2025年暑假作业新疆青少年出版社八年级数学人教版
注:目前有些书本章节名称可能整理的还不是很完善,但都是按照顺序排列的,请同学们按照顺序仔细查找。练习册 2025年暑假作业新疆青少年出版社八年级数学人教版 答案主要是用来给同学们做完题方便对答案用的,请勿直接抄袭。
第67页
- 第1页
- 第2页
- 第3页
- 第4页
- 第5页
- 第6页
- 第7页
- 第8页
- 第9页
- 第10页
- 第11页
- 第12页
- 第13页
- 第14页
- 第15页
- 第16页
- 第17页
- 第18页
- 第19页
- 第20页
- 第21页
- 第22页
- 第23页
- 第24页
- 第25页
- 第26页
- 第27页
- 第28页
- 第29页
- 第30页
- 第31页
- 第32页
- 第33页
- 第34页
- 第35页
- 第36页
- 第37页
- 第38页
- 第39页
- 第40页
- 第41页
- 第42页
- 第43页
- 第44页
- 第45页
- 第46页
- 第47页
- 第48页
- 第49页
- 第50页
- 第51页
- 第52页
- 第53页
- 第54页
- 第55页
- 第56页
- 第57页
- 第58页
- 第59页
- 第60页
- 第61页
- 第62页
- 第63页
- 第64页
- 第65页
- 第66页
- 第67页
- 第68页
8.如图,直线$l:y = -\frac{1}{2}x + 2与x$轴、$y轴分别交于A,B$两点,在$y轴上有一点C(0,4)$,动点$M从A点以每秒1个单位的速度沿x$轴向左移动.
(1)求$A,B$两点的坐标;
(2)求$\triangle COM的面积S与点M的移动时间t$之间的函数解析式.

(1)求$A,B$两点的坐标;
(2)求$\triangle COM的面积S与点M的移动时间t$之间的函数解析式.
答案:
(1)A,B两点的坐标分别为A(4,0),B(0,2)
(2)
∵C(0,4),A(4,0),
∴OC = OA = 4。当0≤t≤4时,OM = OA - AM = 4 - t,S△COM = $\frac{1}{2}$×4×(4 - t) = 8 - 2t;当t>4时,OM = AM - OA = t - 4,S△COM = $\frac{1}{2}$×4×(t - 4) = 2t - 8。
(1)A,B两点的坐标分别为A(4,0),B(0,2)
(2)
∵C(0,4),A(4,0),
∴OC = OA = 4。当0≤t≤4时,OM = OA - AM = 4 - t,S△COM = $\frac{1}{2}$×4×(4 - t) = 8 - 2t;当t>4时,OM = AM - OA = t - 4,S△COM = $\frac{1}{2}$×4×(t - 4) = 2t - 8。
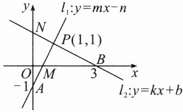
9.如图,请根据图象所提供的信息解答下列问题:
(1)交点$P的坐标(1,1)$是二元一次方程组______的解;
(2)不等式$kx + b < 0$的解集是______;
(3)当$x$______时,$kx + b \geq mx - n$;
(4)若直线$l_{1}分别交x$轴、$y轴于点M,A$,直线$l_{2}分别交x$轴,$y轴于点B,N$,求点$M的坐标和四边形OMPN$的面积.

(1)交点$P的坐标(1,1)$是二元一次方程组______的解;
(2)不等式$kx + b < 0$的解集是______;
(3)当$x$______时,$kx + b \geq mx - n$;
(4)若直线$l_{1}分别交x$轴、$y轴于点M,A$,直线$l_{2}分别交x$轴,$y轴于点B,N$,求点$M的坐标和四边形OMPN$的面积.
答案:
(1)$\begin{cases}y = 2x - 1 \\ y = - \frac{1}{2}x + \frac{3}{2} \end{cases}$
(2)x>3
(3)≤1
(4)当y = 0时,2x - 1 = 0,解得x = $\frac{1}{2}$,则M点的坐标为($\frac{1}{2}$,0);当x = 0时,y = - $\frac{1}{2}$×0 + $\frac{3}{2}$ = $\frac{3}{2}$,则N点坐标为(0,$\frac{3}{2}$),所以S四边形OMPN = S△ONB - S△PMB = $\frac{1}{2}$×3×$\frac{3}{2}$ - $\frac{1}{2}$×(3 - $\frac{1}{2}$)×1 = 1。
(1)$\begin{cases}y = 2x - 1 \\ y = - \frac{1}{2}x + \frac{3}{2} \end{cases}$
(2)x>3
(3)≤1
(4)当y = 0时,2x - 1 = 0,解得x = $\frac{1}{2}$,则M点的坐标为($\frac{1}{2}$,0);当x = 0时,y = - $\frac{1}{2}$×0 + $\frac{3}{2}$ = $\frac{3}{2}$,则N点坐标为(0,$\frac{3}{2}$),所以S四边形OMPN = S△ONB - S△PMB = $\frac{1}{2}$×3×$\frac{3}{2}$ - $\frac{1}{2}$×(3 - $\frac{1}{2}$)×1 = 1。
10.在平面直角坐标系中,点$A_{1},A_{2},A_{3},A_{4}…在x$轴的正半轴上,点$B_{1},B_{2},B_{3}…在直线y = \frac{\sqrt{3}}{3}x(x \geq 0)$上,若点$A_{1}的坐标为(2,0)$,且$\triangle A_{1}B_{1}A_{2},\triangle A_{2}B_{2}A_{3},\triangle A_{3}B_{3}A_{4}…$均为等边三角形,则点$B_{2025}$的纵坐标为______.

答案:
$\sqrt{3}$×22024
查看更多完整答案,请扫码查看