第60页
- 第1页
- 第2页
- 第3页
- 第4页
- 第5页
- 第6页
- 第7页
- 第8页
- 第9页
- 第10页
- 第11页
- 第12页
- 第13页
- 第14页
- 第15页
- 第16页
- 第17页
- 第18页
- 第19页
- 第20页
- 第21页
- 第22页
- 第23页
- 第24页
- 第25页
- 第26页
- 第27页
- 第28页
- 第29页
- 第30页
- 第31页
- 第32页
- 第33页
- 第34页
- 第35页
- 第36页
- 第37页
- 第38页
- 第39页
- 第40页
- 第41页
- 第42页
- 第43页
- 第44页
- 第45页
- 第46页
- 第47页
- 第48页
- 第49页
- 第50页
- 第51页
- 第52页
- 第53页
- 第54页
- 第55页
- 第56页
- 第57页
- 第58页
- 第59页
- 第60页
- 第61页
- 第62页
- 第63页
- 第64页
- 第65页
- 第66页
- 第67页
- 第68页
- 第69页
- 第70页
- 第71页
- 第72页
- 第73页
- 第74页
- 第75页
- 第76页
- 第77页
- 第78页
- 第79页
- 第80页
- 第81页
- 第82页
- 第83页
- 第84页
- 第85页
- 第86页
- 第87页
- 第88页
- 第89页
- 第90页
- 第91页
- 第92页
- 第93页
- 第94页
- 第95页
- 第96页
- 第97页
- 第98页
- 第99页
- 第100页
- 第101页
- 第102页
- 第103页
- 第104页
- 第105页
- 第106页
- 第107页
- 第108页
- 第109页
- 第110页
- 第111页
- 第112页
- 第113页
- 第114页
- 第115页
- 第116页
- 第117页
- 第118页
- 第119页
- 第120页
- 第121页
- 第122页
- 第123页
- 第124页
- 第125页
- 第126页
- 第127页
- 第128页
- 第129页
- 第130页
- 第131页
- 第132页
1. 我国优秀青年科学家曹原研究发现:当两层石墨烯以一个“魔角”叠加在一起时,再加入一定数量的电子,石墨烯的电阻突然变为 0. 此现象中石墨烯是(
A.绝缘体
B.导体
C.半导体
D.超导体
D
)。A.绝缘体
B.导体
C.半导体
D.超导体
答案:
D
2. 下列关于电压的说法正确的是(
A.只要有电压就一定能形成电流
B.电压是使自由电荷发生定向移动形成电流的原因
C.家庭电路电压为 200 V
D.一节干电池的电压为 2 V
B
)。A.只要有电压就一定能形成电流
B.电压是使自由电荷发生定向移动形成电流的原因
C.家庭电路电压为 200 V
D.一节干电池的电压为 2 V
答案:
B
3. 下列各电路图中,电压表能测出灯 $ L_1 $ 两端电压的是(

B
)。
答案:
B
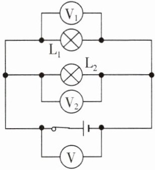
4. 如图所示,灯泡 $ L_1 $ 比 $ L_2 $ 亮,电压表 $ V_2 $ 示数为 6 V,下列说法正确的是(

A.$ V_1 $ 的示数为 6 V
B.$ V_1 $ 的示数大于 6 V
C.$ V $ 的示数小于 6 V
D.$ V $ 的示数大于 6 V
A
)。A.$ V_1 $ 的示数为 6 V
B.$ V_1 $ 的示数大于 6 V
C.$ V $ 的示数小于 6 V
D.$ V $ 的示数大于 6 V
答案:
A
5. 下列关于导体电阻的说法正确的是(
A.粗导线的电阻一定比细导线的电阻小
B.导体中没有电流通过,导体就没有电阻
C.一根金属丝被均匀拉长后,它的电阻变大
D.电阻是导体本身的一种性质,任何情况下导体的电阻都不可能为零
C
)。A.粗导线的电阻一定比细导线的电阻小
B.导体中没有电流通过,导体就没有电阻
C.一根金属丝被均匀拉长后,它的电阻变大
D.电阻是导体本身的一种性质,任何情况下导体的电阻都不可能为零
答案:
C
6. 由同种材料制成的 3 根电阻丝,已知它们的长度关系 $ l_1 > l_2 = l_3 $,横截面积的关系为 $ S_1 = S_2 < S_3 $。现将它们串联接入电路,关于它们的电阻和通过它们的电流关系,正确的是(
A.$ R_1 < R_2 = R_3 $,$ I_1 = I_2 = I_3 $
B.$ R_1 = R_2 > R_3 $,$ I_1 = I_2 > I_3 $
C.$ R_1 > R_2 > R_3 $,$ I_1 > I_2 > I_3 $
D.$ R_1 > R_2 > R_3 $,$ I_1 = I_2 = I_3 $
D
)。A.$ R_1 < R_2 = R_3 $,$ I_1 = I_2 = I_3 $
B.$ R_1 = R_2 > R_3 $,$ I_1 = I_2 > I_3 $
C.$ R_1 > R_2 > R_3 $,$ I_1 > I_2 > I_3 $
D.$ R_1 > R_2 > R_3 $,$ I_1 = I_2 = I_3 $
答案:
D
查看更多完整答案,请扫码查看