第67页
- 第1页
- 第2页
- 第3页
- 第4页
- 第5页
- 第6页
- 第7页
- 第8页
- 第9页
- 第10页
- 第11页
- 第12页
- 第13页
- 第14页
- 第15页
- 第16页
- 第17页
- 第18页
- 第19页
- 第20页
- 第21页
- 第22页
- 第23页
- 第24页
- 第25页
- 第26页
- 第27页
- 第28页
- 第29页
- 第30页
- 第31页
- 第32页
- 第33页
- 第34页
- 第35页
- 第36页
- 第37页
- 第38页
- 第39页
- 第40页
- 第41页
- 第42页
- 第43页
- 第44页
- 第45页
- 第46页
- 第47页
- 第48页
- 第49页
- 第50页
- 第51页
- 第52页
- 第53页
- 第54页
- 第55页
- 第56页
- 第57页
- 第58页
- 第59页
- 第60页
- 第61页
- 第62页
- 第63页
- 第64页
- 第65页
- 第66页
- 第67页
- 第68页
- 第69页
- 第70页
- 第71页
- 第72页
- 第73页
- 第74页
- 第75页
- 第76页
- 第77页
- 第78页
- 第79页
- 第80页
- 第81页
- 第82页
- 第83页
- 第84页
- 第85页
- 第86页
- 第87页
- 第88页
- 第89页
- 第90页
- 第91页
- 第92页
- 第93页
- 第94页
- 第95页
- 第96页
- 第97页
- 第98页
- 第99页
- 第100页
- 第101页
- 第102页
- 第103页
- 第104页
- 第105页
- 第106页
- 第107页
- 第108页
- 第109页
- 第110页
- 第111页
- 第112页
- 第113页
- 第114页
- 第115页
- 第116页
- 第117页
- 第118页
- 第119页
9. 如图所示是小明在练习测量电流时连接的电路,电路的连接存在错误,下列操作及说法正确的是 (

A.撤去导线a,电流表测量的是电路的总电流
B.撤去导线a,电流表测量的是小灯泡$L_1$的电流
C.撤去导线b,电流表测量的是小灯泡$L_2$的电流
D.撤去导线c,电流表测量的是小灯泡$L_2$的电流
D
)A.撤去导线a,电流表测量的是电路的总电流
B.撤去导线a,电流表测量的是小灯泡$L_1$的电流
C.撤去导线b,电流表测量的是小灯泡$L_2$的电流
D.撤去导线c,电流表测量的是小灯泡$L_2$的电流
答案:
D
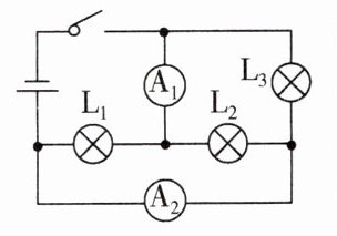
10. 在如图所示的电路中,下列说法正确的是 (

D
)A. $L_{1}$、$L_{2}$、$L_{3}$串联
B. $L_{2}$、$L_{3}$并联,再与$L_{1}$串联
C. 电流表$A_{2}$测$L_{3}$的电流
D. 电流表$A_{1}$测$L_{1}$、$L_{2}$并联的总电流
答案:
1. 首先分析电路连接方式:
电流从电源正极流出,经过开关后,分为三条支路,一条支路经过$L_1$,一条支路经过$A_2$和$L_2$,一条支路经过$L_3$,然后汇合经过$A_1$回到电源负极。
所以$L_1$、$L_2$、$L_3$是并联关系。
2. 然后分析电流表测量对象:
电流表$A_1$测$L_1$、$L_2$的总电流;
电流表$A_2$与$L_2$串联,测$L_2$的电流。
3. 最后看选项:
$A$选项:$L_1$、$L_2$、$L_3$是并联,不是串联,$A$错误。
$B$选项:$L_1$、$L_2$、$L_3$是并联,不是$L_2$、$L_3$并联再与$L_1$串联,$B$错误。
$C$选项:电流表$A_2$测$L_2$的电流,不是$L_3$的电流,$C$错误。
$D$选项:电流表$A_1$测$L_1$、$L_2$的总电流,$D$正确。
答案:$D$。
电流从电源正极流出,经过开关后,分为三条支路,一条支路经过$L_1$,一条支路经过$A_2$和$L_2$,一条支路经过$L_3$,然后汇合经过$A_1$回到电源负极。
所以$L_1$、$L_2$、$L_3$是并联关系。
2. 然后分析电流表测量对象:
电流表$A_1$测$L_1$、$L_2$的总电流;
电流表$A_2$与$L_2$串联,测$L_2$的电流。
3. 最后看选项:
$A$选项:$L_1$、$L_2$、$L_3$是并联,不是串联,$A$错误。
$B$选项:$L_1$、$L_2$、$L_3$是并联,不是$L_2$、$L_3$并联再与$L_1$串联,$B$错误。
$C$选项:电流表$A_2$测$L_2$的电流,不是$L_3$的电流,$C$错误。
$D$选项:电流表$A_1$测$L_1$、$L_2$的总电流,$D$正确。
答案:$D$。
11. 在如图所示的电路中,有两根导线尚未连接,请用笔画线代替导线连接电路,要求$:L_1$和$L_2$并联,开关S控制$L_1,$电流表测$L_2$的电流.并请标出电源的“+”“-”.

