+2= (x+2)^{2}-2\geqslant -2$.
$\therefore代数式x^{2}+4x+2的最小值为-2$.
[尝试应用]
(1)求$m^{2}+2m+4$的最小值;
[拓展提高]
(2)求$4-x^{2}+2x$的最大值.
利用我们学过的完全平方公式及不等式知识能解决代数式最小值、最大值问题.
[初步思考]观察下列式子:
$x^{2}+4x+2= (x^{2}+4x+4-4)+2= (x+2)^{2}-4+2= (x+2)^{2}-2$.
$\because (x+2)^{2}\geqslant 0$,
$\therefore x^{2}+4x+2= (x+2)^{2}-2\geqslant -2$.
$\therefore代数式x^{2}+4x+2的最小值为-2$.
[尝试应用]
(1)求$m^{2}+2m+4$的最小值;
[拓展提高]
(2)求$4-x^{2}+2x$的最大值.
答案:
(1)m²+2m+4=(m²+2m+1)+3=(m+1)²+3.
∵(m+1)²≥0,
∴(m+1)²+3≥3.
∴m²+2m+4的最小值为3.
(2)4-x²+2x=-(x²-2x+1)+5=-(x-1)²+5.
∵-(x-1)²≤0,
∴-(x-1)²+5≤5.
∴4-x²+2x的最大值为5.
(1)m²+2m+4=(m²+2m+1)+3=(m+1)²+3.
∵(m+1)²≥0,
∴(m+1)²+3≥3.
∴m²+2m+4的最小值为3.
(2)4-x²+2x=-(x²-2x+1)+5=-(x-1)²+5.
∵-(x-1)²≤0,
∴-(x-1)²+5≤5.
∴4-x²+2x的最大值为5.
查看更多完整答案,请扫码查看