第14页
- 第1页
- 第2页
- 第3页
- 第4页
- 第5页
- 第6页
- 第7页
- 第8页
- 第9页
- 第10页
- 第11页
- 第12页
- 第13页
- 第14页
- 第15页
- 第16页
- 第17页
- 第18页
- 第19页
- 第20页
- 第21页
- 第22页
- 第23页
- 第24页
- 第25页
- 第26页
- 第27页
- 第28页
- 第29页
- 第30页
- 第31页
- 第32页
- 第33页
- 第34页
- 第35页
- 第36页
- 第37页
- 第38页
- 第39页
- 第40页
- 第41页
- 第42页
- 第43页
- 第44页
- 第45页
- 第46页
- 第47页
- 第48页
- 第49页
- 第50页
- 第51页
- 第52页
- 第53页
- 第54页
- 第55页
- 第56页
- 第57页
- 第58页
- 第59页
- 第60页
- 第61页
- 第62页
- 第63页
- 第64页
- 第65页
- 第66页
- 第67页
- 第68页
- 第69页
- 第70页
- 第71页
- 第72页
- 第73页
- 第74页
- 第75页
- 第76页
- 第77页
- 第78页
- 第79页
- 第80页
- 第81页
- 第82页
- 第83页
- 第84页
- 第85页
- 第86页
- 第87页
- 第88页
10. 小明犯了个错误,事情是这样的:
若$\dfrac {1}{2}(a-3)^{2}+|b-2|= 0$,那么$a^{b}+4b^{a}$等于多少?
小明是这样做的:
解:由$\dfrac {1}{2}(a-3)^{2}+|b-2|= 0得\left\{\begin{array}{l} a= 3,\\ b= 2.\end{array} \right.$
$\therefore a^{b}= 3^{2}= 9$,$b^{a}= \dfrac {1}{a^{b}}= \dfrac {1}{9}$.
$\therefore a^{b}+4b^{a}= 9+4× \dfrac {1}{9}= \dfrac {85}{9}$.
小明没有明白错在哪儿,你能帮小明分析原因吗?正确的结果是多少?
小明的错误是
若$\dfrac {1}{2}(a-3)^{2}+|b-2|= 0$,那么$a^{b}+4b^{a}$等于多少?
小明是这样做的:
解:由$\dfrac {1}{2}(a-3)^{2}+|b-2|= 0得\left\{\begin{array}{l} a= 3,\\ b= 2.\end{array} \right.$
$\therefore a^{b}= 3^{2}= 9$,$b^{a}= \dfrac {1}{a^{b}}= \dfrac {1}{9}$.
$\therefore a^{b}+4b^{a}= 9+4× \dfrac {1}{9}= \dfrac {85}{9}$.
小明没有明白错在哪儿,你能帮小明分析原因吗?正确的结果是多少?
小明的错误是
$b^{a}=\frac {1}{a^{b}}=\frac {1}{9}$这一步,事实上$b^{a}≠\frac {1}{a^{b}}$
,结果是41
.
答案:
小明的错误是$b^{a}=\frac {1}{a^{b}}=\frac {1}{9}$这一步,事实上$b^{a}≠\frac {1}{a^{b}}$,结果是 41.
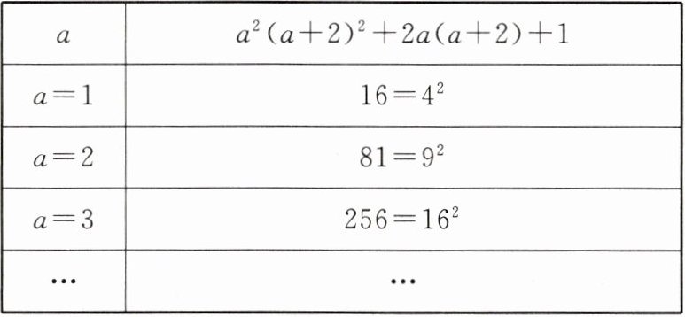
11. 对于代数式$a^{2}(a+2)^{2}+2a(a+2)+1$,小明做了下面的归纳.
小明说这个代数式一定是一个完全平方式,那么你认为呢?说说你判断的理由.这个代数式可以化简为
小明说这个代数式一定是一个完全平方式,那么你认为呢?说说你判断的理由.这个代数式可以化简为
$(a^{2}+2a+1)^{2}$
,显然是一个完全平方式。
答案:
$(a^{2}+2a+1)^{2}$
查看更多完整答案,请扫码查看