2026年新高考5年真题化学河北专版
注:目前有些书本章节名称可能整理的还不是很完善,但都是按照顺序排列的,请同学们按照顺序仔细查找。练习册 2026年新高考5年真题化学河北专版 答案主要是用来给同学们做完题方便对答案用的,请勿直接抄袭。
第16页
- 第1页
- 第2页
- 第3页
- 第4页
- 第5页
- 第6页
- 第7页
- 第8页
- 第9页
- 第10页
- 第11页
- 第12页
- 第13页
- 第14页
- 第15页
- 第16页
- 第17页
- 第18页
- 第19页
- 第20页
- 第21页
- 第22页
- 第23页
- 第24页
- 第25页
- 第26页
- 第27页
- 第28页
- 第29页
- 第30页
- 第31页
- 第32页
- 第33页
- 第34页
- 第35页
- 第36页
- 第37页
- 第38页
- 第39页
- 第40页
- 第41页
- 第42页
- 第43页
- 第44页
- 第45页
- 第46页
- 第47页
- 第48页
- 第49页
- 第50页
- 第51页
- 第52页
- 第53页
- 第54页
- 第55页
- 第56页
- 第57页
- 第58页
- 第59页
- 第60页
- 第61页
- 第62页
- 第63页
- 第64页
- 第65页
- 第66页
- 第67页
- 第68页
- 第69页
- 第70页
- 第71页
- 第72页
- 第73页
- 第74页
- 第75页
- 第76页
- 第77页
- 第78页
- 第79页
- 第80页
- 第81页
- 第82页
- 第83页
- 第84页
- 第85页
- 第86页
- 第87页
- 第88页
- 第89页
- 第90页
- 第91页
- 第92页
- 第93页
- 第94页
- 第95页
- 第96页
- 第97页
- 第98页
- 第99页
- 第100页
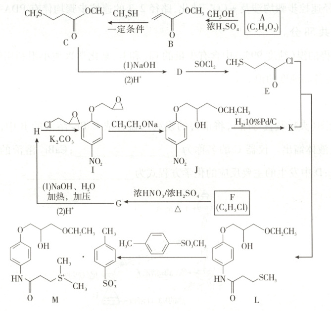
18. (14分)甲磺司特(M)是一种在临床上治疗支气管哮喘、特应性皮炎和过敏性鼻炎等疾病的药物。M的一种合成路线如下(部分试剂和条件省略)。

回答下列问题:
(1)A的化学名称为
(2)B→C的反应类型为
(3)D的结构简式为
(4)由F生成G的化学方程式为
(5)G与H相比,H的熔、沸点更高,原因为
(6)K与E反应生成L,新构筑官能团的名称为
(7)同时满足下列条件的I的同分异构体共有
(a)核磁共振氢谱显示为4组峰,且峰面积比为3 : 2 : 2 : 2;
(b)红外光谱中存在C = O和硝基苯基(
)吸收峰。
其中,可以通过水解反应得到化合物H的同分异构体的结构简式为
回答下列问题:
(1)A的化学名称为
丙烯酸
。(2)B→C的反应类型为
加成反应
。(3)D的结构简式为
CH₃SCOOH
。(4)由F生成G的化学方程式为
Cl苯环 + HNO₃ → ClNO₂苯环 + H₂O
。(5)G与H相比,H的熔、沸点更高,原因为
H中含有羟基,可以形成分子间氢键
。(6)K与E反应生成L,新构筑官能团的名称为
酰胺基
。(7)同时满足下列条件的I的同分异构体共有
6
种。(a)核磁共振氢谱显示为4组峰,且峰面积比为3 : 2 : 2 : 2;
(b)红外光谱中存在C = O和硝基苯基(
其中,可以通过水解反应得到化合物H的同分异构体的结构简式为
CH₃CH₂COO苯环NO₂
。
答案:
18. 参考答案
(1)丙烯酸
(2)加成反应
(3)
(4)
(5)H中含有羟基,可以形成分子间氢键
(6)酰胺基
(7)
命题意图 本题以甲磺司特的合成路线为素材,涉及有机反应类型、化学方程式的书写、同分异构体等知识,梳理有机合成流程是解题关键,意在考查考生的推理判断能力,体现了“证据推理与模型认知”化学学科核心素养。
解题思路
(1)$ A$与${CH_{3}OH}$在浓${H_{2}SO_{4}}$作用下生成了含有酯基的 B,将 B中的酯基断开
,结合 A的分子式可知, A的结构简式为
其化学名称为丙烯酸。
(2)$ B\to C$中,$— H$和$— SCH_{3}$分别加到碳碳双键上,反应类型为加成反应。
(3) C中含有酯基,在碱性条件下可水解,酸化后形成对应羧酸,因此$ D$的结构简式为
(4)结合 I的结构简式可知,F的结构中含有苯环,结合 F的分子式可知, F为氯苯(
), F发生硝化反应,结合 I中苯环上两个取代基位于对位可知, G为
,因此 F生成G的化学方程式为

