2025年第三学期暑假衔接七年级数学浙教版
注:目前有些书本章节名称可能整理的还不是很完善,但都是按照顺序排列的,请同学们按照顺序仔细查找。练习册 2025年第三学期暑假衔接七年级数学浙教版 答案主要是用来给同学们做完题方便对答案用的,请勿直接抄袭。
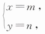
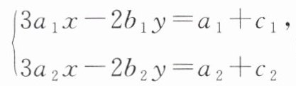
12. 若关于 $ x $, $ y $ 的方程组 $ \left\{ \begin{array} { l } { a _ { 1 } x + b _ { 1 } y = c _ { 1 }, } \\ { a _ { 2 } x + b _ { 2 } y = c _ { 2 } } \end{array} \right. $ 的解是
则关于 $ x $, $ y $ 的方程组
的解是____.(用含 $ m $, $ n $ 的代数式表示)
答案:
$\begin{cases}x = \frac{1}{3} + \frac{1}{3}m, \\ y = -\frac{1}{2}n\end{cases}$
13. 解下列方程组。
(1) $ \left\{ \begin{array} { l } { x - y + z = 2, } \\ { x + y - z = - 4, } \\ { x + y + z = 6. } \end{array} \right. $
(2) $ \left\{ \begin{array} { l } { 2 ( x - 1 ) = 3 - y, } \\ { \frac { y - 1 } { 2 } - \frac { x - 1 } { 3 } = - 1. } \end{array} \right. $
(1) $ \left\{ \begin{array} { l } { x - y + z = 2, } \\ { x + y - z = - 4, } \\ { x + y + z = 6. } \end{array} \right. $
(2) $ \left\{ \begin{array} { l } { 2 ( x - 1 ) = 3 - y, } \\ { \frac { y - 1 } { 2 } - \frac { x - 1 } { 3 } = - 1. } \end{array} \right. $
答案:
(1) $\begin{cases}x = -1, \\ y = 2, \\ z = 5.\end{cases}$
(2) $\begin{cases}x = \frac{5}{2}, \\ y = 0.\end{cases}$
(1) $\begin{cases}x = -1, \\ y = 2, \\ z = 5.\end{cases}$
(2) $\begin{cases}x = \frac{5}{2}, \\ y = 0.\end{cases}$
14. 如图, $ A $, $ B $ 两地由公路和铁路相连,在这条路上有一家食品厂,它到 $ B $ 地的距离是到 $ A $ 地距离的 2 倍,现该食品厂“从 $ A $ 地购买原料,全部制成食品(制作过程中有损耗)卖到 $ B $ 地,两次运输(第一次: $ A $ 地→食品厂,第二次:食品厂→ $ B $ 地)共支出公路运费 15600 元,铁路运费 20600 元,已知公路运费为 1.5 元/(千米·吨),铁路运费为 1 元/(千米·吨).

(1)求该食品厂到 $ A $ 地、 $ B $ 地的距离分别是多少千米;
(2)求该食品厂买进原料及卖出食品各多少吨;
(3)若该食品厂此次买进的原料每吨花费 5000 元,要想该批食品销售完后工厂共获利 863800 元,求卖出的食品每吨售价是多少元.(利润= 总售价-总成本-总运费)
(1)求该食品厂到 $ A $ 地、 $ B $ 地的距离分别是多少千米;
(2)求该食品厂买进原料及卖出食品各多少吨;
(3)若该食品厂此次买进的原料每吨花费 5000 元,要想该批食品销售完后工厂共获利 863800 元,求卖出的食品每吨售价是多少元.(利润= 总售价-总成本-总运费)
答案:
(1)设这家食品厂到A地的距离是x km,到B地的距离是y km,根据题意,得$\begin{cases}2x = y, \\ x + y = 20 + 30 + 100,\end{cases}$解得$\begin{cases}x = 50, \\ y = 100.\end{cases}$答:这家食品厂到A地的距离是50 km,到B地的距离是100 km.
(2)设该食品厂买进原料m吨,卖出食品n吨,由题意得,$\begin{cases}1.5×20m + 1.5×30n = 15600, \\ 1×(50 - 20)m + 1×(100 - 30)n = 20600,\end{cases}$解得$\begin{cases}m = 220, \\ n = 200.\end{cases}$答:该食品厂买进原料220吨,卖出食品200吨.
(3)设卖出的食品每吨售价为a元,由题意得,200a - 5000×220 - 15600 - 20600 = 863800,解得a = 10000. 答:卖出的食品每吨售价是10000元.
(1)设这家食品厂到A地的距离是x km,到B地的距离是y km,根据题意,得$\begin{cases}2x = y, \\ x + y = 20 + 30 + 100,\end{cases}$解得$\begin{cases}x = 50, \\ y = 100.\end{cases}$答:这家食品厂到A地的距离是50 km,到B地的距离是100 km.
(2)设该食品厂买进原料m吨,卖出食品n吨,由题意得,$\begin{cases}1.5×20m + 1.5×30n = 15600, \\ 1×(50 - 20)m + 1×(100 - 30)n = 20600,\end{cases}$解得$\begin{cases}m = 220, \\ n = 200.\end{cases}$答:该食品厂买进原料220吨,卖出食品200吨.
(3)设卖出的食品每吨售价为a元,由题意得,200a - 5000×220 - 15600 - 20600 = 863800,解得a = 10000. 答:卖出的食品每吨售价是10000元.
查看更多完整答案,请扫码查看