1. 函数$y=\frac{1}{\sqrt{x - 2}}$中自变量$x$的取值范围是( )
A. $x>2$
B. $x\geq2$
C. $x<2$
D. $x\neq2$
A. $x>2$
B. $x\geq2$
C. $x<2$
D. $x\neq2$
答案:
A
2. 直线$y = - 3x$向上平移2个单位长度得到的直线是( )
A. $y = 3(x + 2)$
B. $y = - 3(x - 2)$
C. $y = - 3x - 2$
D. $y = - 3x + 2$
A. $y = 3(x + 2)$
B. $y = - 3(x - 2)$
C. $y = - 3x - 2$
D. $y = - 3x + 2$
答案:
D
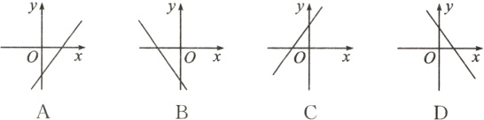
3. 一次函数$y = kx - k(k<0)$的大致图象是( )

答案:
D
4. 已知$(-2,y_1),(-1,y_2),(1,y_3)$都在直线$y = - x + 2$上,则$y_1,y_2,y_3$的值的大小关系是( )
A. $y_1>y_3>y_2$
B. $y_1<y_2<y_3$
C. $y_3>y_1>y_2$
D. $y_1>y_2>y_3$
A. $y_1>y_3>y_2$
B. $y_1<y_2<y_3$
C. $y_3>y_1>y_2$
D. $y_1>y_2>y_3$
答案:
D
5. 关于函数$y = - 2x - 3$,下列结论正确的是( )
A. 图象必经过点$(-1,1)$
B. 图象与$y$轴的交点为$(0,3)$
C. 函数值随$x$的增大而增大
D. 当$-1<x<1$时,$-5<y<-1$
A. 图象必经过点$(-1,1)$
B. 图象与$y$轴的交点为$(0,3)$
C. 函数值随$x$的增大而增大
D. 当$-1<x<1$时,$-5<y<-1$
答案:
D
6. 若直线$y = kx + 2$($k$是常数,$k\neq0$)经过第一、二、三象限,则$k$的值可能为( )
A. -3
B. -2
C. -1
D. 1
A. -3
B. -2
C. -1
D. 1
答案:
A
7. 如图,函数$y = 2x$和$y = ax + 4$的图象相交于点$A(m,3)$,则不等式$2x\geq ax + 4$的解集为( )

A. $x\geq\frac{3}{2}$
B. $x\leq3$
C. $x\leq\frac{3}{2}$
D. $x\geq3$
A. $x\geq\frac{3}{2}$
B. $x\leq3$
C. $x\leq\frac{3}{2}$
D. $x\geq3$
答案:
A
查看更多完整答案,请扫码查看