(5)${NaOH}$、${H_{2}O}$、加热,加压条件下可将碳卤键水解为羟基,由于 G中的卤素原子在苯环上,水解后得到的羟基为酚羟基,在碱性条件下以酚钠的形式存在,进一步加酸酸化后转化为酚,因此 H为
,其中含酚羟基,可以形成分子间氢键,$ G$不能形成分子间氢键,故$ H$的熔、沸点更高。
(6)对比$ J$、$ E$、$ L$的结构,$ J$中除硝基、$ E$中除$— COCl$(酰氯基)以外的结构均出现在$ L$中,未发生变化,则$ L$中的酰胺基(
)是新构筑的官能团[提示:由$ J\to K$的条件(${H_{2}}$,$10\%\ Pd/C$)可知,$ J\to K$为还原反应,$ J$中的硝基($— NO_{2}$)被还原为$ K$中的氨基($— NH_{2}$),$ K$中的氨基与$ E$中的酰氯基反应形成酰胺基]。
(7)由题给条件知,$ I$的同分异构体中存在${C\xlongequal{}O}$和
${\overset{ NO_{2}}{ }}$,根据$ I$的结构简式可知,其同分异构体(记为$ I'$)除含有一个对硝基苯基(
${\overset{ NO_{2}}{ }}$)外,还有3个${C}$、2个${O}$,不饱和度为1,再除去$ I'$中还含有的${C\xlongequal{}O}$,还剩2个${C}$和1个${O}$,对硝基苯基中有两种${H}$,个数比为$2:2$,则核磁共振氢谱中剩余的两组峰(个数比为$3:2$)分别属于一个甲基($— CH_{3}$)和一个亚甲基($— CH_{2}—$)。综上,$ I'$的结构中包含以下结构各一个:甲基($— CH_{3}$)、亚甲基($— CH_{2}—$)、羰基(
)、饱和${O}$原子(${O}$)、对硝基苯基(
${\overset{ NO_{2}}{ }}$),其中甲基和对硝基苯基分居$ I'$两端,剩余三个基团共有
${—CH_{2}—O—\overset{\overset{ O}{||}}{C}—}$、${—CH_{2}—\overset{\overset{ O}{||}}{C}—O—}$、${—O—\overset{\overset{ O}{||}}{C}—CH_{2}—}$、${—\overset{\overset{ O}{||}}{C}—O—CH_{2}—}$、${—\overset{\overset{ O}{||}}{C}—CH_{2}—O—}$、${—O—CH_{2}—\overset{\overset{ O}{||}}{C}—}$6种组合形式。若要水解得到${H(HO\overset{ NO_{2}}{ })}$,则$ I'$须存在
结构
${—\overset{\overset{ O}{||}}{C}—O—\overset{ NO_{2}}{ }}$,故$ I'$为${CH_{3}CH_{2}\overset{\overset{ O}{||}}{C}O\overset{ NO_{2}}{ }}$。
18. 参考答案
(1)丙烯酸
(2)加成反应
(3)
(4)
(5)H中含有羟基,可以形成分子间氢键
(6)酰胺基
(7)
命题意图 本题以甲磺司特的合成路线为素材,涉及有机反应类型、化学方程式的书写、同分异构体等知识,梳理有机合成流程是解题关键,意在考查考生的推理判断能力,体现了“证据推理与模型认知”化学学科核心素养。
解题思路
(1)$ A$与${CH_{3}OH}$在浓${H_{2}SO_{4}}$作用下生成了含有酯基的 B,将 B中的酯基断开
,结合 A的分子式可知, A的结构简式为
(2)$ B\to C$中,$— H$和$— SCH_{3}$分别加到碳碳双键上,反应类型为加成反应。
(3) C中含有酯基,在碱性条件下可水解,酸化后形成对应羧酸,因此$ D$的结构简式为
(4)结合 I的结构简式可知,F的结构中含有苯环,结合 F的分子式可知, F为氯苯(
(5)${NaOH}$、${H_{2}O}$、加热,加压条件下可将碳卤键水解为羟基,由于 G中的卤素原子在苯环上,水解后得到的羟基为酚羟基,在碱性条件下以酚钠的形式存在,进一步加酸酸化后转化为酚,因此 H为
(6)对比$ J$、$ E$、$ L$的结构,$ J$中除硝基、$ E$中除$— COCl$(酰氯基)以外的结构均出现在$ L$中,未发生变化,则$ L$中的酰胺基(
(7)由题给条件知,$ I$的同分异构体中存在${C\xlongequal{}O}$和
查看更多完整答案,请扫码查看