第89页
- 第2页
- 第3页
- 第4页
- 第5页
- 第6页
- 第7页
- 第8页
- 第9页
- 第10页
- 第11页
- 第12页
- 第13页
- 第14页
- 第15页
- 第16页
- 第17页
- 第18页
- 第19页
- 第20页
- 第21页
- 第22页
- 第23页
- 第24页
- 第25页
- 第26页
- 第27页
- 第28页
- 第29页
- 第30页
- 第31页
- 第32页
- 第33页
- 第34页
- 第35页
- 第36页
- 第37页
- 第38页
- 第39页
- 第40页
- 第41页
- 第42页
- 第43页
- 第44页
- 第45页
- 第46页
- 第47页
- 第48页
- 第49页
- 第50页
- 第51页
- 第52页
- 第53页
- 第54页
- 第55页
- 第56页
- 第57页
- 第58页
- 第59页
- 第60页
- 第61页
- 第62页
- 第63页
- 第64页
- 第65页
- 第66页
- 第67页
- 第68页
- 第69页
- 第70页
- 第71页
- 第72页
- 第73页
- 第74页
- 第75页
- 第76页
- 第77页
- 第78页
- 第79页
- 第80页
- 第81页
- 第82页
- 第83页
- 第84页
- 第85页
- 第86页
- 第87页
- 第88页
- 第89页
- 第90页
- 第91页
- 第92页
- 第93页
- 第94页
- 第95页
- 第96页
- 第97页
- 第98页
- 第99页
- 第100页
- 第101页
- 第102页
- 第103页
- 第104页
- 第105页
- 第106页
- 第107页
- 第108页
- 第109页
- 第110页
- 第111页
- 第112页
- 第113页
- 第114页
- 第115页
- 第116页
10. 若以二元一次方程 $x + 2y - b = 0$ 的解为坐标的点 $(x,y)$ 都在直线 $y = -\frac{1}{2}x + b - 1$ 上,则 $b =$(
A.$\frac{1}{2}$
B.$2$
C.$-1$
D.$1$
B
)A.$\frac{1}{2}$
B.$2$
C.$-1$
D.$1$
答案:
B
11. 若关于 $x$,$y$ 的方程组 $\begin{cases}x + y = 1, \\ (2k + 1)x - y = 3\end{cases}$ 无解,则直线 $y = -(k + 3)x - k$ 不经过(
A.第一象限
B.第二象限
C.第三象限
D.第四象限
C
)A.第一象限
B.第二象限
C.第三象限
D.第四象限
答案:
C
12. 下表是一次函数 $y = k_1x + b_1$ 和 $y = k_2x + b_2$ 图象上一部分点的坐标:

则方程组 $\begin{cases}y = k_1x + b_1, \\ y = k_2x + b_2\end{cases}$ 的解为
则方程组 $\begin{cases}y = k_1x + b_1, \\ y = k_2x + b_2\end{cases}$ 的解为
$\begin{cases}x = 1,\\y = 3\end{cases}$
.
答案:
$\begin{cases}x = 1,\\y = 3\end{cases}$
13. 如图,在平面直角坐标系中,直线 $y = -\frac{1}{2}x - 1$ 与直线 $y = -2x + 2$ 相交于点 $P$,并分别与 $x$ 轴相交于点 $A$,$B$.
(1) 求交点 $P$ 的坐标.
(2) 求 $\triangle PAB$ 的面积.

(1) 求交点 $P$ 的坐标.
(2) 求 $\triangle PAB$ 的面积.
答案:
解:
(1)联立$\begin{cases}y = -\frac{1}{2}x - 1,\\y = -2x + 2,\end{cases}$解得$\begin{cases}x = 2,\\y = -2.\end{cases}$$\therefore P(2,-2)$.
(2)在$y = -\frac{1}{2}x - 1$中,令$y = 0$,则$-\frac{1}{2}x - 1 = 0$,解得$x = -2$.$\therefore A(-2,0)$.在$y = -2x + 2$中,令$y = 0$,则$-2x + 2 = 0$,解得$x = 1$.$\therefore B(1,0)$.$\therefore AB = 3$.$\therefore S_{\triangle PAB}=\frac{1}{2}AB\cdot|y_P|=\frac{1}{2}×3×2 = 3$.
(1)联立$\begin{cases}y = -\frac{1}{2}x - 1,\\y = -2x + 2,\end{cases}$解得$\begin{cases}x = 2,\\y = -2.\end{cases}$$\therefore P(2,-2)$.
(2)在$y = -\frac{1}{2}x - 1$中,令$y = 0$,则$-\frac{1}{2}x - 1 = 0$,解得$x = -2$.$\therefore A(-2,0)$.在$y = -2x + 2$中,令$y = 0$,则$-2x + 2 = 0$,解得$x = 1$.$\therefore B(1,0)$.$\therefore AB = 3$.$\therefore S_{\triangle PAB}=\frac{1}{2}AB\cdot|y_P|=\frac{1}{2}×3×2 = 3$.
14. 【知识回顾】
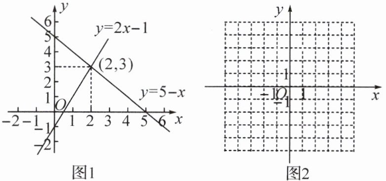
(1) 通过学习我们知道一次函数 $y = 5 - x$ 和 $y = 2x - 1$ 的图象如图 1 所示,所以方程组 $\begin{cases}x + y = 5, \\ 2x - y = 1\end{cases}$ 的解为
【知识探究】
(2) 小友结合学习一次函数的经验,对函数 $y = -2|x| + 5$ 的图象进行了探究. 下面是小友的探究过程:
① 列表:把下表补充完整.

② 描点、连线:在给出的平面直角坐标系中,描出以表中各组对应值为坐标的点,画出该函数的图象.
【知识应用】
(3) 利用一次函数与二元一次方程(组)的关系,结合函数图象可知,方程组 $\begin{cases}2|x| + y = 5, \\ y - x = 2\end{cases}$ 的解为

(1) 通过学习我们知道一次函数 $y = 5 - x$ 和 $y = 2x - 1$ 的图象如图 1 所示,所以方程组 $\begin{cases}x + y = 5, \\ 2x - y = 1\end{cases}$ 的解为
$\begin{cases}x = 2,\\y = 3\end{cases}$
.【知识探究】
(2) 小友结合学习一次函数的经验,对函数 $y = -2|x| + 5$ 的图象进行了探究. 下面是小友的探究过程:
① 列表:把下表补充完整.
② 描点、连线:在给出的平面直角坐标系中,描出以表中各组对应值为坐标的点,画出该函数的图象.
【知识应用】
(3) 利用一次函数与二元一次方程(组)的关系,结合函数图象可知,方程组 $\begin{cases}2|x| + y = 5, \\ y - x = 2\end{cases}$ 的解为
$\begin{cases}x = -3,\\y = -1\end{cases}$或$\begin{cases}x = 1,\\y = 3\end{cases}$
.
答案:
解:
(1)$\begin{cases}x = 2,\\y = 3\end{cases}$
(2)①$-1$ 1 ②图略.
(3)$\begin{cases}x = -3,\\y = -1\end{cases}$或$\begin{cases}x = 1,\\y = 3\end{cases}$
(1)$\begin{cases}x = 2,\\y = 3\end{cases}$
(2)①$-1$ 1 ②图略.
(3)$\begin{cases}x = -3,\\y = -1\end{cases}$或$\begin{cases}x = 1,\\y = 3\end{cases}$
查看更多完整答案,请扫码查看