2025年高考领航高中同步测试卷高中数学选择性必修第二册人教版
注:目前有些书本章节名称可能整理的还不是很完善,但都是按照顺序排列的,请同学们按照顺序仔细查找。练习册 2025年高考领航高中同步测试卷高中数学选择性必修第二册人教版 答案主要是用来给同学们做完题方便对答案用的,请勿直接抄袭。
第33页
- 第1页
- 第2页
- 第3页
- 第4页
- 第5页
- 第6页
- 第7页
- 第8页
- 第9页
- 第10页
- 第11页
- 第12页
- 第13页
- 第14页
- 第15页
- 第16页
- 第17页
- 第18页
- 第19页
- 第20页
- 第21页
- 第22页
- 第23页
- 第24页
- 第25页
- 第26页
- 第27页
- 第28页
- 第29页
- 第30页
- 第31页
- 第32页
- 第33页
- 第34页
- 第35页
- 第36页
- 第37页
- 第38页
- 第39页
- 第40页
- 第41页
- 第42页
- 第43页
- 第44页
- 第45页
- 第46页
- 第47页
- 第48页
- 第49页
- 第50页
- 第51页
- 第52页
- 第53页
- 第54页
- 第55页
- 第56页
- 第57页
- 第58页
- 第59页
- 第60页
- 第61页
- 第62页
- 第63页
- 第64页
1. 若在区间 $(a,b)$ 内有 $f'(x)>0$,且 $f(a)\geqslant0$,则在 $(a,b)$ 内有 (
A.$f(x)>0$
B.$f(x)<0$
C.$f(x)=0$
D.不能确定
A
)A.$f(x)>0$
B.$f(x)<0$
C.$f(x)=0$
D.不能确定
答案:
1.A 因为在区间$(a,b)$内有$f^{\prime}(x) > 0$,故$f(x)$在区间$(a,b)$内为增函数,所以$f(x) > f(a) \geq 0$,即$f(x) > 0$. 故选A.
2. 函数 $f(x)=\ln x - ax(a>0)$ 的单调递增区间为 (
A.$(0,\frac{1}{a})$
B.$(\frac{1}{a},+\infty)$
C.$(-\infty,\frac{1}{a})$
D.$(-\infty,a)$
A
)A.$(0,\frac{1}{a})$
B.$(\frac{1}{a},+\infty)$
C.$(-\infty,\frac{1}{a})$
D.$(-\infty,a)$
答案:
2.A 函数定义域为$(0, +\infty)$,由$f^{\prime}(x) > 0$,即$\frac{1}{x} - a > 0$,得$0 < x < \frac{1}{a}$,故选A.
3. 函数 $y = f(x)$ 的导函数 $y = f'(x)$ 的图象如图所示,则函数 $y = f(x)$ 的图象可能是 (


D
)
答案:
3.D 原函数先减再增,再减再增,且单调递增区间与单调递减区间的分界点情形只有选项D符合,故选D.
4. 若函数 $f(x)=-\cos x + ax$ 为增函数,则实数 $a$ 的取值范围为 (
A.$[-1,+\infty)$
B.$[1,+\infty)$
C.$(-1,+\infty)$
D.$(1,+\infty)$
B
)A.$[-1,+\infty)$
B.$[1,+\infty)$
C.$(-1,+\infty)$
D.$(1,+\infty)$
答案:
4.B 由题意可得,$f^{\prime}(x) = \sin x + a \geq 0$恒成立,故$a \geq -\sin x$恒成立. 因为$-1 \leq -\sin x \leq 1$,所以$a \geq 1$. 故选B.
5. 已知函数 $f(x)=x^3 + ax^2 + bx + c$,$g(x)$ 为 $f(x)$ 的导函数.若 $f(x)$ 在 $(0,1)$ 上单调递减,则下列结论正确的是 (
A.$a^2 - 3b$ 有最小值 3
B.$a^2 - 3b$ 有最大值 $2\sqrt{3}$
C.$f(0)· f(1)\leqslant0$
D.$g(0)· g(1)\geqslant0$
D
)A.$a^2 - 3b$ 有最小值 3
B.$a^2 - 3b$ 有最大值 $2\sqrt{3}$
C.$f(0)· f(1)\leqslant0$
D.$g(0)· g(1)\geqslant0$
答案:
5.D 由题意可得$g(x) = f^{\prime}(x) = 3x^{2} + 2ax + b$. 因为$f(x)$在$(0,1)$上单调递减,所以$g(x) \leq 0$在$(0,1)$上恒成立,即$g(0) \leq 0$,$g(1) \leq 0$,所以$g(0) · g(1) \geq 0$,故选D.
