2025年第三学期暑假衔接七年级数学浙教版
注:目前有些书本章节名称可能整理的还不是很完善,但都是按照顺序排列的,请同学们按照顺序仔细查找。练习册 2025年第三学期暑假衔接七年级数学浙教版 答案主要是用来给同学们做完题方便对答案用的,请勿直接抄袭。
1. 下列是三元一次方程组的是 ()
A.$ \left\{ \begin{array} { l } { 2 x = 5, } \\ { x ^ { 2 } + y = 7, } \\ { x + y + z = 6 } \end{array} \right. $
B.$ \left\{ \begin{array} { l } { \frac { 3 } { x } - y - z = - 2, } \\ { x - 2 y + z = 9, } \\ { y = - 3 } \end{array} \right. $
C.$ \left\{ \begin{array} { l } { x + y - z = 7, } \\ { x y z = 1, } \\ { x - 3 y = 4 } \end{array} \right. $
D.$ \left\{ \begin{array} { l } { x + y = 2, } \\ { y + z = 1, } \\ { x + z = 9 } \end{array} \right. $
A.$ \left\{ \begin{array} { l } { 2 x = 5, } \\ { x ^ { 2 } + y = 7, } \\ { x + y + z = 6 } \end{array} \right. $
B.$ \left\{ \begin{array} { l } { \frac { 3 } { x } - y - z = - 2, } \\ { x - 2 y + z = 9, } \\ { y = - 3 } \end{array} \right. $
C.$ \left\{ \begin{array} { l } { x + y - z = 7, } \\ { x y z = 1, } \\ { x - 3 y = 4 } \end{array} \right. $
D.$ \left\{ \begin{array} { l } { x + y = 2, } \\ { y + z = 1, } \\ { x + z = 9 } \end{array} \right. $
答案:
D
2. 下列各组数可以是二元一次方程 $ x + 3 y = 2 $ 的解的是 ()
A.$ \left\{ \begin{array} { l } { x = - 4, } \\ { y = 2 } \end{array} \right. $
B.$ \left\{ \begin{array} { l } { x = 2, } \\ { y = 7 } \end{array} \right. $
C.$ \left\{ \begin{array} { l } { x = 1, } \\ { y = - 1 } \end{array} \right. $
D.$ \left\{ \begin{array} { l } { x = 0, } \\ { y = 3 } \end{array} \right. $
A.$ \left\{ \begin{array} { l } { x = - 4, } \\ { y = 2 } \end{array} \right. $
B.$ \left\{ \begin{array} { l } { x = 2, } \\ { y = 7 } \end{array} \right. $
C.$ \left\{ \begin{array} { l } { x = 1, } \\ { y = - 1 } \end{array} \right. $
D.$ \left\{ \begin{array} { l } { x = 0, } \\ { y = 3 } \end{array} \right. $
答案:
A
3. 已知关于 $ x $, $ y $ 的方程组 $ \left\{ \begin{array} { l } { 2 x + 3 y = k, } \\ { 3 x + 2 y = k + 1 } \end{array} \right. $ 的解满足 $ x + y = k - 1 $,则 $ k $ 等于 ()
A.-1
B.1
C.-2
D.2
A.-1
B.1
C.-2
D.2
答案:
D
4. 小丽同学带 11 元钱去买钢笔和笔记本(两种文具都买),钢笔每支 3 元,笔记本每本 1 元,那么钢笔能买 ()
A.1 支
B.1 支或 2 支或 3 支
C.2 支
D.2 支或 3 支
A.1 支
B.1 支或 2 支或 3 支
C.2 支
D.2 支或 3 支
答案:
B
5. 如果关于 $ x $, $ y $ 的二元一次方程 $ a x + 2 y = 3 a - 2 $ 的一个解是 $ \left\{ \begin{array} { l } { x = 1, } \\ { y = 1, } \end{array} \right. $ 那么方程 $ x + a y = 3 $ 的一个解是 ()
A.$ \left\{ \begin{array} { l } { x = 2, } \\ { y = 1 } \end{array} \right. $
