第40页
- 第1页
- 第2页
- 第3页
- 第4页
- 第5页
- 第6页
- 第7页
- 第8页
- 第9页
- 第10页
- 第11页
- 第12页
- 第13页
- 第14页
- 第15页
- 第16页
- 第17页
- 第18页
- 第19页
- 第20页
- 第21页
- 第22页
- 第23页
- 第24页
- 第25页
- 第26页
- 第27页
- 第28页
- 第29页
- 第30页
- 第31页
- 第32页
- 第33页
- 第34页
- 第35页
- 第36页
- 第37页
- 第38页
- 第39页
- 第40页
- 第41页
- 第42页
- 第43页
- 第44页
- 第45页
- 第46页
- 第47页
- 第48页
- 第49页
- 第50页
- 第51页
- 第52页
- 第53页
- 第54页
- 第55页
- 第56页
- 第57页
- 第58页
- 第59页
- 第60页
- 第61页
- 第62页
- 第63页
- 第64页
- 第65页
- 第66页
- 第67页
- 第68页
- 第69页
- 第70页
- 第71页
- 第72页
- 第73页
- 第74页
- 第75页
- 第76页
- 第77页
- 第78页
- 第79页
- 第80页
- 第81页
- 第82页
- 第83页
- 第84页
- 第85页
- 第86页
- 第87页
- 第88页
- 第89页
- 第90页
- 第91页
- 第92页
- 第93页
- 第94页
- 第95页
- 第96页
- 第97页
- 第98页
- 第99页
- 第100页
- 第101页
- 第102页
- 第103页
- 第104页
- 第105页
- 第106页
- 第107页
- 第108页
- 第109页
- 第110页
- 第111页
- 第112页
- 第113页
- 第114页
- 第115页
- 第116页
- 第117页
- 第118页
- 第119页
- 第120页
- 第121页
- 第122页
- 第123页
- 第124页
- 第125页
- 第126页
- 第127页
- 第128页
- 第129页
- 第130页
- 第131页
- 第132页
7. 连接在一个电路中的两盏灯, 通过它们的电流相等, 则这两盏灯的连接方式 (
A.一定串联
B.一定并联
C.可能串联
D.可能并联
CD
).A.一定串联
B.一定并联
C.可能串联
D.可能并联
答案:
CD
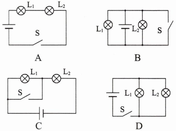
8. 在如图所示的电路中, 当开关 $ S $ 闭合时, 小灯泡 $ L_{1} $ 和 $ L_{2} $ 都工作的是 (

AD
).
答案:
AD
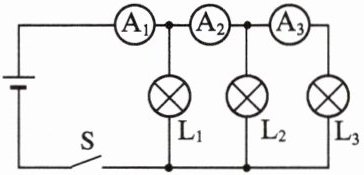
9. 如图所示, 闭合开关 $ S $, 电流表 $ A_{1} $、$ A_{2} $、$ A_{3} $ 的示数分别为 $ 2.8 \, A $、$ 1.9 \, A $、$ 0.7 \, A $, 那么通过这 3 盏灯的电流不可能的是 (

A.$ I_{1} = 2.8 \, A $, $ I_{2} = 0.7 \, A $, $ I_{3} = 1.9 \, A $
B.$ I_{1} = 0.9 \, A $, $ I_{2} = 1.2 \, A $, $ I_{3} = 0.7 \, A $
C.$ I_{1} = 0.2 \, A $, $ I_{2} = 0.7 \, A $, $ I_{3} = 1.9 \, A $
D.$ I_{1} = 0.28 \, A $, $ I_{2} = 2.6 \, A $, $ I_{3} = 1.9 \, A $
ACD
).A.$ I_{1} = 2.8 \, A $, $ I_{2} = 0.7 \, A $, $ I_{3} = 1.9 \, A $
B.$ I_{1} = 0.9 \, A $, $ I_{2} = 1.2 \, A $, $ I_{3} = 0.7 \, A $
C.$ I_{1} = 0.2 \, A $, $ I_{2} = 0.7 \, A $, $ I_{3} = 1.9 \, A $
D.$ I_{1} = 0.28 \, A $, $ I_{2} = 2.6 \, A $, $ I_{3} = 1.9 \, A $
答案:
ACD
10. 甲、乙、丙、丁 4 个轻质带电小球用细线悬挂起来, 它们之间相互作用的情况如图所示, 则甲、乙带

同种
电荷, 丙、丁带 异种
电荷(均选填“同种”或“异种”).
答案:
同种 异种
11. (1) 节日用的小彩灯每 $ 20 $ 只串联成一组, 将其接在家庭照明电路中. 若电源插头处电流大小为 $ 100 \, mA $, 则流过每只灯泡的电流大小是
(2) 教室内 $ 6 $ 盏相同的灯并联, 通过每盏灯的电流为 $ 0.2 \, A $, 则通过干路的电流为
(3) 在如图甲所示的电路中, 电流表示数为 $ 1.2 \, A $, 通过灯 $ L $ 的电流为 $ 0.4 \, A $, 则通过电铃的电流大小为
(4) 如图乙所示, 若电流表 $ A_{1} $ 的示数为 $ 1.5 \, A $, 电流表 $ A_{2} $ 的示数是干路电流