6. 若函数 $f(x)=3x + (a - 2)\ln x$ 在定义域上不单调,则实数 $a$ 的取值范围是 (
A.$(-\infty,\frac{1}{2})$
B.$[2,+\infty)$
C.$(0,+\infty)$
D.$(-\infty,2)$
D
)A.$(-\infty,\frac{1}{2})$
B.$[2,+\infty)$
C.$(0,+\infty)$
D.$(-\infty,2)$
答案:
6.D 函数$f(x) = 3x + (a - 2)\ln x$的定义域为$(0, +\infty)$,$f^{\prime}(x) = 3 + \frac{a - 2}{x}$.
当$a \geq 2$时,$f^{\prime}(x) > 0$,函数$f(x)$在定义域上单调递增,不满足题意,舍去,
当$a < 2$时,令$f^{\prime}(x) = 3 + \frac{a - 2}{x} = 0$,解得$x = \frac{2 - a}{3}$,故此时$f(x) = 3x + (a - 2)\ln x$在定义域上不单调.
故实数$a$的取值范围是$(-\infty,2)$.
当$a \geq 2$时,$f^{\prime}(x) > 0$,函数$f(x)$在定义域上单调递增,不满足题意,舍去,
当$a < 2$时,令$f^{\prime}(x) = 3 + \frac{a - 2}{x} = 0$,解得$x = \frac{2 - a}{3}$,故此时$f(x) = 3x + (a - 2)\ln x$在定义域上不单调.
故实数$a$的取值范围是$(-\infty,2)$.
7. 定义在 $\mathbf{R}$ 上的函数 $f(x)$ 的导函数为 $f'(x)$,对任意的实数 $x$,都有 $f'(x)+1<0$,且 $f(1)=-1$,则 (
A.$f(0)<0$
B.$f(e)<-e$
C.$f(e)>f(0)$
D.$f(2)>f(1)$
B
)A.$f(0)<0$
B.$f(e)<-e$
C.$f(e)>f(0)$
D.$f(2)>f(1)$
答案:
7.B 构造$g(x) = f(x) + x$,则$g^{\prime}(x) = f^{\prime}(x) + 1$.
又$f^{\prime}(x) + 1 < 0$,所以$g^{\prime}(x) < 0$,所以函数$g(x)$在$\mathbf{R}$上单调递减.
又$g(1) = f(1) + 1 = -1 + 1 = 0$,所以$g(e) < g(1)$,即$f(e) + e < 0$,所以$f(e) < -e$. 故选B.
又$f^{\prime}(x) + 1 < 0$,所以$g^{\prime}(x) < 0$,所以函数$g(x)$在$\mathbf{R}$上单调递减.
又$g(1) = f(1) + 1 = -1 + 1 = 0$,所以$g(e) < g(1)$,即$f(e) + e < 0$,所以$f(e) < -e$. 故选B.
8. 已知 $f(x)$ 是定义在 $(0,+\infty)$ 上的函数,其导函数是 $f'(x)$,且当 $x>0$ 时总有 $xf'(x)>f(x)$,则下列各项表述正确的是 (
A.$2f(1)\geqslant f(2)$
B.$2f(1)>f(2)$
C.$2f(1)\leqslant f(2)$
D.$2f(1)<f(2)$
D
)A.$2f(1)\geqslant f(2)$
B.$2f(1)>f(2)$
C.$2f(1)\leqslant f(2)$
D.$2f(1)<f(2)$
答案:
8.D 设$g(x) = \frac{f(x)}{x}$,则$g^{\prime}(x) = \frac{xf^{\prime}(x) - f(x)}{x^{2}}$,
$\because$当$x > 0$时总有$xf^{\prime}(x) > f(x)$,$\therefore$当$x > 0$时$g^{\prime}(x) > 0$,$\therefore g(x)$在$(0, +\infty)$上单调递增,
$\therefore g(1) < g(2)$,即$\frac{f(1)}{1} < \frac{f(2)}{2}$,$\therefore 2f(1) < f(2)$,故选D.
$\because$当$x > 0$时总有$xf^{\prime}(x) > f(x)$,$\therefore$当$x > 0$时$g^{\prime}(x) > 0$,$\therefore g(x)$在$(0, +\infty)$上单调递增,
$\therefore g(1) < g(2)$,即$\frac{f(1)}{1} < \frac{f(2)}{2}$,$\therefore 2f(1) < f(2)$,故选D.
