2025年第三学期暑假衔接七年级数学浙教版
注:目前有些书本章节名称可能整理的还不是很完善,但都是按照顺序排列的,请同学们按照顺序仔细查找。练习册 2025年第三学期暑假衔接七年级数学浙教版 答案主要是用来给同学们做完题方便对答案用的,请勿直接抄袭。
11. 把 4 张完全相同的长方形纸片(阴影)和两本完全相同的长方形课本(空白)按如图方式摆放.根据图中标注的尺寸,可得长方形纸片的长与宽之差为____.

答案:
5
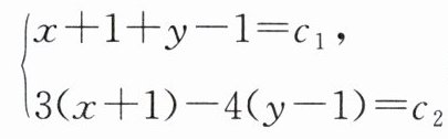
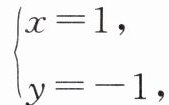
12. 若关于 $ x $, $ y $ 的方程组 $ \left\{ \begin{array} { l } { x + y = c _ { 1 }, } \\ { 3 x - 4 y = c _ { 2 } } \end{array} \right. $ 的解为
则关于 $ x $, $ y $ 的方程组
的解为____.
答案:
$\begin{cases}x = 1, \\ y = -2\end{cases}$
13. 甲、乙两人同解方程组 $ \left\{ \begin{array} { l } { A x + B y = 2, } \\ { C x - 3 y = - 2, } \end{array} \right. $ 甲正确解得
乙因抄错 $ C $ 解得
求 $ A $, $ B $, $ C $ 的值.
答案:
A = $\frac{5}{2}$,B = $\frac{1}{2}$,C = -5
14. 我市某包装生产企业承接了一批礼品盒制作业务,为了确保质量,该企业进行试生产.他们购得规格是 170 cm×40 cm 的标准板材作为原材料,每张标准板材再按照裁法一或裁法二裁下 $ A $ 型与 $ B $ 型两种板材,如图 1(单位:cm).
(1)列出方程(组),求出图 1 中 $ a $ 与 $ b $ 的值;

(2)在试生产阶段.若将 30 张标准板材用裁法一裁剪,4 张标准板材用裁法二裁剪,再将得到的 $ A $ 型与 $ B $ 型板材做侧面和底面,做成图 2 所示的竖式与横式两种礼品盒.
①两种裁法共裁出 $ A $ 型板材____张, $ B $ 型板材____张;
②已知①中的 $ A $ 型板材和 $ B $ 型板材恰好做成竖式有盖礼品盒 $ x $ 个,横式无盖礼品盒 $ y $ 个,求 $ x + y $ 的值.
(1)列出方程(组),求出图 1 中 $ a $ 与 $ b $ 的值;
(2)在试生产阶段.若将 30 张标准板材用裁法一裁剪,4 张标准板材用裁法二裁剪,再将得到的 $ A $ 型与 $ B $ 型板材做侧面和底面,做成图 2 所示的竖式与横式两种礼品盒.
①两种裁法共裁出 $ A $ 型板材____张, $ B $ 型板材____张;
②已知①中的 $ A $ 型板材和 $ B $ 型板材恰好做成竖式有盖礼品盒 $ x $ 个,横式无盖礼品盒 $ y $ 个,求 $ x + y $ 的值.
答案:
(1)由题意得$\begin{cases}2a + b + 10 = 170, \\ a + 2b + 30 = 170,\end{cases}$解得$\begin{cases}a = 60, \\ b = 40.\end{cases}$答:图1中a与b的值分别为60,40.
(2)①64 38 ②根据题意,竖式有盖礼品盒有x个,横式无盖礼品盒有y个,则A型板材需要(4x + 3y)个,B型板材需要(2x + 2y)个,所以$\begin{cases}4x + 3y = 64, \\ 2x + 2y = 38,\end{cases}$解得$\begin{cases}x = 7, \\ y = 12.\end{cases}$所以x + y = 7 + 12 = 19.
(1)由题意得$\begin{cases}2a + b + 10 = 170, \\ a + 2b + 30 = 170,\end{cases}$解得$\begin{cases}a = 60, \\ b = 40.\end{cases}$答:图1中a与b的值分别为60,40.
(2)①64 38 ②根据题意,竖式有盖礼品盒有x个,横式无盖礼品盒有y个,则A型板材需要(4x + 3y)个,B型板材需要(2x + 2y)个,所以$\begin{cases}4x + 3y = 64, \\ 2x + 2y = 38,\end{cases}$解得$\begin{cases}x = 7, \\ y = 12.\end{cases}$所以x + y = 7 + 12 = 19.
查看更多完整答案,请扫码查看