第87页
- 第1页
- 第2页
- 第3页
- 第4页
- 第5页
- 第6页
- 第7页
- 第8页
- 第9页
- 第10页
- 第11页
- 第12页
- 第13页
- 第14页
- 第15页
- 第16页
- 第17页
- 第18页
- 第19页
- 第20页
- 第21页
- 第22页
- 第23页
- 第24页
- 第25页
- 第26页
- 第27页
- 第28页
- 第29页
- 第30页
- 第31页
- 第32页
- 第33页
- 第34页
- 第35页
- 第36页
- 第37页
- 第38页
- 第39页
- 第40页
- 第41页
- 第42页
- 第43页
- 第44页
- 第45页
- 第46页
- 第47页
- 第48页
- 第49页
- 第50页
- 第51页
- 第52页
- 第53页
- 第54页
- 第55页
- 第56页
- 第57页
- 第58页
- 第59页
- 第60页
- 第61页
- 第62页
- 第63页
- 第64页
- 第65页
- 第66页
- 第67页
- 第68页
- 第69页
- 第70页
- 第71页
- 第72页
- 第73页
- 第74页
- 第75页
- 第76页
- 第77页
- 第78页
- 第79页
- 第80页
- 第81页
- 第82页
- 第83页
- 第84页
- 第85页
- 第86页
- 第87页
7. 关于生活用电,下列说法正确的是(
A.人只要不接触带电体,就不会触电
B.电线使用年限过长,绝缘皮破损,可能造成短路
C.用测电笔的笔尖接触被测的导线,手指不能碰到金属笔卡或笔尖
D.家庭电路安装空气开关和漏电保护器,都是防止漏电而采取的安全措施
B
)A.人只要不接触带电体,就不会触电
B.电线使用年限过长,绝缘皮破损,可能造成短路
C.用测电笔的笔尖接触被测的导线,手指不能碰到金属笔卡或笔尖
D.家庭电路安装空气开关和漏电保护器,都是防止漏电而采取的安全措施
答案:
B
8. 图甲是某宾馆床头柜上的开关示意图,图乙是其控制的电路,其中$ S_1 $为旋转开关,单独控制台灯的通断和亮度$,S_2 $为单独控制电视插座的开关,请在图乙中将电路图连接完整,要求符合安全用电原则。

答案:
如图所示.
如图所示.
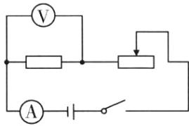
9. (2024·河南中考)小华用图 1 所示的电路探究电流与电压、电阻的关系。电源电压恒为 4.5 V,滑动变阻器最大阻值为 20 Ω。
(1)她先用阻值为 10 Ω 的定值电阻探究电流与电压的关系。

① 图 1 是根据设计的电路图连接的实物电路,请在虚线框中画出该电路图。
② 闭合开关前,应将滑动变阻器的滑片移到最右端,否则,闭合开关时______(选填“电流表”或“电压表”)指针的偏转可能超出所用量程。
③ 闭合开关,移动滑片,记录了下表数据。第 5 次的电压表和电流表的示数如图 2、3 所示,请将示数填入表中。

④ 请在图 4 中描出表中各组数据对应的点,并根据描出的点画出 I - U 图像。
⑤ 分析表中数据或图像的特点,可得出:电阻一定时,电流与电压成正比。得出此结论的理由是______。

(2)接下来,她用原电路探究电压一定时,电流与电阻的关系。先调节滑片,使电压表示数为 2 V,记录电流表示数;然后断开开关,将 10 Ω 电阻依次换成 5 Ω、15 Ω 电阻,闭合开关,移动滑片,使电压表示数仍为 2 V,记录电流表示数。当换成 20 Ω 电阻后,发现电压表示数始终不能为 2 V,为了完成实验,下列方案可行的是______(填字母)。
A. 换用电压为 6 V 的电源
B. 把电压表改接为 0 ~ 15 V 量程
C. 在开关与滑动变阻器之间串联一个 10 Ω 的电阻
(1)她先用阻值为 10 Ω 的定值电阻探究电流与电压的关系。
① 图 1 是根据设计的电路图连接的实物电路,请在虚线框中画出该电路图。
② 闭合开关前,应将滑动变阻器的滑片移到最右端,否则,闭合开关时______(选填“电流表”或“电压表”)指针的偏转可能超出所用量程。
③ 闭合开关,移动滑片,记录了下表数据。第 5 次的电压表和电流表的示数如图 2、3 所示,请将示数填入表中。
④ 请在图 4 中描出表中各组数据对应的点,并根据描出的点画出 I - U 图像。
⑤ 分析表中数据或图像的特点,可得出:电阻一定时,电流与电压成正比。得出此结论的理由是______。
(2)接下来,她用原电路探究电压一定时,电流与电阻的关系。先调节滑片,使电压表示数为 2 V,记录电流表示数;然后断开开关,将 10 Ω 电阻依次换成 5 Ω、15 Ω 电阻,闭合开关,移动滑片,使电压表示数仍为 2 V,记录电流表示数。当换成 20 Ω 电阻后,发现电压表示数始终不能为 2 V,为了完成实验,下列方案可行的是______(填字母)。
A. 换用电压为 6 V 的电源
B. 把电压表改接为 0 ~ 15 V 量程
C. 在开关与滑动变阻器之间串联一个 10 Ω 的电阻
答案:
(1)①如图所示.
②电压表 ③2.8 0.28
④如图所示.
⑤电压与电流的比为一定值
(2)C
(1)①如图所示.
②电压表 ③2.8 0.28
④如图所示.
⑤电压与电流的比为一定值
(2)C
查看更多完整答案,请扫码查看