9. 下列函数在 $(-\infty,+\infty)$ 上是单调函数的是 (
A.$y = x^3 + x - 1$
B.$y = \sin x - x$
C.$y = xe^x + 1$
D.$y = e^x - x$
AB
)A.$y = x^3 + x - 1$
B.$y = \sin x - x$
C.$y = xe^x + 1$
D.$y = e^x - x$
答案:
9.AB 对A. $y^{\prime} = 3x^{2} + 1 > 0$,$\therefore y = x^{3} + x - 1$在$(-\infty, +\infty)$上单调递增;对B. $y^{\prime} = \cos x - 1 \leq 0$,$\therefore y = \sin x - x$在$(-\infty, +\infty)$上单调递减;
对C. $y^{\prime} = e^{x} + xe^{x} = e^{x}(x + 1)$,当$x \geq -1$时,$y^{\prime} = e^{x}(x + 1) \geq 0$,函数单调递增,当$x < -1$时,$y^{\prime} = e^{x}(x + 1) < 0$,函数单调递减,故函数在$(-\infty, +\infty)$上不是单调函数;对D. 由$y = e^{x} - x$,得$y^{\prime} = e^{x} - 1$,当$x \geq 0$时,$y^{\prime} = e^{x} - 1 \geq 0$,函数单调递增,当$x < 0$时,$y^{\prime} = e^{x} - 1 < 0$,函数单调递减,故函数在$(-\infty, +\infty)$上不是单调函数,综上可知AB正确.
对C. $y^{\prime} = e^{x} + xe^{x} = e^{x}(x + 1)$,当$x \geq -1$时,$y^{\prime} = e^{x}(x + 1) \geq 0$,函数单调递增,当$x < -1$时,$y^{\prime} = e^{x}(x + 1) < 0$,函数单调递减,故函数在$(-\infty, +\infty)$上不是单调函数;对D. 由$y = e^{x} - x$,得$y^{\prime} = e^{x} - 1$,当$x \geq 0$时,$y^{\prime} = e^{x} - 1 \geq 0$,函数单调递增,当$x < 0$时,$y^{\prime} = e^{x} - 1 < 0$,函数单调递减,故函数在$(-\infty, +\infty)$上不是单调函数,综上可知AB正确.
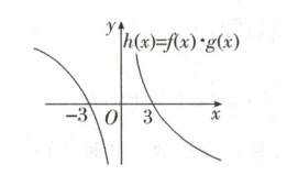
10. 设 $f(x)$,$g(x)$ 分别是定义在 $\mathbf{R}$ 上的奇函数和偶函数,$f'(x)$,$g'(x)$ 为其导函数.当 $x<0$ 时,$f'(x)· g(x)+f(x)· g'(x)<0$ 且 $g(-3)=0$,则使得不等式 $f(x)· g(x)<0$ 成立的 $x$ 的取值范围是 (
A.$(-\infty,-3)$
B.$(-3,0)$
C.$(0,3)$
D.$(3,+\infty)$
BD
)A.$(-\infty,-3)$
B.$(-3,0)$
C.$(0,3)$
D.$(3,+\infty)$
答案:
10.BD $\because f(x),g(x)$分别是定义在$\mathbf{R}$上的奇函数和偶函数,$\therefore f(-x) = -f(x),g(-x) = g(x)$,令$h(x) = f(x) · g(x)$,则$h(-x) = -h(x)$,故$h(x) = f(x) · g(x)$为$\mathbf{R}$上的奇函数,
$\because$当$x < 0$时,$h^{\prime}(x) = f^{\prime}(x) · g(x) + f(x) · g^{\prime}(x) < 0$,$\therefore h(x) = f(x) · g(x)$在区间$(-\infty,0)$上单调递减,

由$g(-3) = 0$,$\therefore h(-3) = -h(3) = 0$,
$\therefore$当$x \in (-3,0) \cup (3, +\infty)$时,$h(x) = f(x) · g(x) < 0$,故选BD.
10.BD $\because f(x),g(x)$分别是定义在$\mathbf{R}$上的奇函数和偶函数,$\therefore f(-x) = -f(x),g(-x) = g(x)$,令$h(x) = f(x) · g(x)$,则$h(-x) = -h(x)$,故$h(x) = f(x) · g(x)$为$\mathbf{R}$上的奇函数,
$\because$当$x < 0$时,$h^{\prime}(x) = f^{\prime}(x) · g(x) + f(x) · g^{\prime}(x) < 0$,$\therefore h(x) = f(x) · g(x)$在区间$(-\infty,0)$上单调递减,
由$g(-3) = 0$,$\therefore h(-3) = -h(3) = 0$,
$\therefore$当$x \in (-3,0) \cup (3, +\infty)$时,$h(x) = f(x) · g(x) < 0$,故选BD.
查看更多完整答案,请扫码查看