0.1 A
.(2) 教室内 $ 6 $ 盏相同的灯并联, 通过每盏灯的电流为 $ 0.2 \, A $, 则通过干路的电流为
1.2 A
.(3) 在如图甲所示的电路中, 电流表示数为 $ 1.2 \, A $, 通过灯 $ L $ 的电流为 $ 0.4 \, A $, 则通过电铃的电流大小为
0.8 A
.(4) 如图乙所示, 若电流表 $ A_{1} $ 的示数为 $ 1.5 \, A $, 电流表 $ A_{2} $ 的示数是干路电流
的
$ \frac{2}{3} $, 则通过灯 $ L_{1} $ 的电流为 1 A
, 通过灯 $ L_{2} $ 的电流为 0.5 A
.
答案:
1. (1)
因为串联电路中电流处处相等,小彩灯串联,电源插头处电流$I = 100mA$,所以流过每只灯泡的电流$I_{灯}=I = 100mA$。
2. (2)
因为并联电路中干路电流等于各支路电流之和,$n = 6$盏灯并联,$I_{支}=0.2A$,根据$I_{干}=nI_{支}$,可得$I_{干}=6×0.2A = 1.2A$。
3. (3)
解:由图甲可知,灯$L$和电铃并联,电流表测干路电流$I = 1.2A$,通过灯$L$的电流$I_{L}=0.4A$。
根据并联电路电流规律$I = I_{L}+I_{铃}$,则通过电铃的电流$I_{铃}=I - I_{L}$。
把$I = 1.2A$,$I_{L}=0.4A$代入可得$I_{铃}=1.2A - 0.4A=0.8A$。
4. (4)
解:由图乙可知,$L_{1}$与$L_{2}$并联,$A_{1}$测干路电流$I = 1.5A$,$A_{2}$测$L_{1}$支路电流$I_{1}$。
已知$I_{1}=\frac{2}{3}I$,把$I = 1.5A$代入得$I_{1}=\frac{2}{3}×1.5A = 1A$。
根据并联电路电流规律$I = I_{1}+I_{2}$,则通过$L_{2}$的电流$I_{2}=I - I_{1}$。
把$I = 1.5A$,$I_{1}=1A$代入可得$I_{2}=1.5A - 1A = 0.5A$。
故答案依次为:(1)$100mA$;(2)$1.2A$;(3)$0.8A$;(4)$1A$;$0.5A$。
因为串联电路中电流处处相等,小彩灯串联,电源插头处电流$I = 100mA$,所以流过每只灯泡的电流$I_{灯}=I = 100mA$。
2. (2)
因为并联电路中干路电流等于各支路电流之和,$n = 6$盏灯并联,$I_{支}=0.2A$,根据$I_{干}=nI_{支}$,可得$I_{干}=6×0.2A = 1.2A$。
3. (3)
解:由图甲可知,灯$L$和电铃并联,电流表测干路电流$I = 1.2A$,通过灯$L$的电流$I_{L}=0.4A$。
根据并联电路电流规律$I = I_{L}+I_{铃}$,则通过电铃的电流$I_{铃}=I - I_{L}$。
把$I = 1.2A$,$I_{L}=0.4A$代入可得$I_{铃}=1.2A - 0.4A=0.8A$。
4. (4)
解:由图乙可知,$L_{1}$与$L_{2}$并联,$A_{1}$测干路电流$I = 1.5A$,$A_{2}$测$L_{1}$支路电流$I_{1}$。
已知$I_{1}=\frac{2}{3}I$,把$I = 1.5A$代入得$I_{1}=\frac{2}{3}×1.5A = 1A$。
根据并联电路电流规律$I = I_{1}+I_{2}$,则通过$L_{2}$的电流$I_{2}=I - I_{1}$。
把$I = 1.5A$,$I_{1}=1A$代入可得$I_{2}=1.5A - 1A = 0.5A$。
故答案依次为:(1)$100mA$;(2)$1.2A$;(3)$0.8A$;(4)$1A$;$0.5A$。
12. 如图甲所示的电路中, 电流表 $ A_{1} $ 与 $ A_{2} $ 指针指示的位置均如图乙所示, 则电流表 $ A_{1} $ 测量的是 ______ 电流, 读数是 ______; 电流表 $ A_{2} $ 测量的是通过 ______ 的电流, 读数是 ______, 通过灯 $ L_{1} $ 的电流大小是 ______.

干路
2.2 A
L₂
0.44 A
1.76 A
答案:
干路;2.2 A;$L_{2}$;0.44 A;1.76 A
13. 用笔画线代替导线按照电路图连接实物电路.
(1)

(2)

(1)
(2)
答案:
(1)
(2)
(1)
(2)
查看更多完整答案,请扫码查看