第48页
- 第1页
- 第2页
- 第3页
- 第4页
- 第5页
- 第6页
- 第7页
- 第8页
- 第9页
- 第10页
- 第11页
- 第12页
- 第13页
- 第14页
- 第15页
- 第16页
- 第17页
- 第18页
- 第19页
- 第20页
- 第21页
- 第22页
- 第23页
- 第24页
- 第25页
- 第26页
- 第27页
- 第28页
- 第29页
- 第30页
- 第31页
- 第32页
- 第33页
- 第34页
- 第35页
- 第36页
- 第37页
- 第38页
- 第39页
- 第40页
- 第41页
- 第42页
- 第43页
- 第44页
- 第45页
- 第46页
- 第47页
- 第48页
- 第49页
- 第50页
- 第51页
- 第52页
- 第53页
- 第54页
- 第55页
- 第56页
- 第57页
- 第58页
- 第59页
- 第60页
- 第61页
- 第62页
- 第63页
- 第64页
- 第65页
- 第66页
- 第67页
- 第68页
- 第69页
- 第70页
- 第71页
- 第72页
- 第73页
- 第74页
- 第75页
- 第76页
- 第77页
- 第78页
- 第79页
- 第80页
- 第81页
- 第82页
- 第83页
- 第84页
- 第85页
- 第86页
- 第87页
- 第88页
- 第89页
- 第90页
- 第91页
- 第92页
- 第93页
- 第94页
- 第95页
- 第96页
- 第97页
- 第98页
项目提出
当人们在台灯下看书时,如果感觉灯光太亮,有点刺眼,可以通过调光装置改变台灯的亮度。实际的调光台灯电路是比较复杂的。你可以运用本章所学的知识制作一盏简易调光台灯,达到调节灯光亮度的目的。
任务之一 设计调光台灯电路
1. 确定电路元件
电路的基本元件有四个,电源、
2. 设计电路图
利用所学的电学知识,在虚线框内设计一个亮度可以调控的台灯电路。(用两节干电池做电源)
任务之二 准备材料与工具
1. 材料
(1)电源:选用干电池组,3节5号电池串联,可以提供
(2)滑动变阻器:铭牌如图所示,则该滑动变阻器电阻的最大值是

(3)灯泡:可选择小功率的LED灯泡。
(4)导线、开关灯座。
2. 工具
电烙铁及焊锡、胶水、剪刀等。
当人们在台灯下看书时,如果感觉灯光太亮,有点刺眼,可以通过调光装置改变台灯的亮度。实际的调光台灯电路是比较复杂的。你可以运用本章所学的知识制作一盏简易调光台灯,达到调节灯光亮度的目的。
任务之一 设计调光台灯电路
1. 确定电路元件
电路的基本元件有四个,电源、
开关
、导线和用电器
。调光台灯主要由电源、调光器、灯泡和导线等组成。调光器是核心部件,它通过改变电路中的电阻
来调节灯泡的亮度。常见的调光器有滑动变阻器、光敏电阻等。2. 设计电路图
利用所学的电学知识,在虚线框内设计一个亮度可以调控的台灯电路。(用两节干电池做电源)
任务之二 准备材料与工具
1. 材料
(1)电源:选用干电池组,3节5号电池串联,可以提供
4.5
V电压。(2)滑动变阻器:铭牌如图所示,则该滑动变阻器电阻的最大值是
50
Ω,能通过最大电流为1.5
A。当滑片向D端移动时,它接入电路的电阻值变大
(选填“变大”“变小”或“不变”)。(3)灯泡:可选择小功率的LED灯泡。
(4)导线、开关灯座。
2. 工具
电烙铁及焊锡、胶水、剪刀等。
答案:
任务一1. 开关 用电器 电阻
2.
任务二
1.
(1)4.5
(2)50 1.5 变大
任务一1. 开关 用电器 电阻
2.
任务二
1.
(1)4.5
(2)50 1.5 变大
任务之三 组装调光台灯
如图甲是生活中常见的亮度可调的台灯,电位器是调节其亮度的装置,顺时针旋动电位器旋钮时灯会变亮,图乙是模拟台灯工作的电路图,a、b、c为电位器的三个接线柱。请你用笔画线代替导线完成电路的连接。

如图甲是生活中常见的亮度可调的台灯,电位器是调节其亮度的装置,顺时针旋动电位器旋钮时灯会变亮,图乙是模拟台灯工作的电路图,a、b、c为电位器的三个接线柱。请你用笔画线代替导线完成电路的连接。
答案:
任务三

任务三
任务之四 测试与调试
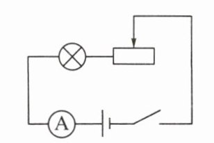
1. 小明使用了电流表检测模拟电路,如图所示。闭合开关后,无论怎么移动滑动变阻器的滑片,灯都不亮,电流表示数为零,已知只可能是灯或滑动变阻器出故障,该电路出现的故障可能是灯泡____或者滑动变阻器____。(两空均选填“短路”或“断路”)为进一步确定故障,他将一个电压表正确并联在灯泡两端,判断如下:____。

1. 小明使用了电流表检测模拟电路,如图所示。闭合开关后,无论怎么移动滑动变阻器的滑片,灯都不亮,电流表示数为零,已知只可能是灯或滑动变阻器出故障,该电路出现的故障可能是灯泡____或者滑动变阻器____。(两空均选填“短路”或“断路”)为进一步确定故障,他将一个电压表正确并联在灯泡两端,判断如下:____。
答案:
任务四1.断路 断路 若电压表无示数,则滑动变阻器断路;若电压表有示数且近似等于电源电压,则灯泡断路
查看更多完整答案,请扫码查看