2025年53精准练九年级数学下册北师大版山西专版
注:目前有些书本章节名称可能整理的还不是很完善,但都是按照顺序排列的,请同学们按照顺序仔细查找。练习册 2025年53精准练九年级数学下册北师大版山西专版 答案主要是用来给同学们做完题方便对答案用的,请勿直接抄袭。
第29页
- 第1页
- 第2页
- 第3页
- 第4页
- 第5页
- 第6页
- 第7页
- 第8页
- 第9页
- 第10页
- 第11页
- 第12页
- 第13页
- 第14页
- 第15页
- 第16页
- 第17页
- 第18页
- 第19页
- 第20页
- 第21页
- 第22页
- 第23页
- 第24页
- 第25页
- 第26页
- 第27页
- 第28页
- 第29页
- 第30页
- 第31页
- 第32页
- 第33页
- 第34页
- 第35页
- 第36页
- 第37页
- 第38页
- 第39页
- 第40页
- 第41页
- 第42页
- 第43页
- 第44页
- 第45页
- 第46页
- 第47页
- 第48页
- 第49页
- 第50页
- 第51页
- 第52页
- 第53页
- 第54页
- 第55页
- 第56页
- 第57页
- 第58页
- 第59页
- 第60页
- 第61页
- 第62页
- 第63页
- 第64页
- 第65页
- 第66页
- 第67页
- 第68页
11.已知$A(-2, y_{1})、B(-4, y_{2})、C(3, y_{3})$是抛物线$y = ax^{2}+9(a < 0)$上的三个点,比较$y_{1}、y_{2}、y_{3}$的大小,正确的是 ( )
A. $y_{1} > y_{2} > y_{3}$
B. $y_{1} < y_{2} < y_{3}$
C. $y_{3} > y_{1} > y_{2}$
D. $y_{1} > y_{3} > y_{2}$
A. $y_{1} > y_{2} > y_{3}$
B. $y_{1} < y_{2} < y_{3}$
C. $y_{3} > y_{1} > y_{2}$
D. $y_{1} > y_{3} > y_{2}$
答案:
D
12.函数$y = ax^{2}+c$与$y = ax + c(a \neq 0)$在同一平面直角坐标系内的图象大致是 ( )
答案:
B
13.如图是函数①$y = ax^{2}$,②$y = bx^{2}$,③$y = cx^{2}$,④$y = dx^{2}$的图象,比较$a,b,c,d$的大小:__________.(用“>”连接)
答案:
$a > b > d > c$
14.如图,抛物线$y = -\frac{1}{2}x^{2}+c$与$x$轴交于$A、B$两点,与$y$轴交于点$C$,且$\triangle ABC$是等腰直角三角形,求抛物线的表达式.
答案:
解:当$x = 0$时,$y = c$,
当$y = 0$时,$x = \pm\sqrt{2c}$,
$\therefore A(-\sqrt{2c},0),B(\sqrt{2c},0),C(0,c)$,
$\therefore OA = OB = \sqrt{2c}$,$OC = c$,
$\because\triangle ABC$为等腰直角三角形,
$\therefore OA = OC = OB$,
即$c = \sqrt{2c}$,$\therefore c^{2}-2c = 0$,
解得$c_{1}=2$,$c_{2}=0$(舍去),
$\therefore$抛物线的表达式为$y = -\frac{1}{2}x^{2}+2$.
当$y = 0$时,$x = \pm\sqrt{2c}$,
$\therefore A(-\sqrt{2c},0),B(\sqrt{2c},0),C(0,c)$,
$\therefore OA = OB = \sqrt{2c}$,$OC = c$,
$\because\triangle ABC$为等腰直角三角形,
$\therefore OA = OC = OB$,
即$c = \sqrt{2c}$,$\therefore c^{2}-2c = 0$,
解得$c_{1}=2$,$c_{2}=0$(舍去),
$\therefore$抛物线的表达式为$y = -\frac{1}{2}x^{2}+2$.
15.[2023朔州开发区元博中学月考改编]小明同学遇到一个问题:已知$A,B$两点坐标分别为(2, 4),(0, 1),点$M$在抛物线$y = \frac{1}{4}x^{2}$上运动,求$AM + BM$的最小值. 为此他查阅并摘录了一些资料.
请阅读资料并帮助小明解决问题.
