2025年高考必刷小题高中物理人教版
注:目前有些书本章节名称可能整理的还不是很完善,但都是按照顺序排列的,请同学们按照顺序仔细查找。练习册 2025年高考必刷小题高中物理人教版 答案主要是用来给同学们做完题方便对答案用的,请勿直接抄袭。
第34页
- 第1页
- 第2页
- 第3页
- 第4页
- 第5页
- 第6页
- 第7页
- 第8页
- 第9页
- 第10页
- 第11页
- 第12页
- 第13页
- 第14页
- 第15页
- 第16页
- 第17页
- 第18页
- 第19页
- 第20页
- 第21页
- 第22页
- 第23页
- 第24页
- 第25页
- 第26页
- 第27页
- 第28页
- 第29页
- 第30页
- 第31页
- 第32页
- 第33页
- 第34页
- 第35页
- 第36页
- 第37页
- 第38页
- 第39页
- 第40页
- 第41页
- 第42页
- 第43页
- 第44页
- 第45页
- 第46页
- 第47页
- 第48页
- 第49页
- 第50页
- 第51页
- 第52页
- 第53页
- 第54页
- 第55页
- 第56页
- 第57页
- 第58页
- 第59页
- 第60页
- 第61页
- 第62页
- 第63页
- 第64页
- 第65页
- 第66页
- 第67页
- 第68页
- 第69页
- 第70页
- 第71页
- 第72页
- 第73页
- 第74页
- 第75页
- 第76页
- 第77页
- 第78页
- 第79页
- 第80页
- 第81页
- 第82页
- 第83页
- 第84页
- 第85页
- 第86页
- 第87页
- 第88页
- 第89页
- 第90页
- 第91页
- 第92页
- 第93页
- 第94页
- 第95页
- 第96页
- 第97页
- 第98页
- 第99页
- 第100页
- 第101页
- 第102页
- 第103页
- 第104页
- 第105页
- 第106页
- 第107页
- 第108页
- 第109页
- 第110页
- 第111页
- 第112页
- 第113页
- 第114页
- 第115页
- 第116页
- 第117页
1. 如图所示,同一竖直平面内有四分之一圆弧BC和倾角为53°的斜面AC,A、B两点与圆弧BC的圆心O等高,现将甲、乙小球分别从A、B两点以初速度v₁、v₂沿水平方向同时抛出,两球恰好在C点相碰(不计空气阻力). 已知sin 53° = 0.8,cos 53° = 0.6,下列说法正确的是 ( )

A. 初速度v₁、v₂大小之比为4∶3
B. 若仅增大v₂,则两球不再相碰
C. 若v₁大小变为原来的一半,则甲球恰能落在斜面的中点D
D. 若只抛出甲球并适当改变v₁大小时,甲球可能垂直击中圆弧BC上某点
A. 初速度v₁、v₂大小之比为4∶3
B. 若仅增大v₂,则两球不再相碰
C. 若v₁大小变为原来的一半,则甲球恰能落在斜面的中点D
D. 若只抛出甲球并适当改变v₁大小时,甲球可能垂直击中圆弧BC上某点
答案:
D
2. [安徽合肥2025届月考改编](多选)从高H处的M点先后水平抛出两个小球1和2,轨迹如图所示,球1与地面碰撞一次后刚好越过竖直挡板AB,落在水平地面上的N点,球2刚好直接越过竖直挡板AB,也落在N点. 设球1与地面的碰撞是弹性碰撞,忽略空气阻力,重力加速度为g,则下列说法正确的是 ( )

A. 小球1、2的初速度大小之比为1∶3
B. 小球1、2的初速度大小之比为1∶4
C. 竖直挡板AB的高度h = $\frac{4}{5}H$
D. 竖直挡板AB的高度h = $\frac{3}{4}H$
A. 小球1、2的初速度大小之比为1∶3
B. 小球1、2的初速度大小之比为1∶4
C. 竖直挡板AB的高度h = $\frac{4}{5}H$
D. 竖直挡板AB的高度h = $\frac{3}{4}H$
答案:
AD
3. [河北邯郸2025届期中]如图所示,在某次跳台滑雪比赛中,运动员以初速度v₀从跳台顶端A水平飞出,经过一段时间后落在倾斜赛道上的B点,运动员运动到P点时离倾斜赛道最远,P点到赛道的垂直距离为PC,P点离赛道的竖直高度为PD,赛道的倾角为θ,重力加速度为g,空气阻力不计,运动员(包括滑雪板)视为质点. 则C、D两点间的距离是 ( )

