2025年暑假作业新疆青少年出版社七年级数学人教版
注:目前有些书本章节名称可能整理的还不是很完善,但都是按照顺序排列的,请同学们按照顺序仔细查找。练习册 2025年暑假作业新疆青少年出版社七年级数学人教版 答案主要是用来给同学们做完题方便对答案用的,请勿直接抄袭。
第56页
- 第1页
- 第2页
- 第3页
- 第4页
- 第5页
- 第6页
- 第7页
- 第8页
- 第9页
- 第10页
- 第11页
- 第12页
- 第13页
- 第14页
- 第15页
- 第16页
- 第17页
- 第18页
- 第19页
- 第20页
- 第21页
- 第22页
- 第23页
- 第24页
- 第25页
- 第26页
- 第27页
- 第28页
- 第29页
- 第30页
- 第31页
- 第32页
- 第33页
- 第34页
- 第35页
- 第36页
- 第37页
- 第38页
- 第39页
- 第40页
- 第41页
- 第42页
- 第43页
- 第44页
- 第45页
- 第46页
- 第47页
- 第48页
- 第49页
- 第50页
- 第51页
- 第52页
- 第53页
- 第54页
- 第55页
- 第56页
- 第57页
- 第58页
- 第59页
- 第60页
- 第61页
- 第62页
- 第63页
- 第64页
- 第65页
- 第66页
- 第67页
- 第68页
4.如图,在四边形ABCD中,$∠A= ∠C= 90^{\circ }$,BE,DF分别是$∠ABC,∠ADC$的平分线.
(1)$∠1与∠2$有什么关系,为什么?
(2)BE与DF有什么关系?请说明理由.

(1)$∠1与∠2$有什么关系,为什么?
(2)BE与DF有什么关系?请说明理由.
答案:
(1)$\angle 1+\angle 2=90^{\circ }$。理由略。
(2)$BE// DF$。理由:在$\triangle FCD$中,$\because \angle C=90^{\circ },\therefore \angle DFC+\angle 2=90^{\circ },\because \angle 1+\angle 2=90^{\circ },\therefore \angle 1=\angle DFC,\therefore BE// DF$。
(1)$\angle 1+\angle 2=90^{\circ }$。理由略。
(2)$BE// DF$。理由:在$\triangle FCD$中,$\because \angle C=90^{\circ },\therefore \angle DFC+\angle 2=90^{\circ },\because \angle 1+\angle 2=90^{\circ },\therefore \angle 1=\angle DFC,\therefore BE// DF$。
5.如图,已知$∠DAE+∠CBF= 180^{\circ }$,CE平分$∠BCD,∠BCD= 2∠E$.
(1)求证:$AD// BC;$
(2)CD与EF平行吗?写出证明过程;
(3)若DF平分$∠ADC$,求证:$CE⊥DF.$

(1)求证:$AD// BC;$
(2)CD与EF平行吗?写出证明过程;
(3)若DF平分$∠ADC$,求证:$CE⊥DF.$
答案:
(1)$\because \angle DAE+\angle CBF=180^{\circ },\angle DAE+\angle DAB=180^{\circ },\therefore \angle CBF=\angle DAB,\therefore AD// BC$。
(2)CD与EF平行。$\because CE$平分$\angle BCD,\therefore \angle BCD=2\angle DCE$,又$\because \angle BCD=2\angle E,\therefore \angle E=\angle DCE,\therefore CD// EF$。
(3)$\because DF$平分$\angle ADC,\therefore \angle CDF=\frac {1}{2}\angle ADC,\because \angle BCD=2\angle DCE,\therefore \angle DCE=\frac {1}{2}\angle BCD,\because AD// BC,\therefore$
$\angle ADC+\angle BCD=180^{\circ },\therefore \angle CDF+\angle DCE=\frac {1}{2}(\angle ADC+\angle DCB)=90^{\circ },\therefore \angle COD=90^{\circ },\therefore CE\perp DF$。
(1)$\because \angle DAE+\angle CBF=180^{\circ },\angle DAE+\angle DAB=180^{\circ },\therefore \angle CBF=\angle DAB,\therefore AD// BC$。
(2)CD与EF平行。$\because CE$平分$\angle BCD,\therefore \angle BCD=2\angle DCE$,又$\because \angle BCD=2\angle E,\therefore \angle E=\angle DCE,\therefore CD// EF$。
(3)$\because DF$平分$\angle ADC,\therefore \angle CDF=\frac {1}{2}\angle ADC,\because \angle BCD=2\angle DCE,\therefore \angle DCE=\frac {1}{2}\angle BCD,\because AD// BC,\therefore$
$\angle ADC+\angle BCD=180^{\circ },\therefore \angle CDF+\angle DCE=\frac {1}{2}(\angle ADC+\angle DCB)=90^{\circ },\therefore \angle COD=90^{\circ },\therefore CE\perp DF$。
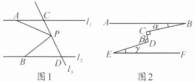
6.探究:如图1,已知直线$l_{1}// l_{2}$,直线$l_{3}和l_{1},l_{2}$分别交于点C和点D,直线$l_{3}$上有一点P.
(1)若点P在点C,D之间运动,问$∠PAC,∠APB,∠PBD$之间有怎样的关系?并说明理由;
(2)若点P在C,D两点的外侧运动(点P与点C,D不重合),请尝试自己画图,写出$∠PAC,∠APB,∠PBD$之间的关系,并说明理由;
(3)如图2,$AB// EF,∠C= 90^{\circ }$,我们可以用类似的方法求出$∠α,∠β,∠γ$之间的关系,请直接写出$∠α,∠β,∠γ$之间的关系.