资料一:
我们把平面内与一个定点$F$和一条定直线$l$($l$不经过点$F$)的距离相等的点的轨迹叫做抛物线.
资料二:
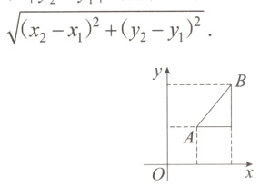
如图,以$A(x_{1}, y_{1})$,$B(x_{2}, y_{2})$为端点的线段可以看作直角边边长分别为$|x_{2}-x_{1}|$和$|y_{2}-y_{1}|$的直角三角形的斜边,故$AB = \sqrt{(x_{2}-x_{1})^{2}+(y_{2}-y_{1})^{2}}$.
设点$M(m, \frac{1}{4}m^{2})$.
(1)用含有$m$的式子表示$BM =$__________;
(2)根据(1)中的结果分析,抛物线$y = \frac{1}{4}x^{2}$上的点与定点$B(0, 1)$和平行于$x$轴的定直线$y =$__________的距离相等;
(3)当$m =$__________时,$AM + BM$取得最小值,最小值为__________.
请阅读资料并帮助小明解决问题.
资料一:
我们把平面内与一个定点$F$和一条定直线$l$($l$不经过点$F$)的距离相等的点的轨迹叫做抛物线.
资料二:
如图,以$A(x_{1}, y_{1})$,$B(x_{2}, y_{2})$为端点的线段可以看作直角边边长分别为$|x_{2}-x_{1}|$和$|y_{2}-y_{1}|$的直角三角形的斜边,故$AB = \sqrt{(x_{2}-x_{1})^{2}+(y_{2}-y_{1})^{2}}$.
设点$M(m, \frac{1}{4}m^{2})$.
(1)用含有$m$的式子表示$BM =$__________;
(2)根据(1)中的结果分析,抛物线$y = \frac{1}{4}x^{2}$上的点与定点$B(0, 1)$和平行于$x$轴的定直线$y =$__________的距离相等;
(3)当$m =$__________时,$AM + BM$取得最小值,最小值为__________.
答案:
(1)$\frac{1}{4}m^{2}+1$
(2)-1
(3)2;5
详解:
(1)$BM=\sqrt{m^{2}+(\frac{1}{4}m^{2}-1)^{2}}=\sqrt{\frac{1}{16}m^{4}+\frac{1}{2}m^{2}+1}=\frac{1}{4}m^{2}+1$.
(2)$\because$点M在x轴上方,其纵坐标为$\frac{1}{4}m^{2}$,
$\therefore$点M到x轴的距离为$\frac{1}{4}m^{2}$,
$\because BM=\frac{1}{4}m^{2}+1$,
$\therefore$点M到平行于x轴的定直线的距离为$\frac{1}{4}m^{2}+1$.
$\therefore$平行于x轴的定直线为$y = -1$.
(3)由
(2)和资料可知,$AM + BM$等于A,M两点间的距离与点M到直线$y = -1$的距离之和,显然,当AM垂直于直线$y = -1$时距离之和最小,最小距离之和为点$A(2,4)$到直线$y = -1$的距离,即当$m = 2$时,$AM + BM$取最小值,为$4-(-1)=5$.
(1)$\frac{1}{4}m^{2}+1$
(2)-1
(3)2;5
详解:
(1)$BM=\sqrt{m^{2}+(\frac{1}{4}m^{2}-1)^{2}}=\sqrt{\frac{1}{16}m^{4}+\frac{1}{2}m^{2}+1}=\frac{1}{4}m^{2}+1$.
(2)$\because$点M在x轴上方,其纵坐标为$\frac{1}{4}m^{2}$,
$\therefore$点M到x轴的距离为$\frac{1}{4}m^{2}$,
$\because BM=\frac{1}{4}m^{2}+1$,
$\therefore$点M到平行于x轴的定直线的距离为$\frac{1}{4}m^{2}+1$.
$\therefore$平行于x轴的定直线为$y = -1$.
(3)由
(2)和资料可知,$AM + BM$等于A,M两点间的距离与点M到直线$y = -1$的距离之和,显然,当AM垂直于直线$y = -1$时距离之和最小,最小距离之和为点$A(2,4)$到直线$y = -1$的距离,即当$m = 2$时,$AM + BM$取最小值,为$4-(-1)=5$.
查看更多完整答案,请扫码查看