第28页
- 第1页
- 第2页
- 第3页
- 第4页
- 第5页
- 第6页
- 第7页
- 第8页
- 第9页
- 第10页
- 第11页
- 第12页
- 第13页
- 第14页
- 第15页
- 第16页
- 第17页
- 第18页
- 第19页
- 第20页
- 第21页
- 第22页
- 第23页
- 第24页
- 第25页
- 第26页
- 第27页
- 第28页
- 第29页
- 第30页
- 第31页
- 第32页
- 第33页
- 第34页
- 第35页
- 第36页
- 第37页
- 第38页
- 第39页
- 第40页
- 第41页
- 第42页
- 第43页
- 第44页
- 第45页
- 第46页
- 第47页
- 第48页
- 第49页
- 第50页
- 第51页
- 第52页
- 第53页
- 第54页
- 第55页
- 第56页
- 第57页
- 第58页
- 第59页
- 第60页
- 第61页
- 第62页
- 第63页
- 第64页
- 第65页
- 第66页
- 第67页
- 第68页
- 第69页
- 第70页
- 第71页
- 第72页
- 第73页
1 把函数$y = -3x^{2}$的图像沿$x$轴向左平移5个单位长度,得到的图像的表达式为 ( )
A. $y = -3x^{2}+5$
B. $y = -3x^{2}-5$
C. $y = -3(x + 5)^{2}$
D. $y = -3(x - 5)^{2}$
A. $y = -3x^{2}+5$
B. $y = -3x^{2}-5$
C. $y = -3(x + 5)^{2}$
D. $y = -3(x - 5)^{2}$
答案:
C
2 [教材P33做一做变式]要得到抛物线$y = \frac{1}{3}(x - 4)^{2}$,可将抛物线$y = \frac{1}{3}x^{2}$ ( )
A. 向上平移4个单位长度
B. 向下平移4个单位长度
C. 向右平移4个单位长度
D. 向左平移4个单位长度
A. 向上平移4个单位长度
B. 向下平移4个单位长度
C. 向右平移4个单位长度
D. 向左平移4个单位长度
答案:
C
3 [2023邯郸模拟]下列二次函数中,其图像的对称轴为直线$x = 2$的是 ( )
A. $y = 2x^{2}-2$
B. $y = 2(x + 2)^{2}$
C. $y = 2x^{2}+2$
D. $y = 2(x - 2)^{2}$
A. $y = 2x^{2}-2$
B. $y = 2(x + 2)^{2}$
C. $y = 2x^{2}+2$
D. $y = 2(x - 2)^{2}$
答案:
D
D
4 [2024唐山路北区检测]在平面直角坐标系中,二次函数$y = a(x - h)^{2}(a\neq0)$的图像可能是 ( )

答案:
D
5 [新趋势·结论开放]抛物线$y = 2(x - 1)^{2}$上有一对关于对称轴对称的点,这对点的坐标可以是_______和_______. (写出一对点的坐标即可)
答案:
(0,2)@@(2,2)
6 [2024武汉光谷实验中学检测]已知二次函数$y = -(x + a)^{2}$,当$x\leqslant -4$时,$y$随$x$的增大而增大,当$x\geqslant -4$时,$y$随$x$的增大而减小,当$x = 0$时,$y$的值是_______.
答案:
-16
7 已知二次函数$y = (x - 3)^{2}$图像上的两点$A(3,a)$和$B(m,b)(A,B$两点不重合),则$a$和$b$的大小关系是_______. (用“<”连接)
答案:
a<b
8 [2024沧州一模]将抛物线$y = \frac{1}{2}x^{2}$向左平移3个单位长度,再向下平移1个单位长度,所得抛物线的表达式是 ( )
A. $y = \frac{1}{2}(x - 3)^{2}-1$
B. $y = \frac{1}{2}(x + 3)^{2}+1$
C. $y = \frac{1}{2}(x + 3)^{2}-1$
D. $y = \frac{1}{2}(x - 3)^{2}+1$
A. $y = \frac{1}{2}(x - 3)^{2}-1$
B. $y = \frac{1}{2}(x + 3)^{2}+1$
C. $y = \frac{1}{2}(x + 3)^{2}-1$
D. $y = \frac{1}{2}(x - 3)^{2}+1$
答案:
8
[变式][2024滨州中考]将抛物线$y = -x^{2}$先向右平移1个单位长度,再向上平移2个单位长度,则平移后的抛物线的顶点坐标为_______.
答案:
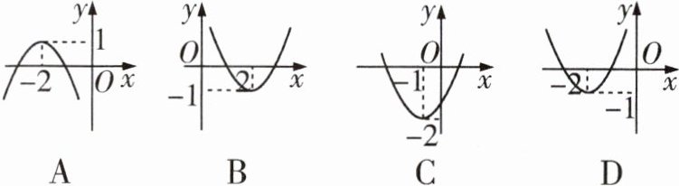
9 二次函数$y = (x + 2)^{2}-1$的图像大致为 ( )

答案:
D
10 [2023邢台期末]若二次函数$y =\square(x + 1)^{2}-6$有最大值,则“$\square$”中可填的数是 ( )
A. 2
B. 1
C. 0
D. -2
A. 2
B. 1
C. 0
D. -2
答案:
D
11 [2024凉山州中考]抛物线$y = \frac{2}{3}(x - 1)^{2}+c$经过$( -2,y_{1}),(0,y_{2}),(\frac{5}{2},y_{3})$三点,则$y_{1},y_{2},y_{3}$的大小关系正确的是 ( )
A. $y_{1} > y_{2} > y_{3}$
B. $y_{2} > y_{3} > y_{1}$
C. $y_{3} > y_{1} > y_{2}$
D. $y_{1} > y_{3} > y_{2}$
A. $y_{1} > y_{2} > y_{3}$
B. $y_{2} > y_{3} > y_{1}$
C. $y_{3} > y_{1} > y_{2}$
D. $y_{1} > y_{3} > y_{2}$
答案:
D
12 [2024北京清华大学附属中学期中]如图,二次函数$y = 2(x - 1)^{2}+k$的图像与$y$轴的交点坐标为(0,1),若函数值$y < 1$,则自变量$x$的取值范围是_______.

答案:
0<X<2
查看更多完整答案,请扫码查看