2025年暑假作业新疆青少年出版社八年级数学人教版
注:目前有些书本章节名称可能整理的还不是很完善,但都是按照顺序排列的,请同学们按照顺序仔细查找。练习册 2025年暑假作业新疆青少年出版社八年级数学人教版 答案主要是用来给同学们做完题方便对答案用的,请勿直接抄袭。
第66页
- 第1页
- 第2页
- 第3页
- 第4页
- 第5页
- 第6页
- 第7页
- 第8页
- 第9页
- 第10页
- 第11页
- 第12页
- 第13页
- 第14页
- 第15页
- 第16页
- 第17页
- 第18页
- 第19页
- 第20页
- 第21页
- 第22页
- 第23页
- 第24页
- 第25页
- 第26页
- 第27页
- 第28页
- 第29页
- 第30页
- 第31页
- 第32页
- 第33页
- 第34页
- 第35页
- 第36页
- 第37页
- 第38页
- 第39页
- 第40页
- 第41页
- 第42页
- 第43页
- 第44页
- 第45页
- 第46页
- 第47页
- 第48页
- 第49页
- 第50页
- 第51页
- 第52页
- 第53页
- 第54页
- 第55页
- 第56页
- 第57页
- 第58页
- 第59页
- 第60页
- 第61页
- 第62页
- 第63页
- 第64页
- 第65页
- 第66页
- 第67页
- 第68页
1.一次函数$y = 2x - 3$的图象经过的象限是 ()
A.一、二、三
B.二、三、四
C.一、三、四
D.一、二、四
A.一、二、三
B.二、三、四
C.一、三、四
D.一、二、四
答案:
C
2.下列关于一次函数$y = kx + b(k < 0,b > 0)$的说法,错误的是 ()
A.图象经过第一、二、四象限
B.$y随x$的增大而减小
C.图象与$y轴交于点(0,b)$
D.当$x > -\frac{b}{k}$时,$y > 0$
A.图象经过第一、二、四象限
B.$y随x$的增大而减小
C.图象与$y轴交于点(0,b)$
D.当$x > -\frac{b}{k}$时,$y > 0$
答案:
D
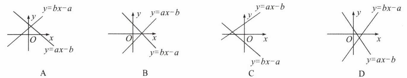
3.在同一平面直角坐标系中,函数$y = bx - a和y = ax - b$的图象可能是 ()

答案:
C
4.当直线$y = (2 - 2k)x + k - 3$经过第二、三、四象限时,则$k$的取值范围是______.
答案:
1<k<3
5.已知点$A(x_{1},y_{1}),B(x_{2},y_{2})在直线y = kx + b$上,且直线经过第一、二、四象限,则当$x_{1} < x_{2}时y_{1}与y_{2}$的大小关系为______.
答案:
y1>y2
6.(1)若一次函数的图象经过点$(1,1)与(0,-1)$,则这个函数的解析式为______;
(2)已知一次函数的图象与直线$y = -x + 1$平行,且过点$(8,2)$,则此一次函数的解析式为______.
(2)已知一次函数的图象与直线$y = -x + 1$平行,且过点$(8,2)$,则此一次函数的解析式为______.
答案:
(1)y = 2x - 1
(2)y = - x + 10
(1)y = 2x - 1
(2)y = - x + 10
7.已知直线$l_{1}:y = \frac{4}{3}x + 4与y轴交于点A$,将直线$l_{1}绕A点顺时针旋转45^{\circ}得到直线l_{2}$,求$l_{2}$的解析式.

答案:
过点B作BC⊥AB交l2于点C,过点C作CD⊥x轴于点D,
∵∠BAC = 45°,
∴△ABC为等腰直角三角形。由AAS易证△CBD≌△BAO,
∴BD = AO,CD = OB。
∵直线l1:y = $\frac{4}{3}$x + 4,
∴A(0,4),B(-3,0),
∴BD = AO = 4,CD = OB = 3,
∴OD = 4 + 3 = 7,
∴C(-7,3)。设l2的解析式为y = kx + b(k≠0),
∴$\begin{cases}-7k + b = 3 \\ b = 4 \end{cases}$,解得$\begin{cases}k = \frac{1}{7} \\ b = 4 \end{cases}$,
∴l2的解析式为y = $\frac{1}{7}$x + 4。
∵∠BAC = 45°,
∴△ABC为等腰直角三角形。由AAS易证△CBD≌△BAO,
∴BD = AO,CD = OB。
∵直线l1:y = $\frac{4}{3}$x + 4,
∴A(0,4),B(-3,0),
∴BD = AO = 4,CD = OB = 3,
∴OD = 4 + 3 = 7,
∴C(-7,3)。设l2的解析式为y = kx + b(k≠0),
∴$\begin{cases}-7k + b = 3 \\ b = 4 \end{cases}$,解得$\begin{cases}k = \frac{1}{7} \\ b = 4 \end{cases}$,
∴l2的解析式为y = $\frac{1}{7}$x + 4。
查看更多完整答案,请扫码查看