2025年普通高中新课程同步练习册高中生物选择性必修2人教版
注:目前有些书本章节名称可能整理的还不是很完善,但都是按照顺序排列的,请同学们按照顺序仔细查找。练习册 2025年普通高中新课程同步练习册高中生物选择性必修2人教版 答案主要是用来给同学们做完题方便对答案用的,请勿直接抄袭。
第97页
- 第1页
- 第2页
- 第3页
- 第4页
- 第5页
- 第6页
- 第7页
- 第8页
- 第9页
- 第10页
- 第11页
- 第12页
- 第13页
- 第14页
- 第15页
- 第16页
- 第17页
- 第18页
- 第19页
- 第20页
- 第21页
- 第22页
- 第23页
- 第24页
- 第25页
- 第26页
- 第27页
- 第28页
- 第29页
- 第30页
- 第31页
- 第32页
- 第33页
- 第34页
- 第35页
- 第36页
- 第37页
- 第38页
- 第39页
- 第40页
- 第41页
- 第42页
- 第43页
- 第44页
- 第45页
- 第46页
- 第47页
- 第48页
- 第49页
- 第50页
- 第51页
- 第52页
- 第53页
- 第54页
- 第55页
- 第56页
- 第57页
- 第58页
- 第59页
- 第60页
- 第61页
- 第62页
- 第63页
- 第64页
- 第65页
- 第66页
- 第67页
- 第68页
- 第69页
- 第70页
- 第71页
- 第72页
- 第73页
- 第74页
- 第75页
- 第76页
- 第77页
- 第78页
- 第79页
- 第80页
- 第81页
- 第82页
- 第83页
- 第84页
- 第85页
- 第86页
- 第87页
- 第88页
- 第89页
- 第90页
- 第91页
- 第92页
- 第93页
- 第94页
- 第95页
- 第96页
- 第97页
- 第98页
- 第99页
- 第100页
- 第101页
- 第102页
- 第103页
- 第104页
- 第105页
- 第106页
- 第107页
- 第108页
- 第109页
- 第110页
- 第111页
- 第112页
- 第113页
- 第114页
- 第115页
- 第116页
- 第117页
- 第118页
- 第119页
- 第120页
11. 科学家在水深约3 200 m的太平洋底部的一副鲸的骨架上,发现了一种新型的蠕虫。这种蠕虫没有消化器官,它的附肢像树根一样伸入鲸的骨髓里。蠕虫附肢里存在一些特殊的细菌,这些细菌能将骨中的脂肪转化为糖供给蠕虫进行生命活动。有关上述现象的叙述正确的是 ( )
A. 细菌与蠕虫的关系在生态学上可能为互利共生
B. 蠕虫为异养型生物,这些细菌属于自养型生物
C. 鲸骨架→细菌→蠕虫构成了一条捕食食物链
D. 蠕虫和细菌属于海洋生态系统的消费者
A. 细菌与蠕虫的关系在生态学上可能为互利共生
B. 蠕虫为异养型生物,这些细菌属于自养型生物
C. 鲸骨架→细菌→蠕虫构成了一条捕食食物链
D. 蠕虫和细菌属于海洋生态系统的消费者
答案:
A
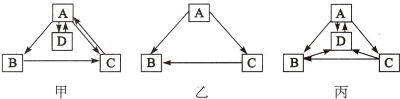
12. 下图甲、乙、丙分别代表人体液中物质交换、食物网中能量流动、生态系统碳循环的示意图。下列说法中正确的是 ( )

A. 从研究范围来看,甲、乙和丙分别属于个体水平、群落水平和群落水平
B. 图甲中C是淋巴液,若淋巴循环受阻,机体可能会出现组织水肿的现象
C. 图丙中B是消费者,消费者的存在可加快生态系统物质循环
D. 图乙中B从上一营养级获得的能量中,C占的比例为a;若B体重增加x,至少需要A的量为y,则有y = 20ax+5x
A. 从研究范围来看,甲、乙和丙分别属于个体水平、群落水平和群落水平
B. 图甲中C是淋巴液,若淋巴循环受阻,机体可能会出现组织水肿的现象
C. 图丙中B是消费者,消费者的存在可加快生态系统物质循环
D. 图乙中B从上一营养级获得的能量中,C占的比例为a;若B体重增加x,至少需要A的量为y,则有y = 20ax+5x
答案:
D
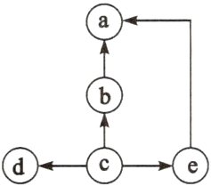
13. 某海洋生态系统的营养结构如下图所示,其中a~e代表各营养级的生物,下列叙述不正确的是 ( )

A. 共有三条食物链,三个营养级
B. 若水体受DDT农药轻微污染,则受害最严重的是a
C. 各营养级中,能量最多的是c,生物量最多的是a
D. 若c含能量为5.8×10⁹ kJ,d含能量为1.3×10⁸ kJ,则a至少含能量约为4.5×10⁷ kJ
A. 共有三条食物链,三个营养级
B. 若水体受DDT农药轻微污染,则受害最严重的是a
C. 各营养级中,能量最多的是c,生物量最多的是a
D. 若c含能量为5.8×10⁹ kJ,d含能量为1.3×10⁸ kJ,则a至少含能量约为4.5×10⁷ kJ
答案:
C
14. 为探究落叶是否在土壤微生物的作用下腐烂,进行如下实验设计,其中不符合实验目的的步骤是 ( )
A. 可选择带有落叶的土壤为实验材料,筛选出落叶和土壤
B. 将落叶平均分成两份,把土壤也平均分成两份
C. 将灭菌的落叶设为实验组,不作处理的落叶设为对照组
D. 将落叶分别埋入两组土壤中,观察腐烂情况
A. 可选择带有落叶的土壤为实验材料,筛选出落叶和土壤
B. 将落叶平均分成两份,把土壤也平均分成两份
C. 将灭菌的落叶设为实验组,不作处理的落叶设为对照组
D. 将落叶分别埋入两组土壤中,观察腐烂情况
答案:
C
15. 为推动乡村振兴,江苏某地大力推广“桑枝条—黑木耳—水稻”农业模式。利用修剪下来的桑枝条和水稻秸秆制作培养基,在桑树林下培养黑木耳,黑木耳采收后,菌渣作为有机肥还田。下列相关叙述正确的是 ( )
A. 在桑树林下培养黑木耳,可实现光能、空间等资源的充分利用
B. 用桑枝条培养黑木耳,表明黑木耳属于该生态系统的第二营养级
C. 桑树、水稻属于该生态系统的生产者,是生态系统的主要成分
D. 该模式既能较好地实现生态系统能量的循环利用,又可以增加农民收入
A. 在桑树林下培养黑木耳,可实现光能、空间等资源的充分利用
B. 用桑枝条培养黑木耳,表明黑木耳属于该生态系统的第二营养级
C. 桑树、水稻属于该生态系统的生产者,是生态系统的主要成分
D. 该模式既能较好地实现生态系统能量的循环利用,又可以增加农民收入
答案:
C
查看更多完整答案,请扫码查看