B.$ \left\{ \begin{array} { l } { x = 1, } \\ { y = 2 } \end{array} \right. $
C.$ \left\{ \begin{array} { l } { x = - 2, } \\ { y = 1 } \end{array} \right. $
D.$ \left\{ \begin{array} { l } { x = - 1, } \\ { y = 2 } \end{array} \right. $
A.$ \left\{ \begin{array} { l } { x = 2, } \\ { y = 1 } \end{array} \right. $
B.$ \left\{ \begin{array} { l } { x = 1, } \\ { y = 2 } \end{array} \right. $
C.$ \left\{ \begin{array} { l } { x = - 2, } \\ { y = 1 } \end{array} \right. $
D.$ \left\{ \begin{array} { l } { x = - 1, } \\ { y = 2 } \end{array} \right. $
答案:
D
6. 夏季来临,某超市试销 $ A $, $ B $ 两种型号的风扇,两周内共销售 30 台,销售收入 5300 元, $ A $ 型风扇每台 200 元, $ B $ 型风扇每台 150 元,问 $ A $, $ B $ 两种型号的风扇分别销售了多少台? 若设 $ A $ 型风扇销售了 $ x $ 台, $ B $ 型风扇销售了 $ y $ 台,则根据题意列出方程组为 ()
A.$ \left\{ \begin{array} { l } { x + y = 5300, } \\ { 200 x + 150 y = 30 } \end{array} \right. $
B.$ \left\{ \begin{array} { l } { x + y = 5300, } \\ { 150 x + 200 y = 30 } \end{array} \right. $
C.$ \left\{ \begin{array} { l } { x + y = 30, } \\ { 200 x + 150 y = 5300 } \end{array} \right. $
D.$ \left\{ \begin{array} { l } { x + y = 30, } \\ { 150 x + 200 y = 5300 } \end{array} \right. $
A.$ \left\{ \begin{array} { l } { x + y = 5300, } \\ { 200 x + 150 y = 30 } \end{array} \right. $
B.$ \left\{ \begin{array} { l } { x + y = 5300, } \\ { 150 x + 200 y = 30 } \end{array} \right. $
C.$ \left\{ \begin{array} { l } { x + y = 30, } \\ { 200 x + 150 y = 5300 } \end{array} \right. $
D.$ \left\{ \begin{array} { l } { x + y = 30, } \\ { 150 x + 200 y = 5300 } \end{array} \right. $
答案:
C
7. 如图,两根铁棒直立于桶底水平的水桶中,在桶中加入水后,一根高出水面的长度是它的 $ \frac { 1 } { 3 } $,另一根高出水面的长度是它的 $ \frac { 1 } { 5 } $. 若两根铁棒长度之和为 110 cm,则此时木桶中水的深度为 ()

A.60 cm
B.50 cm
C.40 cm
D.30 cm
A.60 cm
B.50 cm
C.40 cm
D.30 cm
答案:
C
8. 已知关于 $ x $, $ y $ 的方程组 $ \left\{ \begin{array} { l } { x + 3 y = 4 - a, } \\ { x - 5 y = 3 a, } \end{array} \right. $ 给出下列结论:①
是方程组的解;②无论 $ a $ 取何值, $ x $, $ y $ 的值都不可能互为相反数;③当 $ a = 1 $ 时,方程组的解也是方程 $ x + y = 4 - a $ 的解;④ $ x $, $ y $ 都为自然数的解有 4 对.其中正确结论的个数为 ()
A.4
B.3
C.2
D.1
A.4
B.3
C.2
D.1
答案:
B
9. 若 $ ( a - 2 ) x ^ { a ^ { 2 } - 3 } + 3 y ^ { b - 2 } = 2 $ 是关于 $ x $, $ y $ 的二元一次方程,则 $ a - b = $____.
答案:
-5
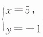
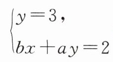
10. 如果方程组 $ \left\{ \begin{array} { l } { x = 4, } \\ { a x + b y = 5 } \end{array} \right. $ 的解与方程组
的解相同,那么 $ a + b = $____.
答案:
1
查看更多完整答案,请扫码查看