2026年新高考5年真题化学河北专版
注:目前有些书本章节名称可能整理的还不是很完善,但都是按照顺序排列的,请同学们按照顺序仔细查找。练习册 2026年新高考5年真题化学河北专版 答案主要是用来给同学们做完题方便对答案用的,请勿直接抄袭。
第31页
- 第1页
- 第2页
- 第3页
- 第4页
- 第5页
- 第6页
- 第7页
- 第8页
- 第9页
- 第10页
- 第11页
- 第12页
- 第13页
- 第14页
- 第15页
- 第16页
- 第17页
- 第18页
- 第19页
- 第20页
- 第21页
- 第22页
- 第23页
- 第24页
- 第25页
- 第26页
- 第27页
- 第28页
- 第29页
- 第30页
- 第31页
- 第32页
- 第33页
- 第34页
- 第35页
- 第36页
- 第37页
- 第38页
- 第39页
- 第40页
- 第41页
- 第42页
- 第43页
- 第44页
- 第45页
- 第46页
- 第47页
- 第48页
- 第49页
- 第50页
- 第51页
- 第52页
- 第53页
- 第54页
- 第55页
- 第56页
- 第57页
- 第58页
- 第59页
- 第60页
- 第61页
- 第62页
- 第63页
- 第64页
- 第65页
- 第66页
- 第67页
- 第68页
- 第69页
- 第70页
- 第71页
- 第72页
- 第73页
- 第74页
- 第75页
- 第76页
- 第77页
- 第78页
- 第79页
- 第80页
- 第81页
- 第82页
- 第83页
- 第84页
- 第85页
- 第86页
- 第87页
- 第88页
- 第89页
- 第90页
- 第91页
- 第92页
- 第93页
- 第94页
- 第95页
- 第96页
- 第97页
- 第98页
- 第99页
- 第100页
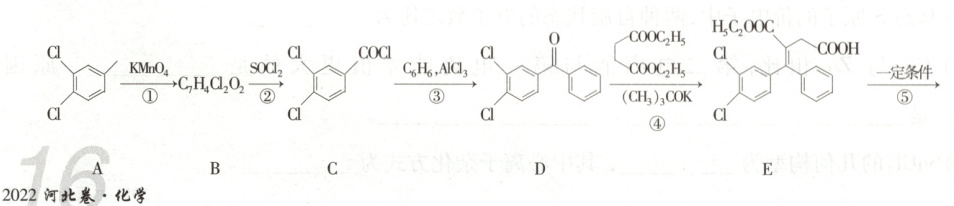
18. [选修5:有机化学基础](15分)
舍曲林(Sertraline)是一种选择性5 - 羟色胺再摄取抑制剂,用于治疗抑郁症,其合成路线之一如下:


已知:
(ⅰ)手性碳原子是指连有四个不同原子或原子团的碳原子

回答下列问题:
(1)①的反应类型为。
(2)B的化学名称为。
(3)写出一种能同时满足下列条件的D的芳香族同分异构体的结构简式。
(a)红外光谱显示有C = O键;
(b)核磁共振氢谱有两组峰,峰面积比为1 : 1。
(4)合成路线中,涉及手性碳原子生成的反应步骤为、(填反应步骤序号)。
(5)H $\xrightarrow{}$ I的化学方程式为;该反应可能生成与I互为同分异构体的两种副产物,其中任意一种的结构简式为(不考虑立体异构)。
(6)W是一种姜黄素类似物,以香兰素(
)和环己烯(
为原料,设计合成W的路线(无机及两个碳以下的有机试剂任选)。 ______ 。