(1)若点P在点C,D之间运动,问$∠PAC,∠APB,∠PBD$之间有怎样的关系?并说明理由;
(2)若点P在C,D两点的外侧运动(点P与点C,D不重合),请尝试自己画图,写出$∠PAC,∠APB,∠PBD$之间的关系,并说明理由;
(3)如图2,$AB// EF,∠C= 90^{\circ }$,我们可以用类似的方法求出$∠α,∠β,∠γ$之间的关系,请直接写出$∠α,∠β,∠γ$之间的关系.
答案:
(1)如图甲,当点P在点C,D之间运动时,$\angle APB=\angle PAC+\angle PBD$。理由如下:过点P作$PE// l_{1},\because l_{1}// l_{2},\therefore PE// l_{2}// l_{1},\therefore \angle PAC=\angle 1,\angle PBD=\angle 2,\therefore \angle APB=\angle 1+\angle 2=\angle PAC+\angle PBD$。
(2)如图乙,当点P在C,D两点的外侧运动,且在$l_{1}$上方时,$\angle PBD=\angle PAC+\angle APB$。理由如下:过点P作$PM// l_{1},\therefore \angle PEC=\angle MPE,\angle MPA=\angle PAC,\therefore \angle MPE=\angle PEC=\angle PAC+\angle APB$。又$\because l_{1}// l_{2},\therefore \angle PEC=\angle PBD,\therefore \angle PBD=\angle PAC+\angle APB$。如图丙,当点P在C,D两点的外侧运动,且在$l_{2}$下方时,$\angle PAC=\angle PBD+\angle APB$。理由如下:过点P作$PN// BD$,则$\angle PED=\angle APN=\angle APB+\angle NPB$,而$\angle NPB=\angle PBD,\therefore \angle PED=\angle APB+PBD$。$\because l_{1}// l_{2},\therefore \angle PED=\angle PAC,\therefore \angle PAC=\angle PBD+\angle APB$。
(3)$\angle \alpha +\angle \beta -\angle \gamma =90^{\circ }$。
(1)如图甲,当点P在点C,D之间运动时,$\angle APB=\angle PAC+\angle PBD$。理由如下:过点P作$PE// l_{1},\because l_{1}// l_{2},\therefore PE// l_{2}// l_{1},\therefore \angle PAC=\angle 1,\angle PBD=\angle 2,\therefore \angle APB=\angle 1+\angle 2=\angle PAC+\angle PBD$。
(2)如图乙,当点P在C,D两点的外侧运动,且在$l_{1}$上方时,$\angle PBD=\angle PAC+\angle APB$。理由如下:过点P作$PM// l_{1},\therefore \angle PEC=\angle MPE,\angle MPA=\angle PAC,\therefore \angle MPE=\angle PEC=\angle PAC+\angle APB$。又$\because l_{1}// l_{2},\therefore \angle PEC=\angle PBD,\therefore \angle PBD=\angle PAC+\angle APB$。如图丙,当点P在C,D两点的外侧运动,且在$l_{2}$下方时,$\angle PAC=\angle PBD+\angle APB$。理由如下:过点P作$PN// BD$,则$\angle PED=\angle APN=\angle APB+\angle NPB$,而$\angle NPB=\angle PBD,\therefore \angle PED=\angle APB+PBD$。$\because l_{1}// l_{2},\therefore \angle PED=\angle PAC,\therefore \angle PAC=\angle PBD+\angle APB$。
(3)$\angle \alpha +\angle \beta -\angle \gamma =90^{\circ }$。
查看更多完整答案,请扫码查看