第73页
- 第1页
- 第2页
- 第3页
- 第4页
- 第5页
- 第6页
- 第7页
- 第8页
- 第9页
- 第10页
- 第11页
- 第12页
- 第13页
- 第14页
- 第15页
- 第16页
- 第17页
- 第18页
- 第19页
- 第20页
- 第21页
- 第22页
- 第23页
- 第24页
- 第25页
- 第26页
- 第27页
- 第28页
- 第29页
- 第30页
- 第31页
- 第32页
- 第33页
- 第34页
- 第35页
- 第36页
- 第37页
- 第38页
- 第39页
- 第40页
- 第41页
- 第42页
- 第43页
- 第44页
- 第45页
- 第46页
- 第47页
- 第48页
- 第49页
- 第50页
- 第51页
- 第52页
- 第53页
- 第54页
- 第55页
- 第56页
- 第57页
- 第58页
- 第59页
- 第60页
- 第61页
- 第62页
- 第63页
- 第64页
- 第65页
- 第66页
- 第67页
- 第68页
- 第69页
- 第70页
- 第71页
- 第72页
- 第73页
- 第74页
- 第75页
- 第76页
- 第77页
- 第78页
- 第79页
- 第80页
- 第81页
- 第82页
- 第83页
- 第84页
- 第85页
- 第86页
- 第87页
- 第88页
- 第89页
- 第90页
- 第91页
- 第92页
- 第93页
- 第94页
- 第95页
- 第96页
- 第97页
- 第98页
1. 如图所示,闭合开关后,小灯泡$L_{1}$较亮,小灯泡$L_{2}$较暗,则下列说法正确的是(

A. 通过两小灯泡的电流一样大
B. 通过小灯泡$L_{1}$的电流较大
C. 通过小灯泡$L_{2}$的电流较大
D. 没有进行测量,无法判断电流大小关系
A
)A. 通过两小灯泡的电流一样大
B. 通过小灯泡$L_{1}$的电流较大
C. 通过小灯泡$L_{2}$的电流较大
D. 没有进行测量,无法判断电流大小关系
答案:
A
2. 夜幕降临,霓虹灯闪烁,道路两侧一般会使用多个小彩灯,将其
串联
组成电路,如果有一串节日彩灯上有50只相同的小灯泡,接到220V的照明电路中,50只小灯泡都发光,那么每只小灯泡两端电压为4.4
V,如果电源插头处的电流为200mA,那么,通过每只小灯泡的电流是0.2
A。
答案:
串联;4.4;0.2
3. 如图,灯泡$L_{2}比L_{1}$亮,电压表V示数为4.5V,下列说法正确的是(

A. $V_{1}$示数大于4.5V
B. $V_{1}$示数等于4.5V
C. $V_{2}$示数小于4.5V
D. $V_{2}$示数大于4.5V
B
)A. $V_{1}$示数大于4.5V
B. $V_{1}$示数等于4.5V
C. $V_{2}$示数小于4.5V
D. $V_{2}$示数大于4.5V
答案:
B
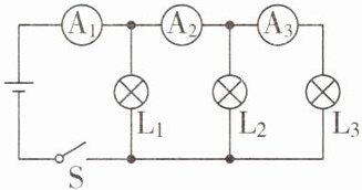
4. 如图所示,当开关闭合时,电流表$A_{1}$、$A_{2}$、$A_{3}$的示数分别为1.2A、1A、0.6A,则通过$L_{1}$的电流是

0.2
A;通过$L_{2}$的电流是0.4
A。
答案:
0.2;0.4
5. 如图所示的电路中,当开关S闭合时,电压表示数为8V,当开关S断开时,电压表示数为5V,则此时灯$L_{1}和L_{2}$两端的电压分别为(

A. 8V 5V
B. 3V 8V
C. 5V 3V
D. 3V 5V
C
)A. 8V 5V
B. 3V 8V
C. 5V 3V
D. 3V 5V
答案:
C
6. [2024·连云港一模]如图所示,为家用插线板示意图。图中A线接入家庭电路中,B线接台灯,C线接取暖器,两个用电器均正常工作时,A、B、C三处的电流分别为$I_{A}$、$I_{B}$、$I_{C}$,则它们的大小关系正确的是(

A. $I_{A}= I_{B}$
B. $I_{C}= I_{A}+I_{B}$
C. $I_{A}= I_{B}+I_{C}$
D. $I_{A}= I_{C}$
C
)A. $I_{A}= I_{B}$
B. $I_{C}= I_{A}+I_{B}$
C. $I_{A}= I_{B}+I_{C}$
D. $I_{A}= I_{C}$
答案:
C
7. 如图所示的实验电路,闭合开关S后,电流表A的示数为0.5A,电流表$A_{1}$的示数为0.3A。下列说法正确的是(

A. $L_{1}与L_{2}$串联
B. 开关S只控制$L_{1}$
C. 通过$L_{1}$、$L_{2}$的电流分别是0.3A、0.2A
D. 通过$L_{1}$、$L_{2}$的电流分别是0.5A、0.3A
C
)A. $L_{1}与L_{2}$串联
B. 开关S只控制$L_{1}$
C. 通过$L_{1}$、$L_{2}$的电流分别是0.3A、0.2A
D. 通过$L_{1}$、$L_{2}$的电流分别是0.5A、0.3A
答案:
C
8. 如图甲所示电路中,当闭合开关S后,两个电压表指针偏转均如图乙所示,则灯泡$L_{1}和L_{2}$两端的电压分别为(

A. 1.2V 6V
B. 6V 1.2V
C. 4.8V 1.2V
D. 1.2V 4.8V
C
)A. 1.2V 6V
B. 6V 1.2V
C. 4.8V 1.2V
D. 1.2V 4.8V
答案:
C
查看更多完整答案,请扫码查看