2025年时习之暑假衔接八年级数学人教版
注:目前有些书本章节名称可能整理的还不是很完善,但都是按照顺序排列的,请同学们按照顺序仔细查找。练习册 2025年时习之暑假衔接八年级数学人教版 答案主要是用来给同学们做完题方便对答案用的,请勿直接抄袭。
1. 已知一次函数$y = ax + 2的图象与x轴的交点坐标为(3,0)$,则一元一次方程$ax + 2 = 0$的解为( )
A.$x = 3$
B.$x = 0$
C.$x = 2$
D.$x = a$
A.$x = 3$
B.$x = 0$
C.$x = 2$
D.$x = a$
答案:
A
2. 如图,以两条直线$l_1$,$l_2$的交点坐标为解的方程组是( )

A.$\begin{cases}x - y = 1,\\2x - y = 1\end{cases} $
B.$\begin{cases}x - y = -1,\\2x - y = -1\end{cases} $
C.$\begin{cases}x - y = -1,\\2x - y = 1\end{cases} $
D.$\begin{cases}x - y = 1,\\2x - y = -1\end{cases} $
A.$\begin{cases}x - y = 1,\\2x - y = 1\end{cases} $
B.$\begin{cases}x - y = -1,\\2x - y = -1\end{cases} $
C.$\begin{cases}x - y = -1,\\2x - y = 1\end{cases} $
D.$\begin{cases}x - y = 1,\\2x - y = -1\end{cases} $
答案:
C
3. 函数$y = 2x与y = x + 1$的图象的交点坐标为______。
答案:
(1,2)
4. 已知一次函数$y = ax + b$的图象如图所示,则方程$ax + b = 1的解是x = $______。

答案:
4
5. 如图,一次函数$y = kx + b与y = x + 2的图象相交于点P(m,4)$,则方程组$\begin{cases}y = x + 2,\\y = kx + b\end{cases} $的解是______。

答案:
{x=2,y=4}
6. 直线$y = ax - 1经过点(4,3)$,交$y轴于点A$。直线$y = -0.5x + b交y轴于点B(0,1)$,且与直线$y = ax - 1相交于点C$。求$\triangle ABC$的面积。
答案:
解:
∵直线y=ax−1经过点(4,3),
∴4a−1=3,解得a=1.
∴此直线解析式为y=x−1,点A的坐标为(0,−1).
∵直线y=−0.5x+b交y轴于点B(0,1),
∴b=1.
∴此直线解析式为y=−0.5x+1.解方程组{y=x−1,y=−0.5x+1}得{x=4/3,y=1/3}.
∴点C的坐标为(4/3,1/3).
∴△ABC的面积是1/2×(|1|+|−1|)×|4/3|=4/3.
∵直线y=ax−1经过点(4,3),
∴4a−1=3,解得a=1.
∴此直线解析式为y=x−1,点A的坐标为(0,−1).
∵直线y=−0.5x+b交y轴于点B(0,1),
∴b=1.
∴此直线解析式为y=−0.5x+1.解方程组{y=x−1,y=−0.5x+1}得{x=4/3,y=1/3}.
∴点C的坐标为(4/3,1/3).
∴△ABC的面积是1/2×(|1|+|−1|)×|4/3|=4/3.
7. 函数$y = kx + b$($k$,$b$为常数,$k \neq 0$)的图象如图所示,则关于$x的不等式kx + b > 0$的解集是( )

A.$x > 0$
B.$x < 0$
C.$x < 2$
D.$x > 2$
A.$x > 0$
B.$x < 0$
C.$x < 2$
D.$x > 2$
答案:
C
8. 一次函数$y = kx + b$的图象如图所示,则不等式$kx + b \leq 4$的解集是( )

A.$x \geq 2$
B.$x \leq 2$
C.$x \geq 4$
D.$x \geq 0$
A.$x \geq 2$
B.$x \leq 2$
C.$x \geq 4$
D.$x \geq 0$
答案:
D
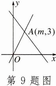
9. 如图,函数$y = 2x和y = ax + 5的图象交于点A(m,3)$,则不等式$2x < ax + 5$的解集是______。

答案:
x<3/2
查看更多完整答案,请扫码查看