2025年暑假作业江西教育出版社七年级合订本北师大版
注:目前有些书本章节名称可能整理的还不是很完善,但都是按照顺序排列的,请同学们按照顺序仔细查找。练习册 2025年暑假作业江西教育出版社七年级合订本北师大版 答案主要是用来给同学们做完题方便对答案用的,请勿直接抄袭。
第75页
- 第1页
- 第2页
- 第3页
- 第4页
- 第5页
- 第6页
- 第7页
- 第8页
- 第9页
- 第10页
- 第11页
- 第12页
- 第13页
- 第14页
- 第15页
- 第16页
- 第17页
- 第18页
- 第19页
- 第20页
- 第21页
- 第22页
- 第23页
- 第24页
- 第25页
- 第26页
- 第27页
- 第28页
- 第29页
- 第30页
- 第31页
- 第32页
- 第33页
- 第34页
- 第35页
- 第36页
- 第37页
- 第38页
- 第39页
- 第40页
- 第41页
- 第42页
- 第43页
- 第44页
- 第45页
- 第46页
- 第47页
- 第48页
- 第49页
- 第50页
- 第51页
- 第52页
- 第53页
- 第54页
- 第55页
- 第56页
- 第57页
- 第58页
- 第59页
- 第60页
- 第61页
- 第62页
- 第63页
- 第64页
- 第65页
- 第66页
- 第67页
- 第68页
- 第69页
- 第70页
- 第71页
- 第72页
- 第73页
- 第74页
- 第75页
- 第76页
- 第77页
- 第78页
- 第79页
- 第80页
- 第81页
- 第82页
- 第83页
- 第84页
- 第85页
- 第86页
- 第87页
- 第88页
- 第89页
- 第90页
- 第91页
- 第92页
- 第93页
- 第94页
- 第95页
- 第96页
- 第97页
- 第98页
- 第99页
- 第100页
- 第101页
- 第102页
- 第103页
- 第104页
- 第105页
- 第106页
- 第107页
- 第108页
- 第109页
- 第110页
- 第111页
- 第112页
1. 如图,若将三角形纸片ABC折叠,使得点B恰好落在BC边上的点$B'$处,折痕为AD,则下列结论正确的是()

A. $AD\perp BC$
B. $\angle BAD= \angle CAD$
C. $BB'= CB'$
D. $\angle BAB'= \angle CAB'$
A. $AD\perp BC$
B. $\angle BAD= \angle CAD$
C. $BB'= CB'$
D. $\angle BAB'= \angle CAB'$
答案:
D
2. 如图,在三角形纸片ABC中,$\angle A= 65^{\circ}$,$\angle B= 70^{\circ}$。将$\angle C$沿DE对折,使点C落在$\triangle ABC外的点C'$处。若$\angle 1= 20^{\circ}$,则$\angle 2= $()

A. $80^{\circ}$
B. $90^{\circ}$
C. $100^{\circ}$
D. $110^{\circ}$
A. $80^{\circ}$
B. $90^{\circ}$
C. $100^{\circ}$
D. $110^{\circ}$
答案:
A
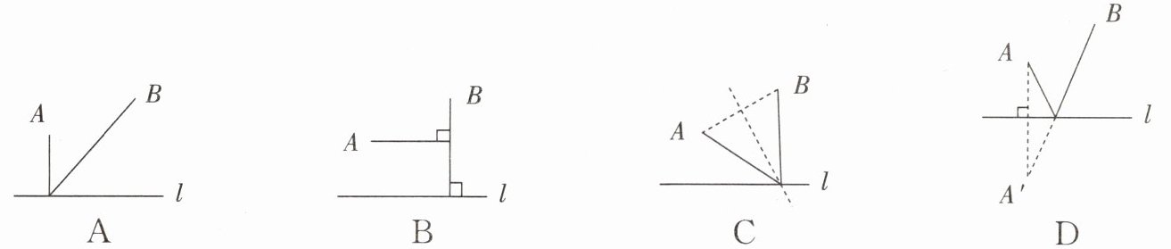
3. 已知直线l代表一条公路,A,B两点代表两个村庄,欲在公路上的某点处修建一个车站。现有如下四种修建方案,若图中实线表示修建的道路,则修建道路最短的方案是()

答案:
D
4. 如图,将三角形纸片ABC沿DE折叠,使点A落在点$A'$处,且$BA'平分\angle ABC$,$CA'平分\angle ACB$。若$\angle BA'C= 115^{\circ}$,则$\angle 1+\angle 2= $______$^{\circ}$。

答案:
$100$
5. 如图,两个四边形关于直线l对称,$\angle C= 90^{\circ}$,求出a,b的长度和$\angle G$的度数。

答案:
【解析】:根据轴对称的性质,成轴对称的两个图形全等,对应边相等,对应角相等。
已知两个四边形关于直线$l$对称,所以四边形$ABCD$≌四边形$FEHG$。
那么$a = 5cm$,$b = 4cm$。
四边形内角和为$360^{\circ}$,在四边形$FEHG$中,$\angle E = 135^{\circ}$,$\angle F$与$\angle A$对应相等,$\angle F=\angle A = 80^{\circ}$,$\angle H$与$\angle C$对应相等,$\angle H=\angle C = 90^{\circ}$。
所以$\angle G=360^{\circ}-\angle E - \angle F - \angle H = 360^{\circ}-135^{\circ}-80^{\circ}-90^{\circ}=55^{\circ}$。
【答案】:$a = 5cm$,$b = 4cm$,$\angle G = 55^{\circ}$
已知两个四边形关于直线$l$对称,所以四边形$ABCD$≌四边形$FEHG$。
那么$a = 5cm$,$b = 4cm$。
四边形内角和为$360^{\circ}$,在四边形$FEHG$中,$\angle E = 135^{\circ}$,$\angle F$与$\angle A$对应相等,$\angle F=\angle A = 80^{\circ}$,$\angle H$与$\angle C$对应相等,$\angle H=\angle C = 90^{\circ}$。
所以$\angle G=360^{\circ}-\angle E - \angle F - \angle H = 360^{\circ}-135^{\circ}-80^{\circ}-90^{\circ}=55^{\circ}$。
【答案】:$a = 5cm$,$b = 4cm$,$\angle G = 55^{\circ}$
查看更多完整答案,请扫码查看