2025年桂壮红皮书暑假天地河北少年儿童出版社八年级数学
注:目前有些书本章节名称可能整理的还不是很完善,但都是按照顺序排列的,请同学们按照顺序仔细查找。练习册 2025年桂壮红皮书暑假天地河北少年儿童出版社八年级数学 答案主要是用来给同学们做完题方便对答案用的,请勿直接抄袭。
第45页
- 第1页
- 第2页
- 第3页
- 第4页
- 第5页
- 第6页
- 第7页
- 第8页
- 第9页
- 第10页
- 第11页
- 第12页
- 第13页
- 第14页
- 第15页
- 第16页
- 第17页
- 第18页
- 第19页
- 第20页
- 第21页
- 第22页
- 第23页
- 第24页
- 第25页
- 第26页
- 第27页
- 第28页
- 第29页
- 第30页
- 第31页
- 第32页
- 第33页
- 第34页
- 第35页
- 第36页
- 第37页
- 第38页
- 第39页
- 第40页
- 第41页
- 第42页
- 第43页
- 第44页
- 第45页
- 第46页
- 第47页
- 第48页
- 第49页
- 第50页
- 第51页
- 第52页
- 第53页
- 第54页
- 第55页
- 第56页
- 第57页
- 第58页
- 第59页
- 第60页
- 第61页
- 第62页
- 第63页
- 第64页
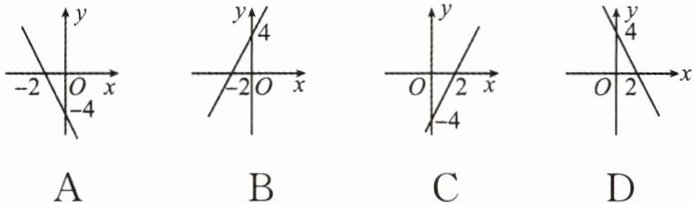
1. 已知一次函数$y= kx+b$,$y随着x$的增大而减小,且$kb>0$,则这个函数的大致图象是( )

答案:
B
2. 对于函数$y= -k^{2}x$($k$是常数,$k≠0$)的图象,下列说法不正确的是( )
A.是一条直线
B.过点$(\frac {1}{k},-k)$
C.经过第一、第三象限或第二、第四象限
D.$y随着x$的增大而减小
A.是一条直线
B.过点$(\frac {1}{k},-k)$
C.经过第一、第三象限或第二、第四象限
D.$y随着x$的增大而减小
答案:
C
3. 在如图1所示的计算程序中,$y与x$之间的函数关系所对应的图象应为( )


答案:
A
4. 已知一次函数$y= kx-5$,请写出$k$的一个值:____,使$y随x$的增大而减小。
答案:
-1(答案不唯一)
5. 若函数$y= kx$的图象经过第二、第四象限,则函数$y= -kx-2$的图象不经过____象限。
答案:
第二
6. 若点$(\frac {1}{2},a)和(\frac {1}{3},b)都在直线y= 4x+1$上,则$a和b$的大小关系是____。
答案:
a>b
7. 已知直线$y= x-3与y= 2x+2的交点坐标为(-5,-8)$,则二元一次方程组$\left\{\begin{array}{l} x-y-3= 0,\\ 2x-y+2= 0\end{array} \right. $的解是____。
答案:
{x=-5,y=-8
8. 有两条直线$y= ax+b和y= cx+5$,小华求得它们的交点坐标为$(3,-2)$,小强因抄错$c而解得它们的交点坐标为(4,5)$。求这两条直线的解析式。
答案:
y=7x-23,y=-7/3x+5
9. 若直线$y= 2x+m与两坐标轴围成的三角形面积等于m$,则$m$的值是( )
A.$\pm 3$
B.3
C.$\pm 4$
D.4
A.$\pm 3$
B.3
C.$\pm 4$
D.4
答案:
D
查看更多完整答案,请扫码查看