2025年轻松暑假复习加预习中国海洋大学出版社七年级数学鲁教版54制
注:目前有些书本章节名称可能整理的还不是很完善,但都是按照顺序排列的,请同学们按照顺序仔细查找。练习册 2025年轻松暑假复习加预习中国海洋大学出版社七年级数学鲁教版54制 答案主要是用来给同学们做完题方便对答案用的,请勿直接抄袭。
第4页
- 第1页
- 第2页
- 第3页
- 第4页
- 第5页
- 第6页
- 第7页
- 第8页
- 第9页
- 第10页
- 第11页
- 第12页
- 第13页
- 第14页
- 第15页
- 第16页
- 第17页
- 第18页
- 第19页
- 第20页
- 第21页
- 第22页
- 第23页
- 第24页
- 第25页
- 第26页
- 第27页
- 第28页
- 第29页
- 第30页
- 第31页
- 第32页
- 第33页
- 第34页
- 第35页
- 第36页
- 第37页
- 第38页
- 第39页
- 第40页
- 第41页
- 第42页
- 第43页
- 第44页
- 第45页
- 第46页
- 第47页
- 第48页
- 第49页
- 第50页
- 第51页
- 第52页
- 第53页
- 第54页
- 第55页
- 第56页
- 第57页
- 第58页
- 第59页
- 第60页
- 第61页
- 第62页
- 第63页
- 第64页
- 第65页
- 第66页
- 第67页
- 第68页
- 第69页
- 第70页
- 第71页
- 第72页
- 第73页
- 第74页
- 第75页
- 第76页
- 第77页
- 第78页
- 第79页
- 第80页
轻松/回顾

答案:
①代入消元法 ②加减消元法 ③工作效率 ④速度 ⑤单价 ⑥本金 ⑦$\frac{增长量}{原来的量}$ ⑧$\frac{现在的量 - 原来的量}{原来的量}$ ⑨增长率 ⑩售价 - 进价(成本价) ⑪进价(成本价) ⑫$10b + a$ ⑬$100c + 10b + a$
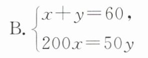
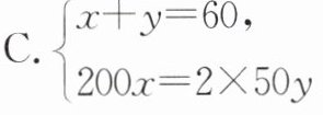
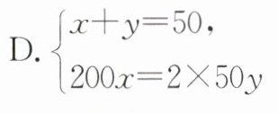
1.某车间有60名工人生产太阳镜,1名工人每天生产镜片200片或镜架50个,应如何分配工人生产镜片和镜架,才能使产品配套?设安排x名工人生产镜片,y名工人生产镜架,则可列方程组 (




C
)
答案:
C
2.(2024.浙江模拟)我国古代数学名著《孙子算经》中记载:“今有木,不知长短,引绳度之,余绳四尺五寸;屈绳量之,不足一尺,木长几何?"意思是:用一根绳子去量一根木条,绳子还剩余4.5尺;将绳子对折再量木条,木条剩余1尺,问木条长多少尺?如果设木条长x尺,绳子长y尺,那么可列方程组为 (
A.{y0.= 5yx= +x4.-51,
B.{yy= =x2x+-4.15,
C.{y0.= 5yx= -x4.+51,
D.{yy= =x2x--4.15,
A
)A.{y0.= 5yx= +x4.-51,
B.{yy= =x2x+-4.15,
C.{y0.= 5yx= -x4.+51,
D.{yy= =x2x--4.15,
答案:
A
3.一个两位数的十位数字与个位数字之
和为7.如果这个两位数加上45,则恰
好成为个位数字与十位数字对调后组
成的两位数,则这个两位数为 (
A.52
B.34
C.16
D.25
和为7.如果这个两位数加上45,则恰
好成为个位数字与十位数字对调后组
成的两位数,则这个两位数为 (
C
)A.52
B.34
C.16
D.25
答案:
C
4.小李以两种形式储蓄300元,一种储蓄的年利率为10%,另一种为11%,一年后本息和为331.5元(不考虑利息税),则两种储蓄的存款分别为 (
A.100元,200元
B.150元,150元
C.200元,100元
D.50元,250元
B
)A.100元,200元
B.150元,150元
C.200元,100元
D.50元,250元
答案:
B
查看更多完整答案,请扫码查看