A. $\frac{v_{0}^{2}\sin\theta\tan^{2}\theta}{2g}$
B. $\frac{v_{0}^{2}\sin\theta\tan^{2}\theta}{g}$
C. $\frac{v_{0}^{2}\sin^{2}\theta\tan^{2}\theta}{2g}$
D. $\frac{v_{0}^{2}\sin^{2}\theta\tan^{2}\theta}{g}$
A. $\frac{v_{0}^{2}\sin\theta\tan^{2}\theta}{2g}$
B. $\frac{v_{0}^{2}\sin\theta\tan^{2}\theta}{g}$
C. $\frac{v_{0}^{2}\sin^{2}\theta\tan^{2}\theta}{2g}$
D. $\frac{v_{0}^{2}\sin^{2}\theta\tan^{2}\theta}{g}$
答案:
A
4. 在飞镖比赛中,某选手先后两次将飞镖在同一出手点以不同的水平速度掷出,飞镖插入竖直镖靶,相关参数如图所示. 已知飞镖飞行时的速度方向即为镖尖指向,不计任何阻力,那么该选手出手位置距镖靶的水平距离是 ( )

A. $\frac{2d\tan\theta_{1}\cdot\tan\theta_{2}}{\tan\theta_{1}-\tan\theta_{2}}$
B. $\frac{d\tan\theta_{1}\cdot\tan\theta_{2}}{\tan\theta_{1}-\tan\theta_{2}}$
C. $\frac{d}{\sin\theta_{2}-\sin\theta_{1}}$
D. $\frac{2d}{\sin\theta_{2}-\sin\theta_{1}}$
A. $\frac{2d\tan\theta_{1}\cdot\tan\theta_{2}}{\tan\theta_{1}-\tan\theta_{2}}$
B. $\frac{d\tan\theta_{1}\cdot\tan\theta_{2}}{\tan\theta_{1}-\tan\theta_{2}}$
C. $\frac{d}{\sin\theta_{2}-\sin\theta_{1}}$
D. $\frac{2d}{\sin\theta_{2}-\sin\theta_{1}}$
答案:
A
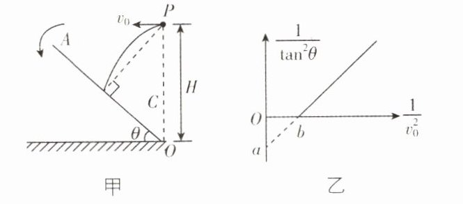
5. [湖南益阳2024三模]如图甲所示,挡板OA与水平面的夹角为θ,小球从O点的正上方高度为H的P点以速度v₀水平抛出,落到斜面时,小球的位移与斜面垂直. 让挡板绕固定的O点转动,改变挡板的倾角θ,小球平抛运动的初速度v₀也改变,每次平抛运动都使小球的位移与斜面垂直,$\frac{1}{\tan^{2}\theta}-\frac{1}{v_{0}^{2}}$关系图像如图乙所示,重力加速度g = 10 m/s²,下列说法正确的是 ( )

A. 图乙中的函数关系图像对应的方程式$\frac{1}{\tan^{2}\theta}=\frac{gH}{2}\times\frac{1}{v_{0}^{2}} + 1$
B. 图乙中a的数值为-2
C. 当图乙中b = 1,H的值为0.2 m
D. 当θ = 45°、b = 1,平抛运动的时间为$\frac{\sqrt{2}}{5}$ s
A. 图乙中的函数关系图像对应的方程式$\frac{1}{\tan^{2}\theta}=\frac{gH}{2}\times\frac{1}{v_{0}^{2}} + 1$
B. 图乙中a的数值为-2
C. 当图乙中b = 1,H的值为0.2 m
D. 当θ = 45°、b = 1,平抛运动的时间为$\frac{\sqrt{2}}{5}$ s
答案:
C
查看更多完整答案,请扫码查看