答案:
如图所示
如图所示
12. 如图所示,在用电流表测电流的实验中:

(1)电流表应先用 量程试触.
(2)若某同学连接的电路如图甲所示,则电流表测的是灯 的电流.闭合开关后,如果电流表的示数如图乙所示,则通过该灯的电流是 mA.
(3)只需改动一根导线就可测得总电流,请在图中用“×”指出需改动的导线,并在原图中画出正确的电路连线.
(4)若闭合开关后,灯均亮,电流表指针不发生偏转,那么原因可能是 .
A. 电流表内部断路
B. 开关处接触不良
C. 电流表被短接
D. 电源供电不足
(1)电流表应先用 量程试触.
(2)若某同学连接的电路如图甲所示,则电流表测的是灯 的电流.闭合开关后,如果电流表的示数如图乙所示,则通过该灯的电流是 mA.
(3)只需改动一根导线就可测得总电流,请在图中用“×”指出需改动的导线,并在原图中画出正确的电路连线.
(4)若闭合开关后,灯均亮,电流表指针不发生偏转,那么原因可能是 .
A. 电流表内部断路
B. 开关处接触不良
C. 电流表被短接
D. 电源供电不足
答案:
(1)0~3 A(或大)
(2)L₂ 460
(3)见解析图
(4)C 解析:
(1)在不能确定被测电流的大小时,电流表应先用0~3 A(或大)量程试触.
(2)若某同学连接的电路如题图甲所示,分析实物图,电流表与L₂串联,即电流表测量灯L₂的电流;闭合开关后,如果电流表的示数如题图乙所示,电流表使用小量程,分度值为0.02 A,电流表读数即通过该灯的电流是0.46 A,0.46 A=460 mA.
(3)将L₁右端连接到电流表的导线改接到电流表的负接线柱,此时电流表在干路上,即电流表测量干路电流,如图所示.
(4)若闭合开关后,灯均亮,电流表指针不发生偏转.A. 电流表内部断路时,电路断路,灯L₂不会亮,故A错误;B. 开关处接触不良时,也是断路,两灯不会亮,故B错误;C. 电流表被短接时,电流仍能通过灯L₂,而电流表无示数,故C正确;D. 电源供电不足时,仍有电流通过电流表,电流表也应有示数,故D错误.故选C.
(1)0~3 A(或大)
(2)L₂ 460
(3)见解析图
(4)C 解析:
(1)在不能确定被测电流的大小时,电流表应先用0~3 A(或大)量程试触.
(2)若某同学连接的电路如题图甲所示,分析实物图,电流表与L₂串联,即电流表测量灯L₂的电流;闭合开关后,如果电流表的示数如题图乙所示,电流表使用小量程,分度值为0.02 A,电流表读数即通过该灯的电流是0.46 A,0.46 A=460 mA.
(3)将L₁右端连接到电流表的导线改接到电流表的负接线柱,此时电流表在干路上,即电流表测量干路电流,如图所示.
(4)若闭合开关后,灯均亮,电流表指针不发生偏转.A. 电流表内部断路时,电路断路,灯L₂不会亮,故A错误;B. 开关处接触不良时,也是断路,两灯不会亮,故B错误;C. 电流表被短接时,电流仍能通过灯L₂,而电流表无示数,故C正确;D. 电源供电不足时,仍有电流通过电流表,电流表也应有示数,故D错误.故选C.
13. 如图所示,电路中所有元件均完好,其中$L_1、$$L_2、$$L_3$为三个完全相同的发光二极管,二极管具有单向导电性,电流只能从其正极流入、负极流出.则开关S闭合后,下列说法正确的是 (

$A. L_1、$$L_2、$$L_3$并联,且都发光
$B. 电流表$A_2$测干路电流$C. L_2$与$L_3$并联$,L_1$不发光$D. 电流表$A_1$测通过$L_3$的电流
D
)$A. L_1、$$L_2、$$L_3$并联,且都发光
$B. 电流表$A_2$测干路电流$C. L_2$与$L_3$并联$,L_1$不发光$D. 电流表$A_1$测通过$L_3$的电流
答案:
D 解析:发光二极管具有单向导电性,由图得,开关闭合时,L₁、L₃并联,L₂不发光,故AC错误;电流表A₁、A₂分别测量L₃、L₁电流,故D正确,B错误.故选D.
14. 请你设计一个电路图,要求将$L_1、$$L_2$并联,开关$S_1$作为总开关$,S_2$控制灯$L_2,$电流表$A_1$测干路电流,电流表$A_2$测$L_1$所在支路电流,并根据要求在虚线框中画出电路图,再根据电路图用笔画线将实物连接好.

答案:
如图所示
解析:题目中要求两个灯并联,A₁测干路电流,所以A₁要串联在干路中,A₂测通过L₁的电流,所以A₂要与L₁串联,开关S₁作为总开关,串联在干路中,S₂控制灯L₂,S₂与灯L₂串联;连实物图时,首先连接好电源,把两个干电池串联起来,从电源的正极出发,经过开关S₁后分成两条支路,一条支路是A₂与L₁串联,另一条支路L₂与S₂串联,两条支路合成干路,流经电流表A₁回到电源的负极.
如图所示
查看更多完整答案,请扫码查看