第49页
- 第1页
- 第2页
- 第3页
- 第4页
- 第5页
- 第6页
- 第7页
- 第8页
- 第9页
- 第10页
- 第11页
- 第12页
- 第13页
- 第14页
- 第15页
- 第16页
- 第17页
- 第18页
- 第19页
- 第20页
- 第21页
- 第22页
- 第23页
- 第24页
- 第25页
- 第26页
- 第27页
- 第28页
- 第29页
- 第30页
- 第31页
- 第32页
- 第33页
- 第34页
- 第35页
- 第36页
- 第37页
- 第38页
- 第39页
- 第40页
- 第41页
- 第42页
- 第43页
- 第44页
- 第45页
- 第46页
- 第47页
- 第48页
- 第49页
- 第50页
- 第51页
- 第52页
- 第53页
- 第54页
- 第55页
- 第56页
- 第57页
- 第58页
- 第59页
- 第60页
- 第61页
- 第62页
- 第63页
- 第64页
- 第65页
- 第66页
- 第67页
- 第68页
- 第69页
- 第70页
- 第71页
- 第72页
- 第73页
- 第74页
- 第75页
- 第76页
- 第77页
- 第78页
- 第79页
- 第80页
- 第81页
- 第82页
- 第83页
- 第84页
- 第85页
- 第86页
- 第87页
- 第88页
- 第89页
- 第90页
- 第91页
- 第92页
- 第93页
- 第94页
- 第95页
- 第96页
- 第97页
- 第98页
- 第99页
- 第100页
- 第101页
- 第102页
- 第103页
- 第104页
- 第105页
- 第106页
- 第107页
- 第108页
- 第109页
- 第110页
- 第111页
- 第112页
- 第113页
- 第114页
- 第115页
- 第116页
- 第117页
- 第118页
- 第119页
- 第120页
- 第121页
- 第122页
- 第123页
- 第124页
- 第125页
- 第126页
- 第127页
- 第128页
- 第129页
- 第130页
- 第131页
- 第132页
2. 如图所示的电路中,电压表测量的是(

A.$ L_{1} $ 两端的电压
B.$ L_{2} $ 两端的电压
C.电池两端的电压
D.$ L_{1} $ 和 $ L_{2} $ 两端的总电压
A
)。A.$ L_{1} $ 两端的电压
B.$ L_{2} $ 两端的电压
C.电池两端的电压
D.$ L_{1} $ 和 $ L_{2} $ 两端的总电压
答案:
A
3. 请读出下图中两电压表的示数,甲:

1.2V
,乙:12V
。
答案:
1.2V 12V
4. 请比较电压表和电流表的使用方法,填写表格。
| | 使用方法 |

| 电流表 | ①
②电流从电流表的
③被测电流
④
| 电压表 | ①
②电流从电压表的
③被测电压
④
| | 使用方法 |
| 电流表 | ①
串联
在被测电路中;②电流从电流表的
正
接线柱流入,负
接线柱流出;③被测电流
不能超过
其测量范围;④
绝对不允许
将电流表直接接在电源两极上。 || 电压表 | ①
并联
在被测电路中;②电流从电压表的
正
接线柱流入,负
接线柱流出;③被测电压
不能超过
其测量范围;④
可以
直接将电压表接在电源两极上。 |
答案:
串联 正 负 不能超过 绝对不允许
并联 正 负 不能超过 可以
并联 正 负 不能超过 可以
1. 在如图所示的 4 个电路中,当开关 $ S $ 闭合时,能用电压表测出灯 $ L_{2} $ 两端电压的电路是(

D
)。
答案:
D
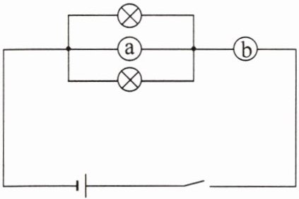
2. 如图所示,$ a $、$ b $ 为正确连接的电流表或电压表,下列说法正确的是(

A.$ a $、$ b $ 均为电压表
B.$ a $、$ b $ 均为电流表
C.$ a $ 为电压表,$ b $ 为电流表
D.$ a $ 为电流表,$ b $ 为电压表
C
)。A.$ a $、$ b $ 均为电压表
B.$ a $、$ b $ 均为电流表
C.$ a $ 为电压表,$ b $ 为电流表
D.$ a $ 为电流表,$ b $ 为电压表
答案:
C
查看更多完整答案,请扫码查看