2025年第三学期暑假衔接七年级数学浙教版
注:目前有些书本章节名称可能整理的还不是很完善,但都是按照顺序排列的,请同学们按照顺序仔细查找。练习册 2025年第三学期暑假衔接七年级数学浙教版 答案主要是用来给同学们做完题方便对答案用的,请勿直接抄袭。
1. 下列各式中,属于二元一次方程的是()
A.$ 3 x + 7 = 4 y $
B.$ 5 x - \pi = 0 $
C.$ x ^ { 2 } - 2 x + 1 = 0 $
D.$ x - 2 x y = 6 $
A.$ 3 x + 7 = 4 y $
B.$ 5 x - \pi = 0 $
C.$ x ^ { 2 } - 2 x + 1 = 0 $
D.$ x - 2 x y = 6 $
答案:
A
2. 下列方程组中,属于二元一次方程组的是()
A.$ \left\{ \begin{array} { l } { x y = 1, } \\ { x + y = 2 } \end{array} \right. $
B.$ \left\{ \begin{array} { l } { 5 x - 2 y = 3, } \\ { \frac { 1 } { x } + y = 3 } \end{array} \right. $
C.$ \left\{ \begin{array} { l } { 2 x + z = 0, } \\ { 3 x - y = \frac { 1 } { 5 } } \end{array} \right. $
D.$ \left\{ \begin{array} { l } { x + y = 5, } \\ { \frac { x } { 2 } + \frac { y } { 3 } = 7 } \end{array} \right. $
A.$ \left\{ \begin{array} { l } { x y = 1, } \\ { x + y = 2 } \end{array} \right. $
B.$ \left\{ \begin{array} { l } { 5 x - 2 y = 3, } \\ { \frac { 1 } { x } + y = 3 } \end{array} \right. $
C.$ \left\{ \begin{array} { l } { 2 x + z = 0, } \\ { 3 x - y = \frac { 1 } { 5 } } \end{array} \right. $
D.$ \left\{ \begin{array} { l } { x + y = 5, } \\ { \frac { x } { 2 } + \frac { y } { 3 } = 7 } \end{array} \right. $
答案:
D
3. 已知方程 $ 2 x ^ { m + 1 } + 3 y ^ { 2 n } = 5 $ 是二元一次方程,则 $ m $,$ n $ 的值分别为()
A.$ - 1 $,$ 0 $
B.$ 0 $,$ 1 $
C.$ 0 $,$ \frac { 1 } { 2 } $
D.$ - 1 $,$ \frac { 1 } { 2 } $
A.$ - 1 $,$ 0 $
B.$ 0 $,$ 1 $
C.$ 0 $,$ \frac { 1 } { 2 } $
D.$ - 1 $,$ \frac { 1 } { 2 } $
答案:
C
4. 《九章算术》中记载这样一个题:牛 $ 5 $ 头和羊 $ 2 $ 只共值 $ 10 $ 金,牛 $ 2 $ 头和羊 $ 5 $ 只共值 $ 8 $ 金,问牛和羊各值多少金?设每头牛值 $ x $ 金,每只羊值 $ y $ 金,所列方程组为()
A.$ \left\{ \begin{array} { l } { 5 x + 2 y = 10, } \\ { 2 x + 5 y = 8 } \end{array} \right. $
B.$ \left\{ \begin{array} { l } { 2 x + 5 y = 10, } \\ { 5 x + 2 y = 8 } \end{array} \right. $
C.$ \left\{ \begin{array} { l } { 5 x + 5 y = 10, } \\ { 2 x + 5 y = 8 } \end{array} \right. $
