第66页
- 第1页
- 第2页
- 第3页
- 第4页
- 第5页
- 第6页
- 第7页
- 第8页
- 第9页
- 第10页
- 第11页
- 第12页
- 第13页
- 第14页
- 第15页
- 第16页
- 第17页
- 第18页
- 第19页
- 第20页
- 第21页
- 第22页
- 第23页
- 第24页
- 第25页
- 第26页
- 第27页
- 第28页
- 第29页
- 第30页
- 第31页
- 第32页
- 第33页
- 第34页
- 第35页
- 第36页
- 第37页
- 第38页
- 第39页
- 第40页
- 第41页
- 第42页
- 第43页
- 第44页
- 第45页
- 第46页
- 第47页
- 第48页
- 第49页
- 第50页
- 第51页
- 第52页
- 第53页
- 第54页
- 第55页
- 第56页
- 第57页
- 第58页
- 第59页
- 第60页
- 第61页
- 第62页
- 第63页
- 第64页
- 第65页
- 第66页
- 第67页
- 第68页
- 第69页
- 第70页
- 第71页
- 第72页
- 第73页
- 第74页
4. $0.25×44=0.25×40+0.25×4$运用了(
A. 加法交换律
B. 乘法交换律
C. 乘法结合律
D. 乘法分配律
D
)进行简算。A. 加法交换律
B. 乘法交换律
C. 乘法结合律
D. 乘法分配律
答案:
D
5. 已知$\triangle+□=10,▲×■=100$,下列算式中计算结果错误的是(
A. $2.4×5-\triangle-\square=2$
B. $\triangle×2.1+\square×2.9=50$
C. $40÷▲÷■=0.4$
D. $▲×5×■×5=2500$
B
)。A. $2.4×5-\triangle-\square=2$
B. $\triangle×2.1+\square×2.9=50$
C. $40÷▲÷■=0.4$
D. $▲×5×■×5=2500$
答案:
B
6. 在下面四个算式中,得数最大的是(
A. $(\frac{1}{17}-\frac{1}{19})÷20$
B. $(\frac{1}{15}-\frac{1}{21})÷60$
C. $(\frac{1}{13}-\frac{1}{23})÷100$
D. $(\frac{1}{11}-\frac{1}{25})÷140$
D
)。A. $(\frac{1}{17}-\frac{1}{19})÷20$
B. $(\frac{1}{15}-\frac{1}{21})÷60$
C. $(\frac{1}{13}-\frac{1}{23})÷100$
D. $(\frac{1}{11}-\frac{1}{25})÷140$
答案:
D
7. 妈妈带了$200$元去超市购物,她买了一袋大米$37$元,一桶油$39$元,一台电风扇$102$元。下面的情况中,适合估算的是(
A. 营业员将每种商品的价格输入收款机
B. 妈妈考虑带的钱够不够
C. 妈妈被告知要付多少钱
D. 营业员要找钱给妈妈
B
)。A. 营业员将每种商品的价格输入收款机
B. 妈妈考虑带的钱够不够
C. 妈妈被告知要付多少钱
D. 营业员要找钱给妈妈
答案:
B
8. 王阿姨买了$12$个苹果共重$3.2kg$。如果要买$25kg$这样的苹果,那么可能有(
A. 不到$50$个
B. $80$多个
C. $90$多个
D. $100$个以上
C
)。A. 不到$50$个
B. $80$多个
C. $90$多个
D. $100$个以上
答案:
C
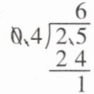
9. 李阿姨要将$2.5kg$香油分装在一些玻璃瓶里,每个玻璃瓶最多可以装$0.4kg$香油,至少需要准备几个玻璃瓶? 小文列竖式来解决这个问题(如下图)。在下面的竖式中,余数“1”表示____,至少需要准备____个玻璃瓶。下面答案正确的是(

A. 剩余的$1kg$香油 $7$
B. 剩余的$1kg$香油 $6$
C. 剩余的$0.1kg$香油 $7$
D. 剩余的$0.1kg$香油 $6$
C
)。A. 剩余的$1kg$香油 $7$
B. 剩余的$1kg$香油 $6$
C. 剩余的$0.1kg$香油 $7$
D. 剩余的$0.1kg$香油 $6$
答案:
C
查看更多完整答案,请扫码查看