舍曲林(Sertraline)是一种选择性5 - 羟色胺再摄取抑制剂,用于治疗抑郁症,其合成路线之一如下:
已知:
(ⅰ)手性碳原子是指连有四个不同原子或原子团的碳原子
回答下列问题:
(1)①的反应类型为。
(2)B的化学名称为。
(3)写出一种能同时满足下列条件的D的芳香族同分异构体的结构简式。
(a)红外光谱显示有C = O键;
(b)核磁共振氢谱有两组峰,峰面积比为1 : 1。
(4)合成路线中,涉及手性碳原子生成的反应步骤为、(填反应步骤序号)。
(5)H $\xrightarrow{}$ I的化学方程式为;该反应可能生成与I互为同分异构体的两种副产物,其中任意一种的结构简式为(不考虑立体异构)。
(6)W是一种姜黄素类似物,以香兰素(
答案:
(1)氧化反应
(2)$3,4-$二氯苯甲酸
(3)
(4)⑥ ⑨
(5)
(6)
可由
和
按物质的量之比为$1:2$发生已知信息(ⅲ)中反应得到,
可由
发生催化氧化反应得到,
可由
和${H_{2}O}$发生加成反应得到。
命题意图本题考查有机化学基础,涉及反应类型、反应方程式书写、有机合成路线设计等知识,考查考生对有机物结构与转化的基本知识和基本原理的理解和应用,体现了“证据推理与模型认知”化学学科核心素养。
解题思路根据A、C的结构简式及B的分子式知,A中甲基被酸性高锰酸钾溶液氧化生成${-COOH}$,B为
,B中${-OH}$被氯原子取代生成C,C和苯发生取代反应生成D,D的羰基氧原子被取代生成E,E在一定条件下发生反应生成F,F中碳碳双键和氢气发生加成反应生成G,根据H的分子式知,G中${-OH}$被氯原子取代生成H为
,H发生③类型的反应生成
I,根据Sertraline的结构简式知,I为
,I发生已知信息(ⅱ)的反应生成Sertraline。
(1)①是A(
)中甲基被${KMnO_{4}}$氧化为羧基生成B(
),反应类型为氧化反应。
(2)B的结构简式是
,化学名称为$3,4-$二氯苯甲酸。
(3)从D的结构简式可知,其分子式为${C_{13}H_{8}Cl_{2}O}$,能满足核磁共振氢谱两组峰且峰面积比为$1:1$的结构应是高度对称结构,又含有${C=O}$,则该芳香族同分异构体的结构简式如上述图片所示。
(4)手性碳原子指连接四个不同原子或原子团的碳原子,题给合成路线中涉及手性碳原子的物质是G(
)、H(
)、I(
)和Sertraline(
),则涉及手性碳原子生成的反应路线是G和Sertraline的生成,即路线⑥和⑨。
(5)H→I为H分子脱去1个${HCl}$,如图
,1、2、3、4号位的H均可和Cl脱去,其中3、4号位的H等效,因此副产物的结构简式如上述图片所示。
(6)运用逆合成分析法,结合已知信息,倒推中间产物,确定合成路线。目标产物如上述图片所示,可由上述对应图片物质按物质的量之比为$1:2$发生已知信息(ⅲ)中反应得到,对应中间产物可由相应反应物通过催化氧化、加成等反应逐步得到。
(1)氧化反应
(2)$3,4-$二氯苯甲酸
(3)
(4)⑥ ⑨
(5)
(6)
命题意图本题考查有机化学基础,涉及反应类型、反应方程式书写、有机合成路线设计等知识,考查考生对有机物结构与转化的基本知识和基本原理的理解和应用,体现了“证据推理与模型认知”化学学科核心素养。
解题思路根据A、C的结构简式及B的分子式知,A中甲基被酸性高锰酸钾溶液氧化生成${-COOH}$,B为
(1)①是A(
(2)B的结构简式是
(3)从D的结构简式可知,其分子式为${C_{13}H_{8}Cl_{2}O}$,能满足核磁共振氢谱两组峰且峰面积比为$1:1$的结构应是高度对称结构,又含有${C=O}$,则该芳香族同分异构体的结构简式如上述图片所示。
(4)手性碳原子指连接四个不同原子或原子团的碳原子,题给合成路线中涉及手性碳原子的物质是G(
(5)H→I为H分子脱去1个${HCl}$,如图
(6)运用逆合成分析法,结合已知信息,倒推中间产物,确定合成路线。目标产物如上述图片所示,可由上述对应图片物质按物质的量之比为$1:2$发生已知信息(ⅲ)中反应得到,对应中间产物可由相应反应物通过催化氧化、加成等反应逐步得到。
查看更多完整答案,请扫码查看