D.$ \left\{ \begin{array} { l } { 5 x + 2 y = 10, } \\ { 2 x + 2 y = 8 } \end{array} \right. $
A.$ \left\{ \begin{array} { l } { 5 x + 2 y = 10, } \\ { 2 x + 5 y = 8 } \end{array} \right. $
B.$ \left\{ \begin{array} { l } { 2 x + 5 y = 10, } \\ { 5 x + 2 y = 8 } \end{array} \right. $
C.$ \left\{ \begin{array} { l } { 5 x + 5 y = 10, } \\ { 2 x + 5 y = 8 } \end{array} \right. $
D.$ \left\{ \begin{array} { l } { 5 x + 2 y = 10, } \\ { 2 x + 2 y = 8 } \end{array} \right. $
答案:
A
5. 某次知识竞赛共有 $ 20 $ 道题,规定:每答对一题得 $ + 5 $ 分,每答错一题得 $ - 2 $ 分,不答的题得 $ 0 $ 分. 已知圆圆这次竞赛得了 $ 60 $ 分,设圆圆答对了 $ x $ 道题,答错了 $ y $ 道题,则所列方程为()
A.$ x - y = 20 $
B.$ x + y = 20 $
C.$ 5 x - 2 y = 60 $
D.$ 5 x + 2 y = 60 $
A.$ x - y = 20 $
B.$ x + y = 20 $
C.$ 5 x - 2 y = 60 $
D.$ 5 x + 2 y = 60 $
答案:
C
6. 方程 $ ■ x - 2 y = 2 x + 5 $ 是二元一次方程,$ ■ $ 是被污染的 $ x $ 的系数,则 $ ■ $ 的值()
A.不可能是 $ - 1 $
B.不可能是 $ - 2 $
C.不可能是 $ 1 $
D.不可能是 $ 2 $
A.不可能是 $ - 1 $
B.不可能是 $ - 2 $
C.不可能是 $ 1 $
D.不可能是 $ 2 $
答案:
D
7. 关于 $ x $,$ y $ 的二元一次方程 $ 3 x + y = 7 $ 的正整数解有()
A.$ 1 $ 组
B.$ 2 $ 组
C.$ 3 $ 组
D.$ 4 $ 组
A.$ 1 $ 组
B.$ 2 $ 组
C.$ 3 $ 组
D.$ 4 $ 组
答案:
B
8. 端午节前夕,某食品加工厂准备将生产的粽子装入 $ A $,$ B $ 两种食品盒中,$ A $ 种食品盒每盒装 $ 8 $ 个粽子,$ B $ 种食品盒每盒装 $ 10 $ 个粽子. 若要将 $ 200 $ 个粽子分别装入 $ A $,$ B $ 两种食品盒中(两种食品盒均要使用并且装满),则不同的分装方式有()
A.$ 2 $ 种
B.$ 3 $ 种
C.$ 4 $ 种
D.$ 5 $ 种
A.$ 2 $ 种
B.$ 3 $ 种
C.$ 4 $ 种
D.$ 5 $ 种
答案:
C
9. 已知方程 $ \frac { 1 } { 2 } x ^ { m } + 3 y ^ { n - 1 } = 4 $ 是关于 $ x $,$ y $ 的二元一次方程,则 $ m = $______,$ n = $______.
答案:
1 2
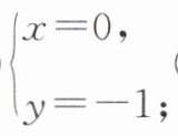
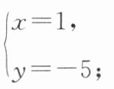
10. 在① $ \left\{ \begin{array} { l } { x = - 4, } \\ { y = - 11 ; } \end{array} \right. $ ②
③
④
这四组数中,为方程 $ 3 x + 2 y = - 7 $ 的解的是______,为方程 $ \frac { 5 } { 2 } x - y = 1 $ 的解的是______,上述两个方程的公共解是______.(填序号)
答案:
③,④ ①,②,④ ④
11. 当 $ m = $______时,关于 $ x $,$ y $ 的方程组 $ \left\{ \begin{array} { l } { x + 2 y = 1, } \\ { 2 x + m y = 2 } \end{array} \right. $ 有无数个解.
答案:
4
查看更多完整答案,请扫码查看